Sign in to use this feature.

Years

Between: -

Subjects

remove_circle_outline
remove_circle_outline
remove_circle_outline
remove_circle_outline
remove_circle_outline
remove_circle_outline
remove_circle_outline
remove_circle_outline
remove_circle_outline

Journals

remove_circle_outline
remove_circle_outline
remove_circle_outline
remove_circle_outline
remove_circle_outline
remove_circle_outline
remove_circle_outline
remove_circle_outline

Article Types

Countries / Regions

remove_circle_outline
remove_circle_outline
remove_circle_outline
remove_circle_outline

Search Results (818)

Search Parameters:
Keywords = spectral decomposition

Order results
Result details
Results per page
Select all
Export citation of selected articles as:
36 pages, 23663 KB  
Article
Neuro-Prismatic Video Models for Causality-Aware Action Recognition in Neural Rehabilitation Systems
by Hend Alshaya
Mathematics 2026, 14(8), 1341; https://doi.org/10.3390/math14081341 - 16 Apr 2026
Abstract
Video-based action recognition for neural rehabilitation—spanning stroke recovery, Parkinsonian gait assessment, and cerebral palsy monitoring—faces critical challenges, including temporal ambiguity, non-causal motion correlations, and the absence of causally grounded dynamics modeling. While transformer-based architectures achieve strong performance, they often exploit spurious temporal and [...] Read more.
Video-based action recognition for neural rehabilitation—spanning stroke recovery, Parkinsonian gait assessment, and cerebral palsy monitoring—faces critical challenges, including temporal ambiguity, non-causal motion correlations, and the absence of causally grounded dynamics modeling. While transformer-based architectures achieve strong performance, they often exploit spurious temporal and environmental cues, limiting reliability in safety-critical clinical settings. We propose NeuroPrisma, a neuro-prismatic video framework that integrates frequency-domain spectral decomposition with causal intervention under Structural Causal Models (SCMs) via the backdoor criterion. NeuroPrisma introduces (i) a Prismatic Spectral Attention (PSA) module, which applies discrete Fourier transforms to decompose temporal features into multi-scale frequency bands, disentangling slow postural dynamics from rapid corrective movements, and (ii) a Causal Intervention Layer (CIL), which performs do-calculus-based backdoor adjustment to remove confounding influences and produce causally invariant representations. PSA preconditions representations prior to intervention, improving confounder estimation and causal robustness. Extensive evaluation against seven state-of-the-art models (I3D, SlowFast, TimeSformer, ViViT, Video Swin Transformer, UniFormerV2, and VideoMAE) demonstrates that NeuroPrisma achieves 98.7% Top-1 accuracy on UCF101, 82.4% on HMDB51, 71.2% on Something-Something V2, and 91.5%/95.8% on NTU RGB+D (Cross-Subject/Cross-View), consistently outperforming prior methods. It further reduces the Causal Confusion Score (CCS) by 42.3%, indicating substantially lower reliance on spurious correlations, while maintaining real-time performance with 23.4 ms latency per 16-frame clip on an NVIDIA A100 GPU. All improvements are statistically significant (p < 0.001, Cohen’s d = 0.72–1.24). Evaluation was conducted exclusively on benchmark datasets (UCF101, HMDB51, Something-Something V2, and NTU RGB+D) under controlled conditions, without direct clinical validation on neurological patient cohorts. Overfitting was mitigated using three random seeds (42, 123, 456), RandAugment, Mixup (α = 0.8), weight decay (0.05), and early stopping. Cross-dataset generalization from UCF101 to HMDB51 without fine-tuning achieved 76.2% Top-1 accuracy. Future work will focus on prospective clinical validation across stroke, Parkinson’s disease, and cerebral palsy populations, including correlation with standardized clinical assessment scales such as Fugl–Meyer, UPDRS, and GMFCS. These results establish NeuroPrisma as a causally grounded and computationally efficient framework for reliable, real-time movement assessment in clinical rehabilitation systems. Full article
Show Figures

