Sign in to use this feature.

Years

Between: -

Subjects

remove_circle_outline
remove_circle_outline
remove_circle_outline
remove_circle_outline
remove_circle_outline
remove_circle_outline
remove_circle_outline
remove_circle_outline

Journals

Article Types

Countries / Regions

Search Results (49)

Search Parameters:
Keywords = spatial beating

Order results
Result details
Results per page
Select all
Export citation of selected articles as:
27 pages, 4144 KB  
Article
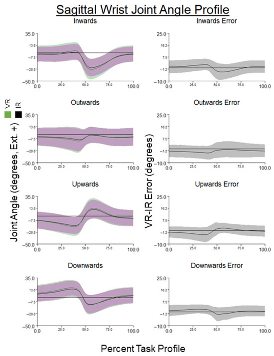
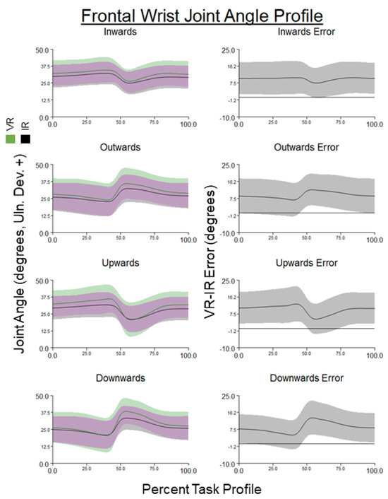
Characterization of Upper Extremity Joint Angle Error for Virtual Reality Motion Capture Compared to Infrared Motion Capture
by Skyler A. Barclay, Trent Brown, Tessa M. Hill, Ann Smith, Timothy Reissman, Allison L. Kinney and Megan E. Reissman
Appl. Sci. 2025, 15(22), 12081; https://doi.org/10.3390/app152212081 - 13 Nov 2025
Viewed by 303
Abstract
Virtual reality (VR) offers built-in wearable sensor-based tracking capabilities. Current research focusses on position and orientation error, with limited results on more clinically relevant metrics, such as joint angles. This leads us to our first objective, to characterize the accuracy of upper extremity [...] Read more.
Virtual reality (VR) offers built-in wearable sensor-based tracking capabilities. Current research focusses on position and orientation error, with limited results on more clinically relevant metrics, such as joint angles. This leads us to our first objective, to characterize the accuracy of upper extremity VR motion capture. Since the intent is for clinical translation, our second objective is to compare the errors across people identified as healthy controls and people who had experienced a spinal cord injury (SCI). Spatially and temporally synced VR and infrared motion capture data were collected during a variety of custom VR Beat Saber levels. Error values were found with infrared motion capture as the ground truth. The median RMSE was found to be below 7° for shoulder horizontal adduction and elbow flexion and 5° for shoulder elevation and wrist joint metrics. The percentage median error for the range of motion was found to be below 30%, 15%, and 5% for the frontal wrist, sagittal wrist, and all other joints, respectively. Larger standard deviations suggest that repetitions are needed to obtain reliable measurements. No statistical difference in any error metric was found between the control cohort and SCI cohort, providing evidence for clinical translation for post-SCI treatment. Full article
(This article belongs to the Special Issue Virtual Reality in Physical Therapy)
Show Figures

