Study on Near-Field Spectral Characteristics and Vibration Control of Multi-Hole Blasting Based on VMD
Featured Application
Abstract
1. Introduction
2. Experimental Site and Vibration Monitoring Scheme
2.1. Experimental Site
2.2. Blasting Vibration Monitoring Scheme
3. Principle of VMD and Comparative Analysis of Signal Decomposition Effects
3.1. Principle of VMD
3.2. Comparison Between VMD and EMD
3.3. Inversion of Delay Time Based on VMD Results
4. Analysis of Near-Field Spectral Characteristics of Multi-Hole Blasting Vibration Based on Delay Time and Blasting Vibration Control Tests
4.1. HHT Results
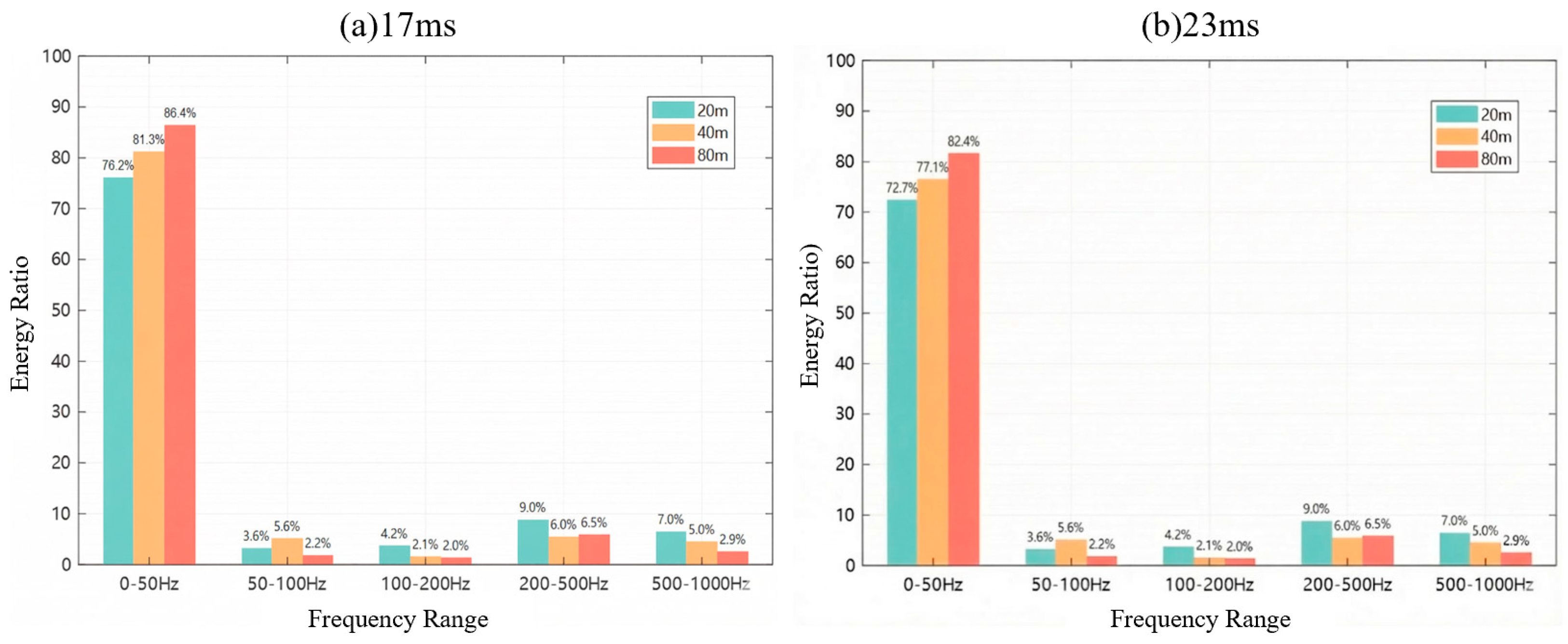
4.2. Energy Ratio Analysis
4.3. Blasting Vibration Control Tests
4.4. Blasting Vibration Control Effect
5. Discussion
6. Conclusions
- (1)
- Compared with traditional algorithms, the VMD technology optimized by the PSO algorithm can effectively avoid the mode aliasing phenomenon during the decomposition process of blasting vibration signals. Based on the high-frequency intrinsic mode component that characterizes the detonation source, the actual delay time of multi-hole blasting was successfully inverted to be 10.47 ms, which has a minimal error compared to the design value of 10 ms, proving the high precision and reliability of this method in extracting the features of complex near-field blasting vibrations.