Figure 1

22 pages, 4372 KB  
Article
Suppressing Non-Stationary Motion Artefacts in Mobile EEG Using Generalized Eigenvalue Decomposition
by Mohammad Khazaei, Khadijeh Raeisi, Patrique Fiedler, Pierpaolo Croce, Filippo Zappasodi and Silvia Comani
Sensors 2026, 26(8), 2440; https://doi.org/10.3390/s26082440 - 16 Apr 2026
Viewed by 57
Abstract
Mobile EEG enables investigating brain activity during real-world behaviour, but remains susceptible to motion artefacts, limiting signal interpretability and the use of advanced analytical techniques. Methods developed for removing motion-related artefacts induced by periodic activity like cycling, walking or juggling showed degraded performance [...] Read more.
Mobile EEG enables investigating brain activity during real-world behaviour, but remains susceptible to motion artefacts, limiting signal interpretability and the use of advanced analytical techniques. Methods developed for removing motion-related artefacts induced by periodic activity like cycling, walking or juggling showed degraded performance with increasing movement variability and speed. To fill this gap, we developed a method based on generalized eigenvalue decomposition (GED) to identify and suppress highly variable, non-periodic—especially transient—artefacts due to very rapid, free full body movements of different types, as they occur during sports practice. By leveraging the contrast between covariance matrices of artefactual and resting-state EEG segments, this approach isolates motion-related components for removal during multichannel EEG signal reconstruction. The method was validated on two ecological datasets featuring stereotyped head and body movements and dynamic table tennis. Comparison with state-of-the-art technique showed superior performance of our method in terms of signal-to-error ratio (SER), artefact-to-residue ratio (ARR), brain spectral power preservation and computation time. Sensitivity analysis was applied to demonstrate the method’s robustness to parameter changes. These findings highlight the potential of the proposed method as a robust, generalizable approach for motion artefact suppression in mobile EEG, particularly when applied in extreme recording conditions like during active sports activity. Full article
Show Figures