Figure 1

13 pages, 2381 KB  
Article
DCNN–Transformer Hybrid Network for Robust Feature Extraction in FMCW LiDAR Ranging
by Wenhao Xu, Pansong Zhang, Guohui Yuan, Shichang Xu, Longfei Li, Junxiang Zhang, Longfei Li, Tianyu Li and Zhuoran Wang
Photonics 2025, 12(10), 995; https://doi.org/10.3390/photonics12100995 - 10 Oct 2025
Viewed by 489
Abstract
Frequency-Modulated Continuous-Wave (FMCW) Laser Detection and Ranging (LiDAR) systems are widely used due to their high accuracy and resolution. Nevertheless, conventional distance extraction methods often lack robustness in noisy and complex environments. To address this limitation, we propose a deep learning-based signal extraction [...] Read more.
Frequency-Modulated Continuous-Wave (FMCW) Laser Detection and Ranging (LiDAR) systems are widely used due to their high accuracy and resolution. Nevertheless, conventional distance extraction methods often lack robustness in noisy and complex environments. To address this limitation, we propose a deep learning-based signal extraction framework that integrates a Dual Convolutional Neural Network (DCNN) with a Transformer model. The DCNN extracts multi-scale spatial features through multi-layer and pointwise convolutions, while the Transformer employs a self-attention mechanism to capture global temporal dependencies of the beat-frequency signals. The proposed DCNN–Transformer network is evaluated through beat-frequency signal inversion experiments across distances ranging from 3 m to 40 m. The experimental results show that the method achieves a mean absolute error (MAE) of 4.1 mm and a root-mean-square error (RMSE) of 3.08 mm. These results demonstrate that the proposed approach provides stable and accurate predictions, with strong generalization ability and robustness for FMCW LiDAR systems. Full article
(This article belongs to the Section Optical Interaction Science)
Show Figures

Figure 1

19 pages, 4477 KB  
Article
Non-Contact Heart Rate Variability Monitoring with FMCW Radar via a Novel Signal Processing Algorithm
by Guangyu Cui, Yujie Wang, Xinyi Zhang, Jiale Li, Xinfeng Liu, Bijie Li, Jiayi Wang and Quan Zhang
Sensors 2025, 25(17), 5607; https://doi.org/10.3390/s25175607 - 8 Sep 2025
Viewed by 1829
Abstract
Heart rate variability (HRV), which quantitatively characterizes fluctuations in beat-to-beat intervals, serves as a critical indicator of cardiovascular and autonomic nervous system health. The inherent ability of non-contact methods to eliminate the need for subject contact effectively mitigates user burden and facilitates scalable [...] Read more.
Heart rate variability (HRV), which quantitatively characterizes fluctuations in beat-to-beat intervals, serves as a critical indicator of cardiovascular and autonomic nervous system health. The inherent ability of non-contact methods to eliminate the need for subject contact effectively mitigates user burden and facilitates scalable long-term monitoring, thus attracting considerable research interest in non-contact HRV sensing. In this study, we propose a novel algorithm for HRV extraction utilizing FMCW millimeter-wave radar. First, we developed a calibration-free 3D target positioning module that captures subjects’ micro-motion signals through the integration of digital beamforming, moving target indication filtering, and DBSCAN (Density-Based Spatial Clustering of Applications with Noise) clustering techniques. Second, we established separate phase-based mathematical models for respiratory and cardiac vibrations to enable systematic signal separation. Third, we implemented the Second Order Spectral Sparse Separation Algorithm Using Lagrangian Multipliers, thereby achieving robust heartbeat extraction in the presence of respiratory movements and noise. Heartbeat events are identified via peak detection on the recovered cardiac signal, from which inter-beat intervals and HRV metrics are subsequently derived. Compared to state-of-the-art algorithms and traditional filter bank approaches, the proposed method demonstrated an over 50% reduction in average IBI (Inter-Beat Interval) estimation error, while maintaining consistent accuracy across all test scenarios. However, it should be noted that the method is currently applicable only to scenarios with limited subject movement and has been validated in offline mode, but a discussion addressing these two issues is provided at the end. Full article
(This article belongs to the Section Biomedical Sensors)
Show Figures