- (2)
- The delay time of multi-hole millisecond delay blasting directly determines the time-frequency distribution characteristics of vibration energy, a process primarily governed by wave interference mechanisms. When the delay time inadvertently aligns with the natural vibration period of the rock mass constructive interference triggers a sharp resonance rebound in low-frequency energy. Conversely, strictly avoiding this resonance point induces destructive interference. Under the 25 ms delay condition, the energy ratio of the medium-high frequency band is the highest, and the low-frequency energy accumulation degree is the lowest, which is most conducive to shortening the vibration duration and accelerating energy attenuation.
- (3)
- The propagation of blasting vibration waves in the rock mass presents a significant characteristic of high frequencies being prone to attenuation, causing the low-frequency energy ratio to continuously climb with the increase in the distance from the blasting center. Changing the delay parameters can effectively adjust the initial energy distribution; compared to the 17 ms delay, the 23 ms delay can further reduce the low-frequency energy concentration at various distance measuring points.
- (4)
- Considering the specific geological conditions and slope protection requirements of this open-pit coal mine, a millisecond delay optimization scheme based on spatial distance differences is proposed. In blasting areas closer to the slope, it is recommended to adopt a 17 ms inter-hole delay to control the near-field peak particle velocity (PPV). In blasting areas farther from the slope, it is recommended to adopt a 23 ms delay to accelerate vibration wave attenuation and reduce low-frequency disturbances, thereby achieving safe and efficient blasting operations.
Author Contributions
Funding
Institutional Review Board Statement
Informed Consent Statement
Data Availability Statement
Acknowledgments
Conflicts of Interest
References
- Zhang, W.; Wang, H.; Gao, P.; Wang, M.; Cheng, B.; Zong, Q. Vibration characteristics and safety control of deep-hole bench blasting in large open-pit mines. Metal Mine 2024, 9, 151–160. [Google Scholar] [CrossRef]
- Wu, Y.; Mu, C.; Zong, Q.; Wu, J.; Zhou, H. Study on blasting vibration control of brick-concrete structure under subway tunnel. Appl. Sci. 2022, 12, 10960. [Google Scholar] [CrossRef]
- Xu, S.; Chen, T.; Liu, J.; Zhang, C.; Chen, Z. Blasting vibration control using an improved artificial neural network in the Ashele copper mine. Shock Vib. 2021, 2021, 9949858. [Google Scholar] [CrossRef]
- Zhang, P.; Yuan, Y.; He, Y.; Dai, S.; Li, J.; Chi, X.; Li, W.; Sun, X.; Zhang, J.; Bai, R.; et al. Blasting vibration velocity prediction of open pit mines based on GRA-EPSO-SVM model. Coal Sci. Technol. 2025, 53, 105–115. [Google Scholar] [CrossRef]
- Li, Q.; Li, L.; Huang, H.; Xiao, Y.; Wei, X. Study on safety prediction and control of blasting vibration in high slopes based on probability theory. J. China Acad. Saf. Sci. Technol. 2024, 20, 12–18. [Google Scholar]
- He, L.; Yin, L.; Zhong, D.; Zhang, X.; Zhao, Y.; Xiong, H.; Chen, S.; Njamba, B. Review on blasting vibration intensity, waveform and spectrum: Prediction and active control. Blasting 2024, 41, 189–204. [Google Scholar]