Figure 1

13 pages, 950 KB  
Communication
All-LCP Terahertz Metasensor with Dual Quasi-BIC Resonances for Dual-Range Refractive Index Sensing
by Yan Zhang, Mengya Pan, Qiankai Hong, Shengyuan Shen, Conghui Guo, Yaping Li, Yanpeng Shi and Yifei Zhang
Biosensors 2026, 16(4), 221; https://doi.org/10.3390/bios16040221 - 15 Apr 2026
Viewed by 99
Abstract
Terahertz (THz) metasurface biosensors still encounter difficulties in simultaneously achieving high spectral resolution and stable readout across different refractive-index regimes. In this work, an all-liquid-crystal-polymer (LCP) THz metasensor supporting dual quasi-bound states in the continuum (quasi-BIC) resonances is proposed for regime-dependent refractive-index sensing. [...] Read more.
Terahertz (THz) metasurface biosensors still encounter difficulties in simultaneously achieving high spectral resolution and stable readout across different refractive-index regimes. In this work, an all-liquid-crystal-polymer (LCP) THz metasensor supporting dual quasi-bound states in the continuum (quasi-BIC) resonances is proposed for regime-dependent refractive-index sensing. By introducing structural asymmetry into a periodic LCP cubic-cluster metasurface, two pronounced resonances are generated with quality factors (Q factors) of 6811 and 2526, respectively. Near-field distributions and multipole decomposition analysis indicate that the two resonances possess distinct electromagnetic features, which result in different responses to surrounding dielectric perturbations. In the low-refractive-index range of 1.0–1.5, the two resonance frequencies exhibit a linear variation with refractive index, yielding sensitivities of 122 GHz/RIU and 179 GHz/RIU, respectively. These dual-mode linear responses further offer a foundation for concentration- and temperature-related evaluation through analyte refractive-index mapping. In the higher-refractive-index range of 1.5–1.8, the intermodal frequency difference shows improved linearity with refractive index compared with the individual resonance frequencies, enabling a differential readout scheme with enhanced robustness against common perturbations. The results demonstrate that the proposed all-LCP dual-quasi-BIC metasensor not only enables high-resolution THz refractive-index sensing, but also establishes a regime-dependent spectral readout approach for different dielectric-response intervals. Full article
(This article belongs to the Section Optical and Photonic Biosensors)
25 pages, 3222 KB  
Article
CoFiWaveMamba: A Coarse-to-Fine Wavelet-Guided Mamba Network for Single Image Dehazing
by Qiang Fu, Boyu Lu and Chongyao Yan
Electronics 2026, 15(8), 1599; https://doi.org/10.3390/electronics15081599 - 11 Apr 2026
Viewed by 173
Abstract
Single image dehazing remains challenging because haze simultaneously distorts global illumination, scene structure, and fine textures, making rigid low–high frequency decoupling prone to error propagation and detail inconsistency. To address this issue, we propose CoFiWaveMamba, a coarse-to-fine wavelet-guided Mamba network for single image [...] Read more.
Single image dehazing remains challenging because haze simultaneously distorts global illumination, scene structure, and fine textures, making rigid low–high frequency decoupling prone to error propagation and detail inconsistency. To address this issue, we propose CoFiWaveMamba, a coarse-to-fine wavelet-guided Mamba network for single image dehazing. The proposed method first employs wavelet decomposition to separate low- and high-frequency components. For low-frequency restoration, a 2D selective-scan Mamba-based module is introduced to capture long-range dependencies, combined with lightweight high-frequency-guided spatial modulation and Shuffle-guided Sequence Attention, we design a progressive coarse-to-fine refinement strategy that combines Fourier-domain global spectral consistency with wavelet-domain directional detail representation, enabling more targeted recovery of edges and textures. Experiments on synthetic and real dehazing benchmarks, including Haze4K, RESIDE-6K, HSTS-SYNTHETIC, I-Haze, NH-Haze, Dense-Haze, and O-HAZE, as well as ablation studies, verify the effectiveness of the proposed design. Overall, CoFiWaveMamba provides a more coordinated solution for global haze removal and local detail reconstruction, helping suppress residual haze, ringing artifacts, oversharpening, and texture inconsistency while restoring clearer and more natural images. Full article
(This article belongs to the Topic Computer Vision and Image Processing, 3rd Edition)
22 pages, 3009 KB  
Article
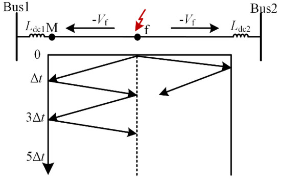
Single-Ended Fault Location Method for DC Distribution Network Based on Bi-LSTM
by Jiamin Lv, Ying Wang, Mingshen Wang, Qikai Zhao and Manqian Yu
Energies 2026, 19(8), 1866; https://doi.org/10.3390/en19081866 - 10 Apr 2026
Viewed by 213
Abstract
When a line short-circuit fault occurs in a DC distribution network, the fault current rises quickly and affects a wide range, jeopardizing the safe operation of the system. In order to locate the fault quickly and accurately, this study proposes a fault localization [...] Read more.
When a line short-circuit fault occurs in a DC distribution network, the fault current rises quickly and affects a wide range, jeopardizing the safe operation of the system. In order to locate the fault quickly and accurately, this study proposes a fault localization method based on the Variational Mode Decomposition (VMD) and Bidirectional Long Short-Term Memory (Bi-LSTM) networks. First, the nonlinear relationship between the intrinsic principal frequency and fault distance is analyzed; then, the intrinsic principal frequency of the faulty traveling wave is extracted by using VMD, and the nonlinear relationship between the spectral energy of the principal frequency of the intrinsic frequency and the fault distance is fitted by training the Bi-LSTM network incorporating the attention mechanism. Finally, in response to the issue that a small amount of fault data in practical engineering is difficult to support the amount of data required for deep learning, a transfer learning method is used to locate the fault in the target domain. A small sample test of the target domain is carried out using the migration learning method. The experimental results show that the proposed method has high localization accuracy and good resistance to over-resistance and noise; compared with the traditional network training, the localization error based on migration learning is smaller, and the network convergence effect is better. Full article
(This article belongs to the Section F1: Electrical Power System)
Show Figures