Figure 1

27 pages, 8177 KB  
Article
A Novel Scheme for High-Accuracy Frequency Estimation in Non-Contact Heart Rate Detection Based on Multi-Dimensional Accumulation and FIIB
by Shiqing Tang, Yunxue Liu, Jinwei Wang, Shie Wu, Xuefei Dong and Min Zhou
Sensors 2025, 25(16), 5097; https://doi.org/10.3390/s25165097 - 16 Aug 2025
Viewed by 920
Abstract
This paper proposes a novel heart rate detection scheme to address key challenges in millimeter-wave radar-based vital sign monitoring, including weak signals, various types of interference, and the demand for high-precision and super-resolution frequency estimation under practical computational constraints. First, we propose a [...] Read more.
This paper proposes a novel heart rate detection scheme to address key challenges in millimeter-wave radar-based vital sign monitoring, including weak signals, various types of interference, and the demand for high-precision and super-resolution frequency estimation under practical computational constraints. First, we propose a multi-dimensional coherent accumulation (MDCA) method to enhance the signal-to-noise ratio (SNR) by fully utilizing both spatial information from multiple receiving channels and temporal information from adjacent range bins. Additionally, we are the first to apply the fast iterative interpolated beamforming (FIIB) algorithm to radar-based heart rate detection, enabling super-resolution frequency estimation with low computational complexity. Compared to the traditional fast Fourier transform (FFT) method, the FIIB achieves an improvement of 1.08 beats per minute (bpm). A reordering strategy is also introduced to mitigate potential misjudgments by FIIB. Key parameters of FIIB, including the number of frequency components L and the number of iterations Q, are analyzed and recommended. Dozens of subjects were recruited for experiments, and the root mean square error (RMSE) of heart rate estimation was less than 1.12 bpm on average at a distance of 1 m. Extensive experiments validate the high accuracy and robust performance of the proposed framework in heart rate estimation. Full article
(This article belongs to the Section Radar Sensors)
Show Figures

Graphical abstract

20 pages, 12454 KB  
Article
Dynamic Virtual Simulation with Real-Time Haptic Feedback for Robotic Internal Mammary Artery Harvesting
by Shuo Wang, Tong Ren, Nan Cheng, Rong Wang and Li Zhang
Bioengineering 2025, 12(3), 285; https://doi.org/10.3390/bioengineering12030285 - 13 Mar 2025
Cited by 1 | Viewed by 1642
Abstract
Coronary heart disease, a leading global cause of mortality, has witnessed significant advancement through robotic coronary artery bypass grafting (CABG), with the internal mammary artery (IMA) emerging as the preferred “golden conduit” for its exceptional long-term patency. Despite these advances, robotic-assisted IMA harvesting [...] Read more.
Coronary heart disease, a leading global cause of mortality, has witnessed significant advancement through robotic coronary artery bypass grafting (CABG), with the internal mammary artery (IMA) emerging as the preferred “golden conduit” for its exceptional long-term patency. Despite these advances, robotic-assisted IMA harvesting remains challenging due to the absence of force feedback, complex surgical maneuvers, and proximity to the beating heart. This study introduces a novel virtual simulation platform for robotic IMA harvesting that integrates dynamic anatomical modeling and real-time haptic feedback. By incorporating a dynamic cardiac model into the surgical scene, our system precisely simulates the impact of cardiac pulsation on thoracic cavity operations. The platform features high-fidelity representations of thoracic anatomy and soft tissue deformation, underpinned by a comprehensive biomechanical framework encompassing fascia, adipose tissue, and vascular structures. Our key innovations include a topology-preserving cutting algorithm, a bidirectional tissue coupling mechanism, and dual-channel haptic feedback for electrocautery simulation. Quantitative assessment using our newly proposed Spatial Asymmetry Index (SAI) demonstrated significant behavioral adaptations to cardiac motion, with dynamic scenarios yielding superior SAI values compared to static conditions. These results validate the platform’s potential as an anatomically accurate, interactive, and computationally efficient solution for enhancing surgical skill acquisition in complex cardiac procedures. Full article
(This article belongs to the Section Biomedical Engineering and Biomaterials)
Show Figures

