Use of Tyre-Derived Aggregate as Backfill Material for Wave Barriers to Mitigate Railway-Induced Ground Vibrations
Abstract
1. Introduction
2. Materials and Methods
2.1. Generalities
2.2. Train–Track–Ground Interaction
2.3. Explicit 3D Finite-Difference Method Formulated in the Space/Time Domain
2.4. Study Case
3. Results and Discussion
3.1. Introduction
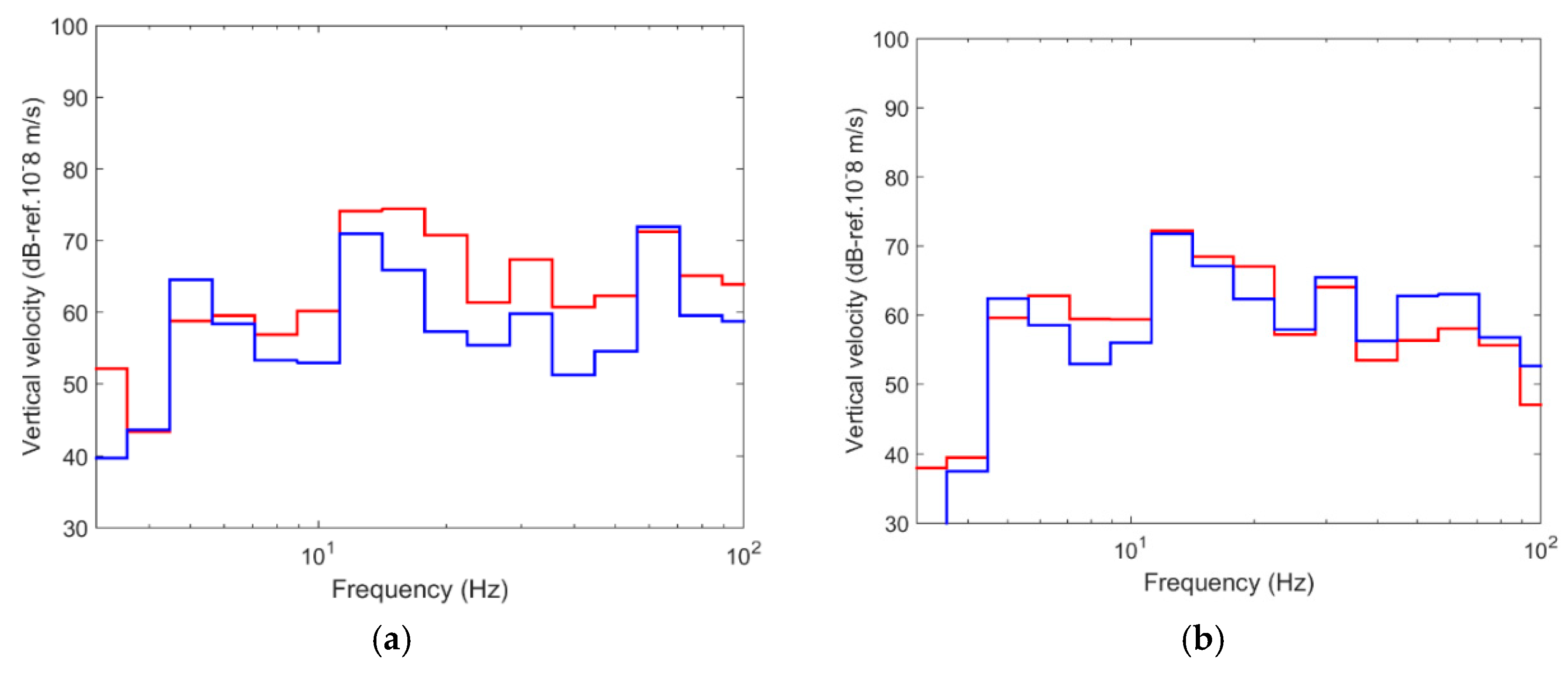
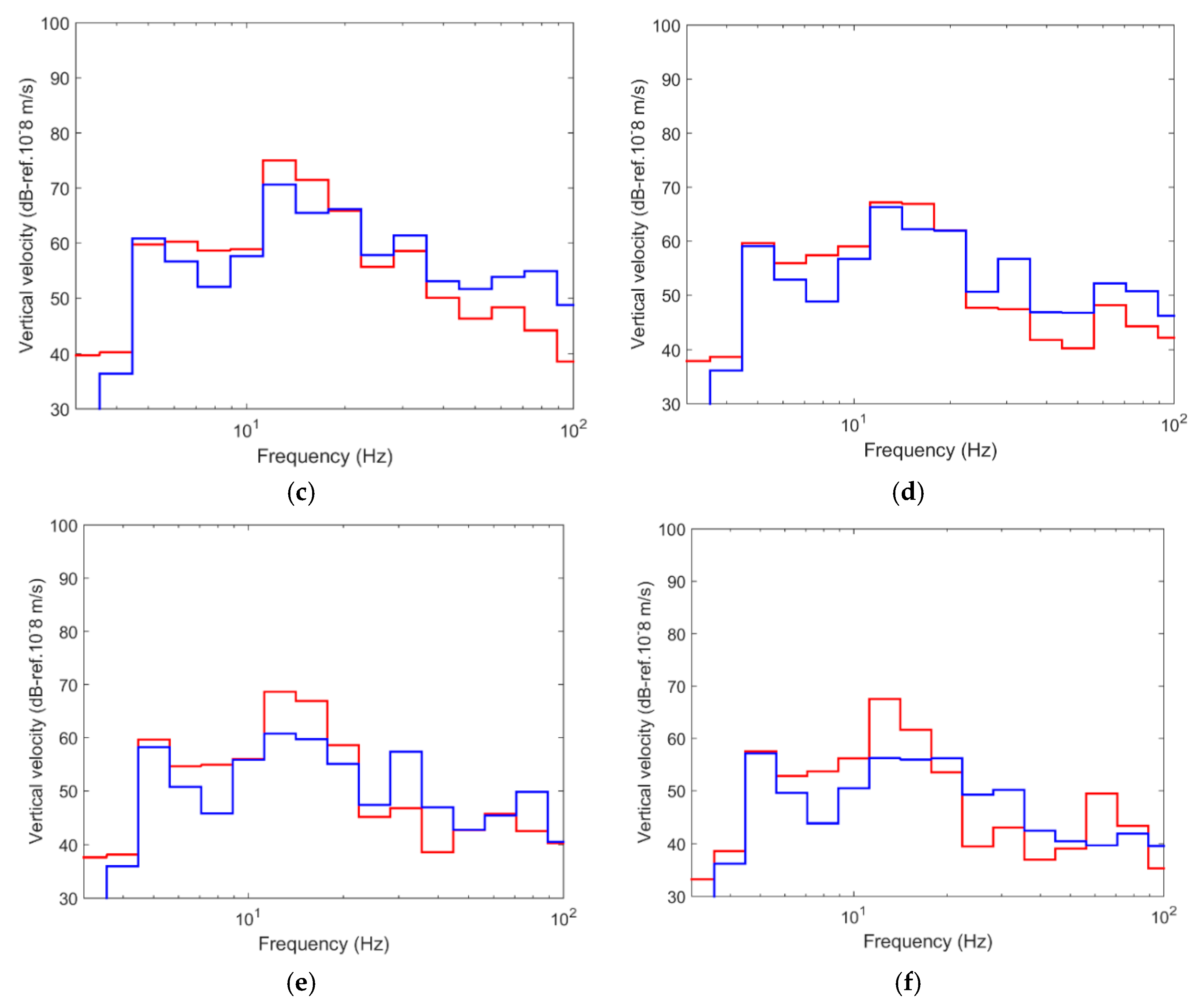