Figure 1

27 pages, 1880 KB  
Article
Hierarchical Acoustic Encoding Distress in Pigs: Disentangling Individual, Developmental, and Emotional Effects with Subject-Wise Validation
by Irenilza de Alencar Nääs, Danilo Florentino Pereira, Alexandra Ferreira da Silva Cordeiro and Nilsa Duarte da Silva Lima
Animals 2026, 16(8), 1148; https://doi.org/10.3390/ani16081148 - 9 Apr 2026
Viewed by 195
Abstract
Automated pig-welfare monitoring needs scalable, non-invasive signals that work across ages and individuals. A key methodological contribution of this study is the use of subject-wise validation, which ensures generalization to unseen animals and prevents inflated accuracy caused by growth-related and individual ‘voice’ differences. [...] Read more.
Automated pig-welfare monitoring needs scalable, non-invasive signals that work across ages and individuals. A key methodological contribution of this study is the use of subject-wise validation, which ensures generalization to unseen animals and prevents inflated accuracy caused by growth-related and individual ‘voice’ differences. Vocalizations can help, but growth and individual “voice” differences can confound distress patterns and overstate accuracy without subject-wise validation. In our study, we explicitly accounted for individual variability by including animal identity as a random effect in mixed models and by using grouped cross-validation, where models were tested only on pigs not seen during training. This approach ensures that the reported accuracy reflects generalization across different individuals rather than memorization of specific vocal signatures. We analyzed 2221 vocal samples from 40 pigs (20 males, 20 females) recorded across four growth phases (farrowing, nursery, growing, finishing) under six conditions (pain, hunger, thirst, cold stress, heat stress, normal). Acoustic features extracted in Praat included energy, duration, intensity, pitch, and formants (F1–F4). Using blockwise variance decomposition, we quantified contributions of distress exposure, growth phase, and sex, and estimated the additional variance explained by animal identity. Distress exposure dominated intensity and spectral traits, particularly Formant 2, whereas the growth phase produced systematic shifts in duration and pitch. Animal identity added a modest but consistent increment in explained variance (~+0.02–0.03 R2 beyond sex, phase, and distress). For prediction, we used 5-fold cross-validation grouped by animal. A Random Forest achieved a modest balanced accuracy of 0.609 and macro-F1 of 0.597; pain was most separable (recall 0.825), while other states showed moderate recall, indicating overlap. These results support hierarchical acoustic encoding of distress and establish a benchmark for precision welfare monitoring. Furthermore, they highlight that resolving complex physiological overlaps, such as heat stress and resource competition, requires a shift from unimodal acoustic models to multimodal Precision Livestock Farming (PLF) systems that integrate bioacoustics with continuous environmental and behavioral data streams. Full article
Show Figures

Graphical abstract

19 pages, 6501 KB  
Article
Study on Near-Field Spectral Characteristics and Vibration Control of Multi-Hole Blasting Based on VMD
by Dasong Zhang, Hongyan Xu, Hui Chen, Jinggang Zhang, Sifan Wei, Yuanxiang Mu and Fei Gao
Appl. Sci. 2026, 16(8), 3665; https://doi.org/10.3390/app16083665 - 9 Apr 2026
Viewed by 240
Abstract
To explore the spectral characteristics of near-field vibration signals from multi-hole millisecond-delay blasting in open-pit mines and the modulation effect of delay time on blasting energy distribution, field blasting vibration tests with multi-gradient delays were conducted taking an open-pit coal mine in Xinjiang [...] Read more.
To explore the spectral characteristics of near-field vibration signals from multi-hole millisecond-delay blasting in open-pit mines and the modulation effect of delay time on blasting energy distribution, field blasting vibration tests with multi-gradient delays were conducted taking an open-pit coal mine in Xinjiang as the engineering background. Particle Swarm Optimization (PSO) optimized Variational Mode Decomposition (VMD) and Hilbert-Huang Transform (HHT) were introduced for the refined processing and frequency band energy ratio analysis of the measured signals, and field vibration control tests were subsequently carried out. The results show that compared with the traditional Empirical Mode Decomposition (EMD), the PSO-optimized VMD can effectively overcome the mode aliasing phenomenon. By extracting the high-frequency Intrinsic Mode Function (IMF7) that characterizes the instantaneous detonation impulse, the actual delay time was successfully inverted to be 10.47 ms. The inter-hole delay time significantly affects the time-frequency distribution of vibration energy. Under the 25 ms delay condition, the energy ratio of the high-frequency band is the highest, and the low-frequency energy accumulation degree is the lowest, which is most conducive to shortening the vibration duration and accelerating energy attenuation. Control tests further confirmed that adopting a 17 ms delay in the near-slope area can effectively control the peak particle velocity (PPV) in the near field, while adopting a 23 ms delay in the middle and far areas can further reduce the low-frequency energy concentration. The research results demonstrate a dynamic matching strategy for millisecond delays based on spatial distance differences, which has important guiding significance for realizing safe and efficient blasting vibration control in open-pit mines. Full article
Show Figures