Figure 1

22 pages, 7013 KB  
Article
Non-Contact Blood Pressure Monitoring Using Radar Signals: A Dual-Stage Deep Learning Network
by Pengfei Wang, Minghao Yang, Xiaoxue Zhang, Jianqi Wang, Cong Wang and Hongbo Jia
Bioengineering 2025, 12(3), 252; https://doi.org/10.3390/bioengineering12030252 - 2 Mar 2025
Cited by 1 | Viewed by 3469
Abstract
Emerging radar sensing technology is revolutionizing cardiovascular monitoring by eliminating direct skin contact. This approach captures vital signs through electromagnetic wave reflections, enabling contactless blood pressure (BP) tracking while maintaining user comfort and privacy. We present a hierarchical neural framework that synergizes spatial [...] Read more.
Emerging radar sensing technology is revolutionizing cardiovascular monitoring by eliminating direct skin contact. This approach captures vital signs through electromagnetic wave reflections, enabling contactless blood pressure (BP) tracking while maintaining user comfort and privacy. We present a hierarchical neural framework that synergizes spatial and temporal feature learning for radar-driven, contactless BP monitoring. By employing advanced preprocessing techniques, the system captures subtle chest wall vibrations and their second-order derivatives, feeding dual-channel inputs into a hierarchical neural network. Specifically, Stage 1 deploys convolutional depth-adjustable lightweight residual blocks to extract spatial features from micro-motion characteristics, while Stage 2 employs a transformer architecture to establish correlations between these spatial features and BP periodic dynamic variations. Drawing on the intrinsic link between systolic (SBP) and diastolic (DBP) blood pressures, early estimates from Stage 2 are used to expand the feature set for the second-stage network, boosting its predictive power. Validation achieved clinically acceptable errors (SBP: −1.09 ± 5.15 mmHg, DBP: −0.26 ± 4.35 mmHg). Notably, this high degree of accuracy, combined with the ability to estimate BP at 2 s intervals, closely approximates real-time, beat-to-beat monitoring, representing a pivotal breakthrough in non-contact BP monitoring. Full article
(This article belongs to the Section Biomedical Engineering and Biomaterials)
Show Figures

Graphical abstract

26 pages, 6063 KB  
Article
Generative Diffusion-Based Task Incremental Learning Method for Decoding Motor Imagery EEG
by Yufei Yang, Mingai Li and Jianhang Liu
Brain Sci. 2025, 15(2), 98; https://doi.org/10.3390/brainsci15020098 - 21 Jan 2025
Cited by 1 | Viewed by 2049
Abstract
Background/Objectives: Motor neurorehabilitation can be realized by gradually learning diverse motor imagery (MI) tasks. EEG-based brain-computer interfaces (BCIs) provide an effective solution. Nevertheless, existing MI decoding methods cannot balance plasticity for unseen tasks and stability for old tasks. This paper proposes a generative [...] Read more.
Background/Objectives: Motor neurorehabilitation can be realized by gradually learning diverse motor imagery (MI) tasks. EEG-based brain-computer interfaces (BCIs) provide an effective solution. Nevertheless, existing MI decoding methods cannot balance plasticity for unseen tasks and stability for old tasks. This paper proposes a generative diffusion-based task Incremental Learning (IL) method called GD-TIL. Methods: First, data augmentation is employed to increase data diversity by segmenting and recombining EEG signals. Second, to capture temporal-spatial features (TSFs) from different temporal resolutions, a multi-scale temporal-spatial feature extractor (MTSFE) is developed via integrating multiscale temporal-spatial convolutions, a dual-branch pooling operation, multiple multi-head self-attention mechanisms, and a dynamic convolutional encoder. The proposed self-supervised task generalization (SSTG) mechanism introduces a regularization constraint to guide MTSFE and unified classifier updating, which combines labels and semantic similarity between the augmentation with original views to enhance model generalizability for unseen tasks. In the IL phase, a prototype-guided generative replay module (PGGR) is used to generate old tasks’ TSFs by training a lightweight diffusion model based on the prototype and label of each task. Furthermore, the generated TSF is merged with a new TSF to fine-tune the convolutional encoder and update the classifier and PGGR. Finally, GD-TIL is evaluated on a self-collected ADL-MI dataset with two MI pairs and a public dataset with four MI tasks. Results: The continuous decoding accuracy reaches 80.20% and 81.32%, respectively. The experimental results exhibit the excellent plasticity and stability of GD-TIL, even beating the state-of-the-art IL methods. Conclusions: Our work illustrates the potential of MI-based BCI and generative AI for continuous neurorehabilitation. Full article
Show Figures