- Wang, Y.; Yang, Y.; Gao, Q.; Jiang, W.; Zhou, H.; Yang, R. Blasting vibration response characteristics and safety control measures of double-arch tunnel without middle wall. China J. Highw. Transp. 2023, 36, 266–277. [Google Scholar]
- Li, P.; Lu, W.; Wu, X.; Chen, M.; Yan, P.; Hu, Y. Spectral prediction and control of blast vibrations during the excavation of high dam abutment slopes with millisecond-delay blasting. Soil Dyn. Earthq. Eng. 2017, 94, 116–124. [Google Scholar] [CrossRef]
- Huang, D.; Qiu, X.; Shi, X.; Gou, Y.; Zhou, J. Experimental and numerical investigation of blast-induced vibration for short-delay cut blasting in underground mining. Shock Vib. 2019, 2019, 4609754. [Google Scholar] [CrossRef]
- Xie, X.; Huang, X.; Yao, Y.; He, L.; Wu, Y. Research progress on fine blasting technology of deep-hole bench in open-pit mines. Met. Mine 2022, 7, 7–18. [Google Scholar]
- Lin, F.; Liu, R.; Zhang, Z.; Jiang, D.; Chen, J.; Li, Y. Reduction of blasting induced ground vibrations using high-precision digital electronic detonators. Front. Earth Sci. 2022, 9, 804504. [Google Scholar] [CrossRef]
- Xu, H.; Gao, W.; Liu, J. Numerical simulation study on blasting vibration effect with different millisecond delays between holes. Ind. Constr. 2021, 51, 563–566. [Google Scholar]
- Ma, J.; Li, X.; Wang, J.; Tao, Z.; Zuo, T.; Li, Q.; Zhang, X. Experimental study on vibration reduction technology of hole-by-hole presplitting blasting. Geofluids 2021, 2021, 5403969. [Google Scholar] [CrossRef]
- Liu, B.; Li, J.; Ni, H.; Zuo, Y. Experimental study on reducing blasting vibration by grouped delay hole-by-hole initiation. Eng. Blasting 2024, 14, 2169. [Google Scholar]
- Yan, L.; Jiang, Y.; Yue, Z.; Zhang, X.; Gou, X.; Ran, X.; Guo, Z. Blasting construction control and vibration propagation law of large cross-section ultra-shallow buried bias railway tunnel. J. Vib. Shock 2024, 43, 81–95. [Google Scholar]
- Zaid, M. Dynamic stability analysis of rock tunnels subjected to impact loading with varying UCS. Geomech. Eng. 2021, 24, 505–518. [Google Scholar]
- Wang, H.; Bai, H.; Zhao, Y.; Wang, D.; Wang, X.; Wang, S. The removal method of the blasting vibration signal trend item and noise. Shock Vib. 2021, 2021, 1645380. [Google Scholar] [CrossRef]
- Jia, B.; Ling, T.; Hou, S.; Liu, D.; Wang, X. Application of variational mode decomposition in removing trend item of blasting signal. Explos. Shock Waves 2020, 40, 123–131. [Google Scholar]
- Fu, X.; Yu, J.; Liu, J.; Yang, R.; Dai, L. Distortion correction and chaotic multifractal characteristics of tunnel blasting vibration signals. J. Vib. Shock 2022, 41, 76–85. [Google Scholar]
- Song, D.; Tong, Y.; Qiu, L.; Wei, M.; Wang, M.; Guo, M. Effective electromagnetic-vibration signal reconstruction and chaotic characteristics of granite splitting failure. J. China Coal Soc. 2024, 49, 1375–1387. [Google Scholar]
- Peng, Y.; Liu, Y.; Zhang, C.; Wu, L. A novel denoising model of underwater drilling and blasting vibration signal based on CEEMDAN. Arab. J. Sci. Eng. 2021, 46, 4857–4865. [Google Scholar] [CrossRef]
- Dragomiretskiy, K.; Zosso, D. Variational mode decomposition. IEEE Trans. Signal Process. 2014, 62, 531–544. [Google Scholar] [CrossRef]
- Wang, H.; Li, Y.; Zhao, Y. Application of k-value optimized VMD-wavelet packet analysis joint denoising method in tunnel blasting signals. Explos. Mater. 2021, 50, 50–57. [Google Scholar]