Figure 1

15 pages, 1434 KB  
Article
Two-Signal Set and Adaptive Spectral Decomposition Algorithm for Estimating the Phase Velocity of Dispersive Lamb Wave Mode
by Lina Draudvilienė, Asta Meškuotienė, Aušra Gadeikytė and Paulius Lapienis
Sensors 2026, 26(7), 2190; https://doi.org/10.3390/s26072190 - 1 Apr 2026
Viewed by 374
Abstract
This study introduces an automated computational tool to evaluate the phase velocity of the highly dispersive A0 mode using only two signals measured along the wave propagation path. The algorithm combines the zero-crossing technique with automated spectral decomposition, utilizing a bank of [...] Read more.
This study introduces an automated computational tool to evaluate the phase velocity of the highly dispersive A0 mode using only two signals measured along the wave propagation path. The algorithm combines the zero-crossing technique with automated spectral decomposition, utilizing a bank of bandpass filters with adaptive bandwidths. Validated through theoretical and experimental analysis of an aluminium plate near 300 kHz, the results demonstrate that using a two-signal set and variable filter widths significantly improves accuracy and extends the measurable frequency range of the dispersion curve. Experimental results demonstrate that by applying various filter widths, the phase velocity dispersion curve segment can be reconstructed over a frequency range exceeding 65% of the signal’s spectral width at the −40 dB level. The reconstruction yielded an average relative error of 0.8% ± 1.2%, while the best-case scenario showed an error of just 0.3% ± 0.4%. Implementing automated filter parameter selection on a signal pair offers a time-efficient alternative to traditional spatial scanning, significantly simplifying data collection while reducing labour and time requirements. Full article
Show Figures

Figure 1

22 pages, 5107 KB  
Article
Adaptive Filtering Method for Low-SNR Rock Mass Fracture Microseismic Signals in Deep-Buried Tunnels Considering Noise Intrusion Characteristics
by Tao Lin, Weiwei Tao, Yakang Xu and Wenjing Niu
Geosciences 2026, 16(4), 143; https://doi.org/10.3390/geosciences16040143 - 1 Apr 2026
Viewed by 272
Abstract
Aiming at the problems of microseismic signals from rock mass fracture in deep-buried tunnels with low signal-to-noise ratio (SNR) suffering from coupled interference of multi-source noise, and traditional filtering methods having fixed parameters and poor processing effects on spectral aliasing, this study proposes [...] Read more.
Aiming at the problems of microseismic signals from rock mass fracture in deep-buried tunnels with low signal-to-noise ratio (SNR) suffering from coupled interference of multi-source noise, and traditional filtering methods having fixed parameters and poor processing effects on spectral aliasing, this study proposes a ternary coupled adaptive filtering method integrating the Sparrow Search Algorithm, Variational Mode Decomposition and Wavelet Threshold Denoising (SSA-VMD-DWT). First, the noise intrusion characteristics of low-SNR microseismic signals in deep-buried tunnels were analyzed, and the filtering difficulties of white noise, low-frequency noise, high-frequency noise and non-stationary noise were clarified. Subsequently, a parameter optimization framework with the Sparrow Search Algorithm (SSA) as the core was constructed to optimize the key parameters, including the penalty factor α and modal number K of Variational Mode Decomposition (VMD), as well as the wavelet basis and decomposition layers of Wavelet Threshold Denoising (DWT), respectively. A dual-index threshold decision function based on kurtosis and correlation coefficient, and a wavelet packet entropy weighted reconstruction algorithm were designed to realize the collaborative adaptive adjustment of decomposition depth and threshold rules. Finally, the performance of the algorithm was verified through simulation signal experiments and an engineering case of a deep-buried tunnel in Southwest China. The results show that for the simulated signal with a low SNR of 2 dB, the SNR is increased to 12.43 dB, and the root mean square error is reduced to 2.36 × 10−7 after denoising by this algorithm, which is significantly superior to the Empirical Mode Decomposition (EMD) and traditional DWT methods. In the engineering case, the information entropy of the filtered signal is the lowest among all methods, which can effectively suppress multi-band noise and retain the core characteristics of microseismic signals from rock mass fracture, solving the problems of spectral aliasing, detail loss and empirical parameter setting of traditional methods. This method provides a new technical paradigm for the processing of low-quality microseismic signals in deep tunnel engineering and can improve the accuracy of monitoring and early warning for rock mass dynamic disasters. Full article
(This article belongs to the Special Issue New Trends in Numerical Methods in Rock Mechanics)
Show Figures