Figure 1

16 pages, 3114 KB  
Article
Exploring Effects of Mental Stress with Data Augmentation and Classification Using fNIRS
by M. N. Afzal Khan, Nada Zahour, Usman Tariq, Ghinwa Masri, Ismat F. Almadani and Hasan Al-Nashah
Sensors 2025, 25(2), 428; https://doi.org/10.3390/s25020428 - 13 Jan 2025
Cited by 3 | Viewed by 2328
Abstract
Accurately identifying and discriminating between different brain states is a major emphasis of functional brain imaging research. Various machine learning techniques play an important role in this regard. However, when working with a small number of study participants, the lack of sufficient data [...] Read more.
Accurately identifying and discriminating between different brain states is a major emphasis of functional brain imaging research. Various machine learning techniques play an important role in this regard. However, when working with a small number of study participants, the lack of sufficient data and achieving meaningful classification results remain a challenge. In this study, we employ a classification strategy to explore stress and its impact on spatial activation patterns and brain connectivity caused by the Stroop color–word task (SCWT). To improve our results and increase our dataset, we use data augmentation with a deep convolutional generative adversarial network (DCGAN). The study is carried out at two separate times of day (morning and evening) and involves 21 healthy participants. Additionally, we introduce binaural beats (BBs) stimulation to investigate its potential for stress reduction. The morning session includes a control phase with 10 SCWT trials, whereas the afternoon session is divided into three phases: stress, mitigation (with 16 Hz BB stimulation), and post-mitigation, each with 10 SCWT trials. For a comprehensive evaluation, the acquired fNIRS data are classified using a variety of machine-learning approaches. Linear discriminant analysis (LDA) showed a maximum accuracy of 60%, whereas non-augmented data classified by a convolutional neural network (CNN) provided the highest classification accuracy of 73%. Notably, after augmenting the data with DCGAN, the classification accuracy increases dramatically to 96%. In the time series data, statistically significant differences were noticed in the data before and after BB stimulation, which showed an improvement in the brain state, in line with the classification results. These findings illustrate the ability to detect changes in brain states with high accuracy using fNIRS, underline the need for larger datasets, and demonstrate that data augmentation can significantly help when data are scarce in the case of brain signals. Full article
(This article belongs to the Section Biomedical Sensors)
Show Figures

Figure 1

20 pages, 4647 KB  
Article
DeSPPNet: A Multiscale Deep Learning Model for Cardiac Segmentation
by Elizar Elizar, Rusdha Muharar and Mohd Asyraf Zulkifley
Diagnostics 2024, 14(24), 2820; https://doi.org/10.3390/diagnostics14242820 - 14 Dec 2024
Cited by 1 | Viewed by 1727
Abstract
Background: Cardiac magnetic resonance imaging (MRI) plays a crucial role in monitoring disease progression and evaluating the effectiveness of treatment interventions. Cardiac MRI allows medical practitioners to assess cardiac function accurately by providing comprehensive and quantitative information about the structure and function, hence [...] Read more.
Background: Cardiac magnetic resonance imaging (MRI) plays a crucial role in monitoring disease progression and evaluating the effectiveness of treatment interventions. Cardiac MRI allows medical practitioners to assess cardiac function accurately by providing comprehensive and quantitative information about the structure and function, hence making it an indispensable tool for monitoring the disease and treatment response. Deep learning-based segmentation enables the precise delineation of cardiac structures including the myocardium, right ventricle, and left ventricle. The accurate segmentation of these structures helps in the diagnosis of heart failure, cardiac functional response to therapies, and understanding the state of the heart functions after treatment. Objectives: The objective of this study is to develop a multiscale deep learning model to segment cardiac organs based on MRI imaging data. Good segmentation performance is difficult to achieve due to the complex nature of the cardiac structure, which includes a variety of chambers, arteries, and tissues. Furthermore, the human heart is also constantly beating, leading to motion artifacts that reduce image clarity and consistency. As a result, a multiscale method is explored to overcome various challenges in segmenting cardiac MRI images. Methods: This paper proposes DeSPPNet, a multiscale-based deep learning network. Its foundation follows encoder–decoder pair architecture that utilizes the Spatial Pyramid Pooling (SPP) layer to improve the performance of cardiac semantic segmentation. The SPP layer is designed to pool features from densely convolutional layers at different scales or sizes, which will be combined to maintain a set of spatial information. By processing features at different spatial resolutions, the multiscale densely connected layer in the form of the Pyramid Pooling Dense Module (PPDM) helps the network to capture both local and global context, preserving finer details of the cardiac structure while also capturing the broader context required to accurately segment larger cardiac structures. The PPDM is incorporated into the deeper layer of the encoder section of the deep learning network to allow it to recognize complex semantic features. Results: An analysis of multiple PPDM placement scenarios and structural variations revealed that the 3-path PPDM, positioned at the encoder layer 5, yielded optimal segmentation performance, achieving dice, intersection over union (IoU), and accuracy scores of 0.859, 0.800, and 0.993, respectively. Conclusions: Different PPDM configurations produce a different effect on the network; as such, a shallower layer placement, like encoder layer 4, retains more spatial data that need more parallel paths to gather the optimal set of multiscale features. In contrast, deeper layers contain more informative features but at a lower spatial resolution, which reduces the number of parallel paths required to provide optimal multiscale context. Full article
Show Figures