- Yi, W.; Yan, L.; Wang, Z.; Yang, J.; Tao, T.; Liu, L. Geotechnical engineering blasting: A new modal aliasing cancellation methodology of vibration signal de-noising. Earthq. Eng. Eng. Vib. 2022, 21, 313–323. [Google Scholar] [CrossRef]
- Li, T.; Chen, M.; Ye, Z.; Lu, W.; Wei, D. Study on energy transfer efficiency of blasting explosion in different coupling media. Explos. Shock Waves 2021, 41, 111048. [Google Scholar]
- Leng, Z.; Jia, Y.; Lu, W.; Sun, J.; Xie, X. Blasting energy transmission law and boulder formation mechanism of high porosity soft rock. J. Basic Sci. Eng. 2024, 32, 1420–1433. [Google Scholar]
- Gao, Q.; Jin, J.; Wang, Y.; Lu, W.; Leng, Z.; Chen, M. Influence law of initiation position in hole on distribution of blasting vibration field. Explos. Shock Waves 2021, 41, 135–149. [Google Scholar]
- Ma, C.; Wu, L.; Sun, M. Effect of free face number on energy distribution and attenuation law of underwater drilling blasting vibration signals. Explos. Shock Waves 2022, 42, 142–153. [Google Scholar]
- Yang, R.; Li, W.; Yang, G.; Ma, X. Experimental study on the effect of explosive type on blasting effect of rich iron ore. Explos. Shock Waves 2020, 40, 93–104. [Google Scholar]
- Chen, H.; Jia, H.; Huang, Y.; Zhang, Z. Study on blasting vibration propagation law of an open-pit mine slope based on FSWT algorithm. Conserv. Util. Miner. Resour. 2024, 44, 29–40. [Google Scholar]
- Liu, M.; Huang, Y.; Li, Z.; Jia, H.; Gan, D.; Li, H.; Zhang, Z. Study on energy distribution of blasting vibration signals in Pulang copper mine based on wavelet transform algorithm. China Min. Mag. 2024, 33, 226–234. [Google Scholar]
- Jia, Y.; Chen, D.; He, L.; Wang, H.; Shu, Z.; Wang, W. Time-frequency characteristics and actual delay identification of precise delay blasting vibration. Eng. Blasting 2023, 29, 1–9. [Google Scholar]
- Yang, J.; Peng, C.; Ye, Z.; Leng, Z.; Wei, B. Energy distribution characteristics of blasting shock waves in deep rock mass. Acta Armamentarii 2024, 45, 1735–1746. [Google Scholar]
- Chu, Y.; Li, P.; Liang, H.; Li, H.; Liu, W.; Zhang, L.; Huang, X.; Wu, Y. Effect of vibration reduction materials on blasting vibration law of cylindrical water pool. Chin. J. High Press. Phys. 2024, 38, 191–201. [Google Scholar]
- Pan, R.; Chen, H.; Zhao, K.; Liu, L.; Zeng, P. Study on the influence of open-pit blasting dynamic load on the stability of underground backfill. Min. Res. Dev. 2023, 43, 81–86. [Google Scholar]
- Tan, M. Study on the influence of explosive performance on the propagation of blasting seismic waves and the law of energy attenuation. China Min. Mag. 2024, 33, 193–199. [Google Scholar]
- Bolina, F.L.; Fachinelli, E.G.; Rodrigues, J.P.C. Analysis of building structures subjected to electric vehicle fires. J. Build. Eng. 2025, 107, 112769. [Google Scholar] [CrossRef]












| Rock | BTS (MPa) | UCS (MPa) | E (GPa) | Φ (º) | C (MPa) |
|---|---|---|---|---|---|
| Mudstone | 0.11 | 5.30 | 1.035 | 29.88 | 2.64 |
| Sandstone | 0.06 | 6.47 | 0.966 | 36.45 | 0.93 |
| Parameter | Design Value | ||||
|---|---|---|---|---|---|
| 10 ms | 15 ms | 20 ms | 25 ms | 30 ms | |
| Number of holes | 392 | 413 | 424 | 772 | 855 |
| Hole depth (m) | 2.3–16.9 | 6.7–15.4 | 1.4–16.5 | 1.5–17.4 | 15.2–16.3 |