Figure 1

25 pages, 4125 KB  
Article
A Hybrid AVT-FVT Approach for Sensor Optimization in Structural Health Monitoring
by Michele Paoletti, Giovanni Paragliola and Carmelo Mineo
J. Sens. Actuator Netw. 2026, 15(2), 31; https://doi.org/10.3390/jsan15020031 - 1 Apr 2026
Viewed by 326
Abstract
This study presents a structured methodology for optimizing the placement and selection of accelerometer sensors for structural health monitoring in civil infrastructures. The approach integrates both ambient and forced vibration testing data, followed by a unified analysis of sensor energy distribution through singular [...] Read more.
This study presents a structured methodology for optimizing the placement and selection of accelerometer sensors for structural health monitoring in civil infrastructures. The approach integrates both ambient and forced vibration testing data, followed by a unified analysis of sensor energy distribution through singular value decomposition of the cross power spectral density. The energy associated with each sensor is normalized and decomposed into its vertical, longitudinal, and transversal components, allowing for detailed ranking and visualization across different structural elements such as the deck and supporting piers. A comparative analysis between the energy distributions obtained from ambient and forced vibrations is conducted to identify consistent sensor locations. The sensor configuration is then iteratively refined using a combination of global dynamic criteria and local spatial constraints to ensure both stability and optimal spatial distribution. The resulting framework enables the systematic design of sensor layouts that combine energy-based robustness with optimal spatial distribution across all three spatial components, while significantly reducing the number of required sensors, ensuring the preservation of damage detection capability and long-term structural health monitoring. Full article
Show Figures

Figure 1

16 pages, 397 KB  
Article
Symmetry and Structural Analysis of Power Congruence Graphs over a Set of Moduli
by Ahmad Almutlg and Muhammad Awais Raza
Symmetry 2026, 18(4), 582; https://doi.org/10.3390/sym18040582 - 29 Mar 2026
Viewed by 278
Abstract
In this article, we introduce and investigate a novel class of graphs that are called Power Congruence Graph PCGs, which are defined over the vertex set V ={0,1,2,,n1} where [...] Read more.
In this article, we introduce and investigate a novel class of graphs that are called Power Congruence Graph PCGs, which are defined over the vertex set V ={0,1,2,,n1} where two vertices a,bV are adjacent if akbk(modm) for some modulus mMp, where Mp={p,p2,,ptpt<n}. We thoroughly characterize the structural features of these graphs, establishing that each PCG decomposes into a union of d+1 complete components, where d=p1gcd(k,p1). The component sizes are explicitly given for n, p, and k. This decomposition highlights symmetry patterns in the component arrangement, emphasizing connectedness and structural balance. We derive key graph-theoretic metrics such as degree distribution, size, chromatic number, clique number and domination number. We also compute the adjacency and Laplacian matrices, as well as their spectra and associated graph energies to better understand the structural similarities and differences among PCGs with different exponents and prime moduli. This paper offers a systematic framework for comprehending power congruence based graph constructs, integrating number theory with structural and spectral graph theory and illustrating the natural symmetry that underpins these combinatorial structures. Full article
(This article belongs to the Special Issue Mathematics: Feature Papers 2026)
Show Figures