Figure 1

25 pages, 5732 KB  
Article
Analyzing the Impact of Binaural Beats on Anxiety Levels by a New Method Based on Denoised Harmonic Subtraction and Transient Temporal Feature Extraction
by Devika Rankhambe, Bharati Sanjay Ainapure, Bhargav Appasani, Avireni Srinivasulu and Nicu Bizon
Bioengineering 2024, 11(12), 1251; https://doi.org/10.3390/bioengineering11121251 - 10 Dec 2024
Viewed by 4074
Abstract
Anxiety is a widespread mental health issue, and binaural beats have been explored as a potential non-invasive treatment. EEG data reveal changes in neural oscillation and connectivity linked to anxiety reduction; however, harmonics introduced during signal acquisition and processing often distort these findings. [...] Read more.
Anxiety is a widespread mental health issue, and binaural beats have been explored as a potential non-invasive treatment. EEG data reveal changes in neural oscillation and connectivity linked to anxiety reduction; however, harmonics introduced during signal acquisition and processing often distort these findings. Existing methods struggle to effectively reduce harmonics and capture the fine-grained temporal dynamics of EEG signals, leading to inaccurate feature extraction. Hence, a novel Denoised Harmonic Subtraction and Transient Temporal Feature Extraction is proposed to improve the analysis of the impact of binaural beats on anxiety levels. Initially, a novel Wiener Fused Convo Filter is introduced to capture spatial features and eliminate linear noise in EEG signals. Next, an Intrinsic Harmonic Subtraction Network is employed, utilizing the Attentive Weighted Least Mean Square (AW-LMS) algorithm to capture nonlinear summation and resonant coupling effects, effectively eliminating the misinterpretation of brain rhythms. To address the challenge of fine-grained temporal dynamics, an Embedded Transfo XL Recurrent Network is introduced to detect and extract relevant parameters associated with transient events in EEG data. Finally, EEG data undergo harmonic reduction and temporal feature extraction before classification with a cross-correlated Markov Deep Q-Network (DQN). This facilitates anxiety level classification into normal, mild, moderate, and severe categories. The model demonstrated a high accuracy of 95.6%, precision of 90%, sensitivity of 93.2%, and specificity of 96% in classifying anxiety levels, outperforming previous models. This integrated approach enhances EEG signal processing, enabling reliable anxiety classification and offering valuable insights for therapeutic interventions. Full article
(This article belongs to the Special Issue Adaptive Neurostimulation: Innovative Strategies for Stimulation)
Show Figures