| Distance to slope crest (m) | 2.5–3.0 | 2.5–3.0 | 2.5–3.0 | 2.5–3.0 | 2.5–3.0 |
| Subdrilling (m) | 0.5–1.5 | 1.0–1.5 | 0.5–1.5 | 0.5–1.5 | 1.5 |
| Theoretical volume (m3) | 222,750 | 221,268 | 261,595 | 347,250 | 384,750 |
| Explosive unit consumption (kg/m3) | 0.203 | 0.193 | 0.198 | 0.207 | 0.196 |
| Schematic Diagram of Vibration Monitor | Monitor Parameter | Design Value |
|---|---|---|
![]() | Acceleration range (g) | 0.0003~40 |
| Velocity range (cm/s) | 0.01~40 | |
| Resolution (bit) | 16 | |
| Sampling rate (Hz) | 4000 |
| Test | Channel Name | Maximum Value | Dominant Frequency (Hz) | Duration (s) |
|---|---|---|---|---|
| 10 ms | X | 18.682 cm/s | 58.594 | 0.997 |
| Y | 15.644 cm/s | 58.594 | 0.999 | |
| Z | 13.783 cm/s | 58.594 | 0.868 | |
| 15 ms | X | 15.404 cm/s | 78.828 | 0.998 |
| Y | 5.801 cm/s | 53.438 | 0.999 | |
| Z | 10.292 cm/s | 53.438 | 0.999 | |
| 20 ms | X | 14.990 cm/s | 54.688 | 0.693 |
| Y | 14.637 cm/s | 52.734 | 0.999 | |
| Z | 21.636 cm/s | 54.688 | 0.732 | |
| 25 ms | X | 10.588 cm/s | 76.875 | 0.964 |
| Y | 17.546 cm/s | 52.734 | 0.943 | |
| Z | 20.198 cm/s | 76.875 | 0.986 | |
| 30 ms | X | 19.338 cm/s | 40.078 | 0.849 |
| Y | 19.280 cm/s | 54.688 | 0.848 | |
| Z | 20.234 cm/s | 52.734 | 0.778 |
| Delay Time | Number of Holes | Hole Depth (m) | Distance to Slope Crest (m) | Subdrilling (m) | Theoretical Volume (m3) | Explosive Unit Consumption (kg/m3) |
|---|---|---|---|---|---|---|
| 17 ms | 482 | 2.3–17.2 | 2.5–3.0 | 0.5–1.5 | 288,750 | 0.204 |
| 23 ms | 392 | 1.7–14.7 | 2.5–3.0 | 0.5–1.5 | 221,654 | 0.196 |
| Delay Time | 20 m | 40 m | 80 m |
|---|---|---|---|
| 17 ms | 11.57 cm/s | 7.35 cm/s | 4.87 cm/s |
| 23 ms | 14.05 cm/s | 5.65 cm/s | 2.21 cm/s |
Disclaimer/Publisher’s Note: The statements, opinions and data contained in all publications are solely those of the individual author(s) and contributor(s) and not of MDPI and/or the editor(s). MDPI and/or the editor(s) disclaim responsibility for any injury to people or property resulting from any ideas, methods, instructions or products referred to in the content. |
© 2026 by the authors. Licensee MDPI, Basel, Switzerland. This article is an open access article distributed under the terms and conditions of the Creative Commons Attribution (CC BY) license.
Share and Cite
Zhang, D.; Xu, H.; Chen, H.; Zhang, J.; Wei, S.; Mu, Y.; Gao, F. Study on Near-Field Spectral Characteristics and Vibration Control of Multi-Hole Blasting Based on VMD. Appl. Sci. 2026, 16, 3665. https://doi.org/10.3390/app16083665
Zhang D, Xu H, Chen H, Zhang J, Wei S, Mu Y, Gao F. Study on Near-Field Spectral Characteristics and Vibration Control of Multi-Hole Blasting Based on VMD. Applied Sciences. 2026; 16(8):3665. https://doi.org/10.3390/app16083665
Chicago/Turabian StyleZhang, Dasong, Hongyan Xu, Hui Chen, Jinggang Zhang, Sifan Wei, Yuanxiang Mu, and Fei Gao. 2026. "Study on Near-Field Spectral Characteristics and Vibration Control of Multi-Hole Blasting Based on VMD" Applied Sciences 16, no. 8: 3665. https://doi.org/10.3390/app16083665
APA StyleZhang, D., Xu, H., Chen, H., Zhang, J., Wei, S., Mu, Y., & Gao, F. (2026). Study on Near-Field Spectral Characteristics and Vibration Control of Multi-Hole Blasting Based on VMD. Applied Sciences, 16(8), 3665. https://doi.org/10.3390/app16083665