Figure 1

15 pages, 2942 KB  
Article
When Wholes Resist Decomposition: A Spectral Measure of Epistemic Emergence
by Mark Bailey and Susan Schneider
Entropy 2026, 28(4), 380; https://doi.org/10.3390/e28040380 - 28 Mar 2026
Viewed by 485
Abstract
Multi-agent and distributed dynamical systems can exhibit coordinated behavior that is difficult to summarize in terms of independent parts. Integrated Information Theory (IIT) provides one influential notion of system-level irreducibility, but exact computation of causal Φ remains intractable except in very small systems. [...] Read more.
Multi-agent and distributed dynamical systems can exhibit coordinated behavior that is difficult to summarize in terms of independent parts. Integrated Information Theory (IIT) provides one influential notion of system-level irreducibility, but exact computation of causal Φ remains intractable except in very small systems. In this work, we introduce Φspectral, a scalable observer-relative statistic defined on pairwise mutual information networks extracted from multivariate time-series data. A normalized graph Laplacian and its Fiedler vector identify a bipartition of the mutual information graph, and Φspectral reports the normalized weight of informational coupling crossing that cut. The measure is inspired by IIT’s concern with irreducibility but is not equivalent to intrinsic causal Φ: it is pairwise, undirected, and functional/statistical rather than intervention-based. We evaluate it on four exploratory simulation regimes: random oscillators, a transitional Kuramoto-like synchronization regime, a perfectly synchronized regime, and a combinatorial threshold-linear network (CTLN). Across these cases, Φspectral is most useful as a measure of observer-relative integration under second-order dependencies, separating redundancy-dominated from transiently differentiated regimes. The current results should be read as a proof-of-concept rather than as a formal validation against exact IIT. We discuss relations to weak IIT, Integrated World Modeling Theory (IWMT), and the perturbational complexity index (PCI), and we outline the stationary benchmarking and small-system validation needed for stronger causal claims. Full article
(This article belongs to the Section Complexity)
Show Figures

Figure 1

20 pages, 1938 KB  
Article
Interpretable Photoplethysmography Feature Engineering for Multi-Class Blood Pressure Staging
by Souhair Msokar, Roman Davydov and Vadim Davydov
Computers 2026, 15(4), 209; https://doi.org/10.3390/computers15040209 - 27 Mar 2026
Viewed by 327
Abstract
Hypertension is a leading global health risk and requires accurate and continuous monitoring for effective management. Although photoplethysmography (PPG) is a promising non-invasive modality for cuffless blood pressure (BP) assessment, many existing approaches (especially raw-signal deep learning) are vulnerable to data leakage, overfitting [...] Read more.
Hypertension is a leading global health risk and requires accurate and continuous monitoring for effective management. Although photoplethysmography (PPG) is a promising non-invasive modality for cuffless blood pressure (BP) assessment, many existing approaches (especially raw-signal deep learning) are vulnerable to data leakage, overfitting on small datasets, limited interpretability, and poor performance on minority BP stages. To address these limitations, we propose a robust and physiologically grounded framework for multi-class BP stage classification based on interpretable PPG features. Our approach centers on a comprehensive multi-domain feature engineering pipeline that extracts 124 PPG features, including demographic, morphological, functional decomposition, spectral, nonlinear dynamics, and clinical composite indices. We apply rigorous preprocessing and feature selection prior to model training. We validate the framework on two datasets: PPG-BP dataset (657 segments, 4 classes) for benchmarking and PulseDB (283,773 segments, 3 classes) to assess scalability. We evaluate the proposed framework using a segment-level train/test split, appropriate for assessing intra-subject BP tracking after initial personalization. For the PulseDB dataset, this follows the protocol established by the dataset creators, while for the PPG-BP dataset, it enables direct comparison with prior work given practical dataset constraints. On PPG-BP, LightGBM trained on the selected features achieved macro-F1 = 0.78 and accuracy = 0.74, outperforming comparable deep-learning models. On the PulseDB, a custom Residual MLP achieved accuracy = 0.81 and macro-F1 = 0.79, supporting generalization at scale. These results show that the proposed feature-based approach can outperform complex end-to-end deep-learning models on small datasets while providing improved interpretability. This work establishes a reliable and transparent pathway toward clinically viable continuous BP staging, moving beyond black-box models toward physiologically grounded decision support. Ablation analysis reveals that engineered features provide most of the predictive power (F1 = 0.911), while raw PPG features alone achieve modest performance (F1 = 0.384). For the minority hypertension stage 2 (HT-2) class, a bootstrap 95% confidence interval of [0.762, 1.000] is reported, reflecting uncertainty due to limited sample size. Full article
Show Figures