Figure 1

35 pages, 21923 KB  
Article
A Study on the Effect of Urban Form on the Street Interface Rhythm Based on Multisource Data and Waveform Classification
by Chenxue Sun, Jianbo Zhao and Kun Song
Buildings 2024, 14(10), 3207; https://doi.org/10.3390/buildings14103207 - 9 Oct 2024
Cited by 1 | Viewed by 1827
Abstract
Good-quality urban street space is crucial for improving walkability. Frequency and amplitude are the main spatial characteristics of the street interface rhythm, known as a “virtual–real” relation. Exploring the mechanism influencing the urban street interface rhythm can help grasp the movement trend. In [...] Read more.
Good-quality urban street space is crucial for improving walkability. Frequency and amplitude are the main spatial characteristics of the street interface rhythm, known as a “virtual–real” relation. Exploring the mechanism influencing the urban street interface rhythm can help grasp the movement trend. In this study, the correlation between frequency and urban form is explored through a Pearson correlation analysis with multisource data, and the factors influencing the urban street interface rhythm are presented. The results indicate that frequency has a moderate negative correlation with the block scale and a moderate positive correlation with the number of pedestrian access entrances (PAE-n); the PAE-n also has a strong negative correlation with the block scale. Some spatial characteristics of outstanding streets from different countries are analyzed and discussed based on waveform classification. The regularities of interface rhythm that exist within multiple streets are found: multiple gaps on the street interface exist, acting as a “beat”, which regularly integrates or separates the street interface rhythm. The frequency and amplitude of the “beat” significantly affect streets’ walkability, and the amplitude is generally low and uniform, with good visual accessibility in all directions. A “Small Block and Dense Grid” becomes a key factor in improving walkability. Basic knowledge of the street interface rhythm in urban walking space research is supplemented by this study. Furthermore, theoretical guidance and parametric evidence are provided to improve walkability and promote the continuation of the traditional context. Full article
(This article belongs to the Section Architectural Design, Urban Science, and Real Estate)
Show Figures

Figure 1

36 pages, 11518 KB  
Article
An Interference Mitigation Method for FMCW Radar Based on Time–Frequency Distribution and Dual-Domain Fusion Filtering
by Yu Zhou, Ronggang Cao, Anqi Zhang and Ping Li
Sensors 2024, 24(11), 3288; https://doi.org/10.3390/s24113288 - 21 May 2024
Cited by 5 | Viewed by 4391
Abstract
Radio frequency interference (RFI) significantly hampers the target detection performance of frequency-modulated continuous-wave radar. To address the problem and maintain the target echo signal, this paper proposes a priori assumption on the interference component nature in the radar received signal, as well as [...] Read more.
Radio frequency interference (RFI) significantly hampers the target detection performance of frequency-modulated continuous-wave radar. To address the problem and maintain the target echo signal, this paper proposes a priori assumption on the interference component nature in the radar received signal, as well as a method for interference estimation and mitigation via time–frequency analysis. The solution employs Fourier synchrosqueezed transform to implement the radar’s beat signal transformation from time domain to time–frequency domain, thus converting the interference mitigation to the task of time–frequency distribution image restoration. The solution proposes the use of image processing based on the dual-tree complex wavelet transform and combines it with the spatial domain-based approach, thereby establishing a dual-domain fusion interference filter for time–frequency distribution images. This paper also presents a convolutional neural network model of structurally improved UNet++, which serves as the interference estimator. The proposed solution demonstrated its capability against various forms of RFI through the simulation experiment and showed a superior interference mitigation performance over other CNN model-based approaches. Full article
(This article belongs to the Section Radar Sensors)
Show Figures

Figure 1

11 pages, 3296 KB  
Article
Distributed Temperature Sensing through Network Analysis Frequency-Domain Reflectometry
by Rizwan Zahoor, Raffaele Vallifuoco, Luigi Zeni and Aldo Minardo
Sensors 2024, 24(7), 2378; https://doi.org/10.3390/s24072378 - 8 Apr 2024
Cited by 3 | Viewed by 2448
Abstract
In this paper, we propose and demonstrate a network analysis optical frequency domain reflectometer (NA-OFDR) for distributed temperature measurements at high spatial (down to ≈3 cm) and temperature resolution. The system makes use of a frequency-stepped, continuous-wave (cw) laser whose output light is [...] Read more.
In this paper, we propose and demonstrate a network analysis optical frequency domain reflectometer (NA-OFDR) for distributed temperature measurements at high spatial (down to ≈3 cm) and temperature resolution. The system makes use of a frequency-stepped, continuous-wave (cw) laser whose output light is modulated using a vector network analyzer. The latter is also used to demodulate the amplitude of the beat signal formed by coherently mixing the Rayleigh backscattered light with a local oscillator. The system is capable of attaining high measurand resolution (≈50 mK at 3-cm spatial resolution) thanks to the high sensitivity of coherent Rayleigh scattering to temperature. Furthermore, unlike the conventional optical-frequency domain reflectometry (OFDR), the proposed system does not rely on the use of a tunable laser and therefore is less prone to limitations related to the laser coherence or sweep nonlinearity. Two configurations are analyzed, both numerically and experimentally, based on either a double-sideband or single-sideband modulated probe light. The results confirm the validity of the proposed approach. Full article
(This article belongs to the Special Issue Feature Papers in Optical Sensors 2024)
Show Figures

Figure 1

13 pages, 728 KB  
Article
Measurement of Group Delay Ripples of Chirped Fiber Bragg Gratings for CPA Lasers, and Their Effect on Performance
by François Ouellette and Hui Wang
Photonics 2024, 11(4), 333; https://doi.org/10.3390/photonics11040333 - 2 Apr 2024
Viewed by 2327
Abstract
The deleterious effect of group delay ripples (GDR) on the performance of a chirped fiber Bragg grating used as a stretcher in a chirped pulse amplification (CPA) laser is analyzed through simulations of CFBGs with various amounts of noise. We show that GDR [...] Read more.
The deleterious effect of group delay ripples (GDR) on the performance of a chirped fiber Bragg grating used as a stretcher in a chirped pulse amplification (CPA) laser is analyzed through simulations of CFBGs with various amounts of noise. We show that GDR with a standard deviation of less than one-half the transform-limited pulse duration are required for consistent good performance. We furthermore describe a simple method to measure the group delay response of such CFBGs written in polarization-maintaining fiber, using the beat spectrum of the reflections from the two polarization axes after passing through a polarizer. The method can be used to extract GDR, as well as the phase response of the CFBG, which is used to predict the pulse recompression performance of a CPA laser. The method is theoretically described, and we show that despite limitations on its spatial resolution, it can capture the most deleterious GDR. Experimental measurements of GDR as low as 161 fs in an actual CFBG are demonstrated using our method, indicating a resolution better than 50 fs and very good reproducibility, with pulse recompression performance in agreement with the measurement prediction. Full article
(This article belongs to the Special Issue Ultrafast Laser Science and Advanced Technologies)
Show Figures

Figure 1

17 pages, 3719 KB  
Article
Analysis of Unique Motility of the Unicellular Green Alga Chlamydomonas reinhardtii at Low Temperatures down to −8 °C
by Kyohei Yamashita, Tomoka Yamaguchi, Shigehiro Ikeno, Asuka Koyama, Tetsuo Aono, Ayaka Mori, Shoto Serizawa, Yuji Ishikawa and Eiji Tokunaga
Micromachines 2024, 15(3), 410; https://doi.org/10.3390/mi15030410 - 19 Mar 2024
Cited by 1 | Viewed by 2163
Abstract
Previous studies of motility at low temperatures in Chlamydomonas reinhardtii have been conducted at temperatures of up to 15 °C. In this study, we report that C. reinhardtii exhibits unique motility at a lower temperature range (−8.7 to 1.7 °C). Cell motility was [...] Read more.
Previous studies of motility at low temperatures in Chlamydomonas reinhardtii have been conducted at temperatures of up to 15 °C. In this study, we report that C. reinhardtii exhibits unique motility at a lower temperature range (−8.7 to 1.7 °C). Cell motility was recorded using four low-cost, easy-to-operate observation systems. Fast Fourier transform (FFT) analysis at room temperature (20–27 °C) showed that the main peak frequency of oscillations ranged from 44 to 61 Hz, which is consistent with the 60 Hz beat frequency of flagella. At lower temperatures, swimming velocity decreased with decreasing temperature. The results of the FFT analysis showed that the major peak shifted to the 5–18 Hz range, suggesting that the flagellar beat frequency was decreasing. The FFT spectra had distinct major peaks in both temperature ranges, indicating that the oscillations were regular. This was not affected by the wavelength of the observation light source (white, red, green or blue LED) or the environmental spatial scale of the cells. In contrast, cells in a highly viscous (3.5 mPa·s) culture at room temperature showed numerous peaks in the 0–200 Hz frequency band, indicating that the oscillations were irregular. These findings contribute to a better understanding of motility under lower-temperature conditions in C. reinhardtii. Full article
Show Figures

Figure 1

Back to TopTop