Graphical abstract

15 pages, 1915 KB  
Article
Structural Health Diagnosis Using Advanced Spectrum Analysis and Artificial Intelligence of Ground Penetrating Radar Signals
by Wael Zatar, Hien Nghiem, Feng Xiao and Gang Chen
Buildings 2026, 16(7), 1330; https://doi.org/10.3390/buildings16071330 - 27 Mar 2026
Viewed by 340
Abstract
This paper aims to present a non-destructive, optimized variational mode decomposition (VMD)-based ground-penetrating radar (GPR) method developed for identifying void defects in reinforced concrete (RC) structures. This study also presents an enhanced framework for defect detection in RC by integrating advanced spectrum analysis [...] Read more.
This paper aims to present a non-destructive, optimized variational mode decomposition (VMD)-based ground-penetrating radar (GPR) method developed for identifying void defects in reinforced concrete (RC) structures. This study also presents an enhanced framework for defect detection in RC by integrating advanced spectrum analysis with deep learning techniques. A GPR investigation was conducted on an RC bridge deck with known structural defects to generate a representative dataset reflecting both intact and void-defective conditions. In addition to conventional spectral techniques such as fast Fourier transform (FFT), spectrogram, and scalogram, an optimized variational mode decomposition (VMD) method was implemented. The VMD approach decomposes GPR signals into intrinsic mode functions, enabling refined feature extraction beyond traditional spectral methods and allowing clear differentiation between intact and defective signals. The limited availability and quality of GPR small datasets have restricted the application of a functional 1D-CNN which generally requires at least several hundred datasets. To address this challenge, a data augmentation strategy is adopted. FFT-based features were successfully utilized to train a one-dimensional convolutional neural network (1D-CNN) for automated defect identification. The results demonstrate that both the advanced spectrum-based approach and the hybrid framework combining spectral analysis with deep learning significantly improve defect detection performance. Overall, the proposed methodology provides an effective and intelligent solution to support timely, data-driven decision-making for maintenance and safety assurance of bridge infrastructure. Full article
(This article belongs to the Section Building Structures)
Show Figures

Figure 1

30 pages, 8787 KB  
Article
FFAKAN: A Frequency-Aware Filtering Activation-Based Kolmogorov-Arnold Network for Hyperspectral Image Classification
by Hanlin Feng, Chengcheng Zhong, Zitong Zhang, Yichen Liu and Qiaoyu Ma
Remote Sens. 2026, 18(7), 981; https://doi.org/10.3390/rs18070981 - 25 Mar 2026
Viewed by 382
Abstract
Hyperspectral image (HSI) classification has achieved substantial progress with deep learning. However, existing methods still underexploit frequency-domain information, particularly the complementary roles of high- and low-frequency components. The recently proposed Kolmogorov-Arnold Network (KAN) shows strong nonlinear feature extraction ability for HSI classification, but [...] Read more.
Hyperspectral image (HSI) classification has achieved substantial progress with deep learning. However, existing methods still underexploit frequency-domain information, particularly the complementary roles of high- and low-frequency components. The recently proposed Kolmogorov-Arnold Network (KAN) shows strong nonlinear feature extraction ability for HSI classification, but its lack of frequency-domain learning and reliance on B-spline activation functions often causes unstable training and convergence issues. To address these limitations, this study introduces a Frequency-aware Filtering Activation-based KAN (FFAKAN) for HSI classification. In this framework, the conventional B-spline activation functions in KAN are replaced with learnable high-pass and low-pass spatial filters, enabling explicit frequency decomposition while preserving spectral sequence modeling capacity. Specifically, the proposed framework includes three modules: spectral-spatial feature embedding (S2FE), adaptive filtering KAN (AFKAN), and sequence feature extraction (SeqFE) modules. First, the S2FE module generates highly discriminative feature representations, providing a strong foundation for subsequent processing. Second, the AFKAN module, serving as the core component, employs learnable cutoff frequencies together with cosine-based smooth transition functions to achieve physically interpretable high-low frequency separation, adaptively capturing fine-grained details and structural characteristics in HSI data. Finally, the SeqFE module leverages multi-layer stacked 3D convolutions to perform deep spectral-spatial correlation modeling, extracting high-level discriminative joint features for the classification task. Experiments on four public HSI datasets demonstrate that FFAKAN consistently outperforms state-of-the-art methods. Overall, the proposed method achieves significant performance gains, with maximum improvements of 6.82%, 1.83%, 4.35%, and 5.93% compared with conventional approaches. Moreover, compared with strong baseline models, FFAKAN further improves the overall accuracy by 1.70%, 0.10%, 0.02%, and 0.37%, respectively. These results clearly demonstrate the effectiveness, robustness, and superior generalization capability of the proposed method across different datasets. This study introduces a new paradigm that incorporates physically interpretable frequency-domain priors, showing strong adaptability and promising potential in complex land-cover scenarios. Full article
Show Figures

Figure 1

Back to TopTop