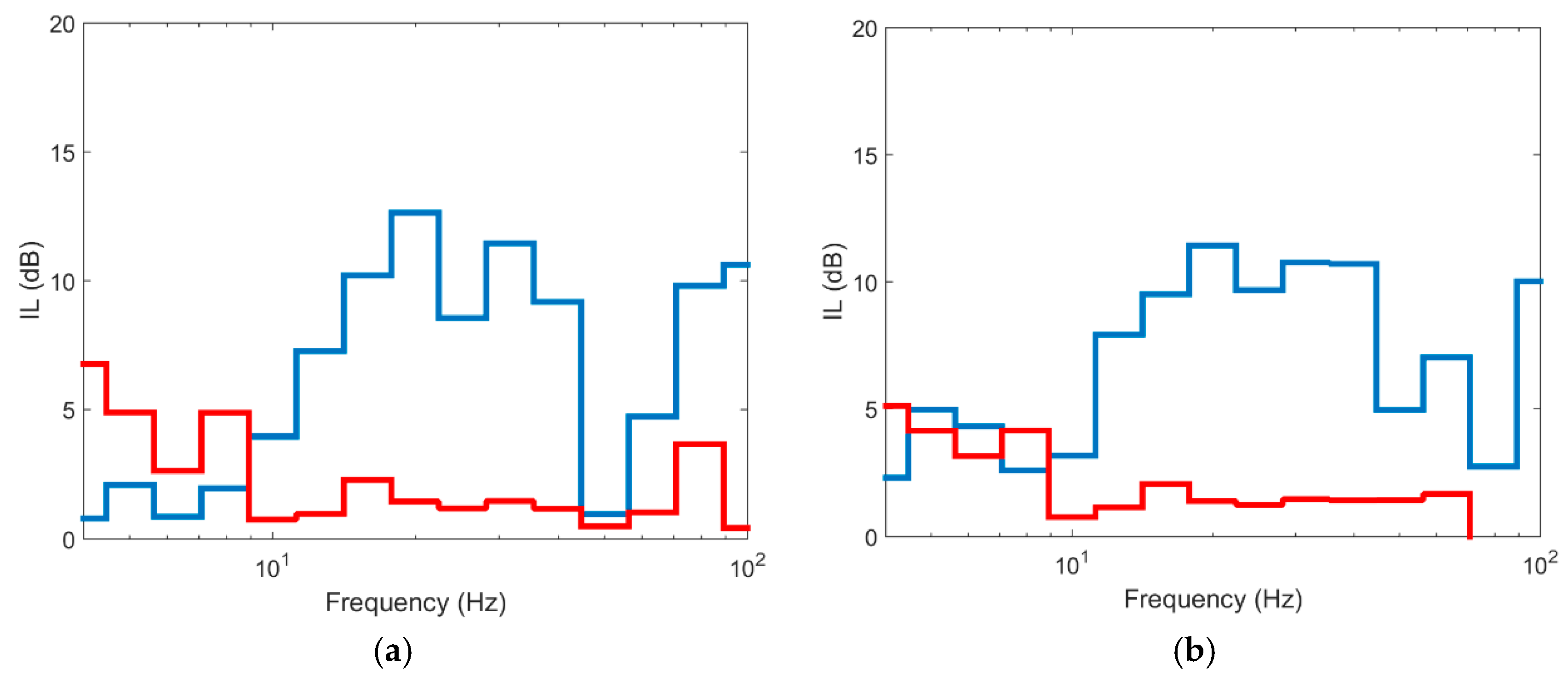
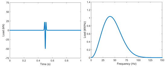
3.2. Vibration Due to Stationary Point Load
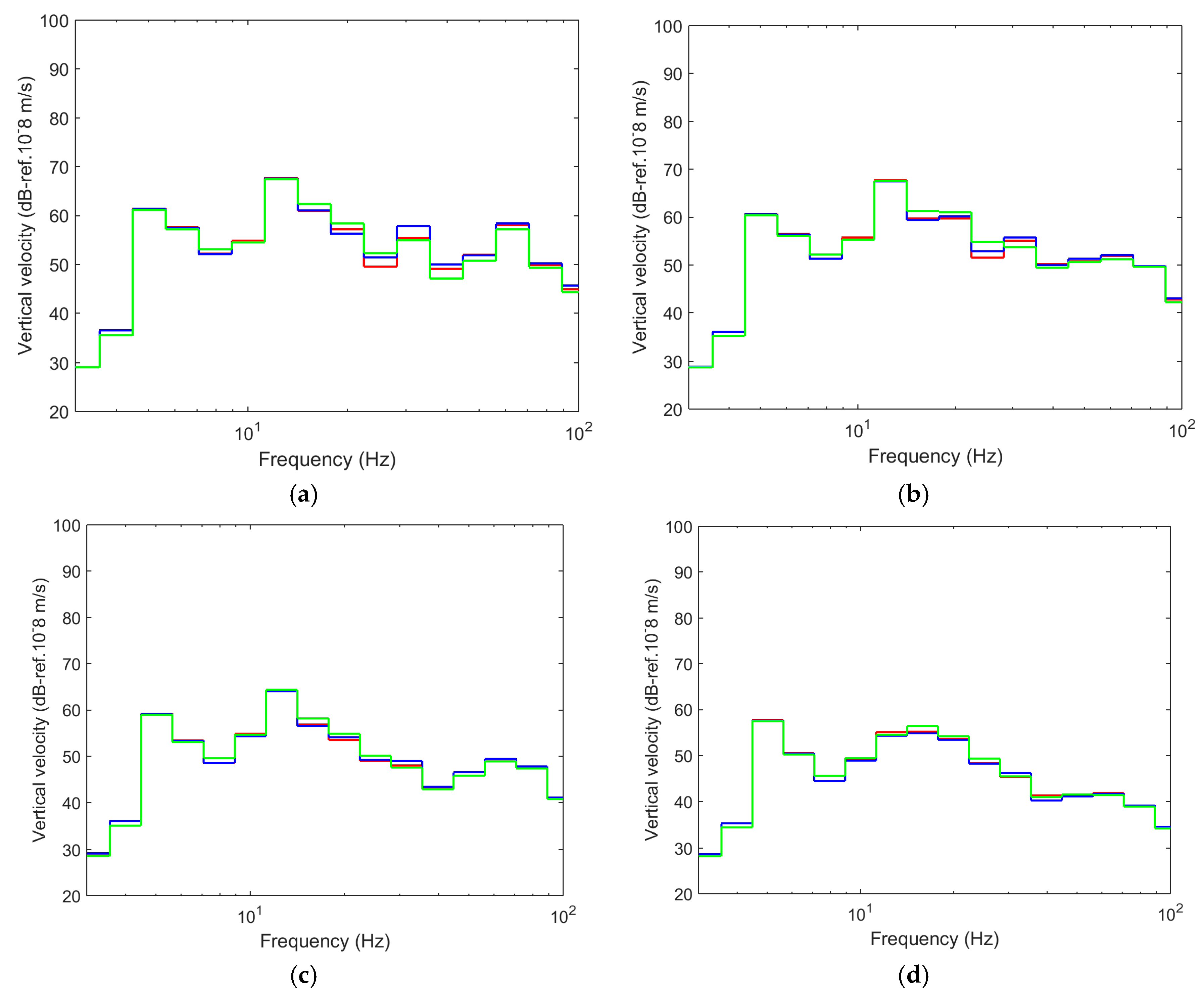
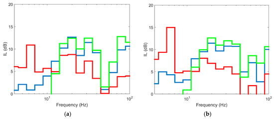
3.2.1. Effect of Pile Length
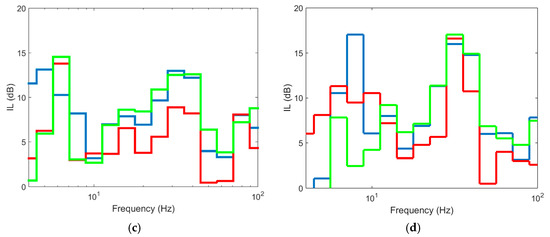
3.2.2. Effect of Pile Spacing
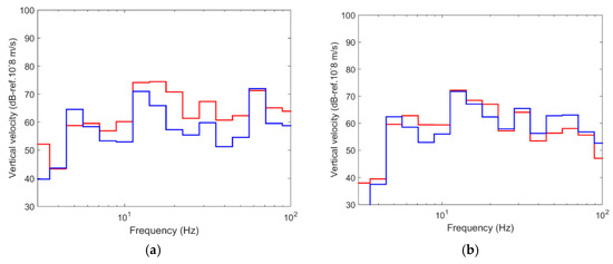
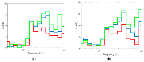
3.3. Vibration Due to a Passing Train
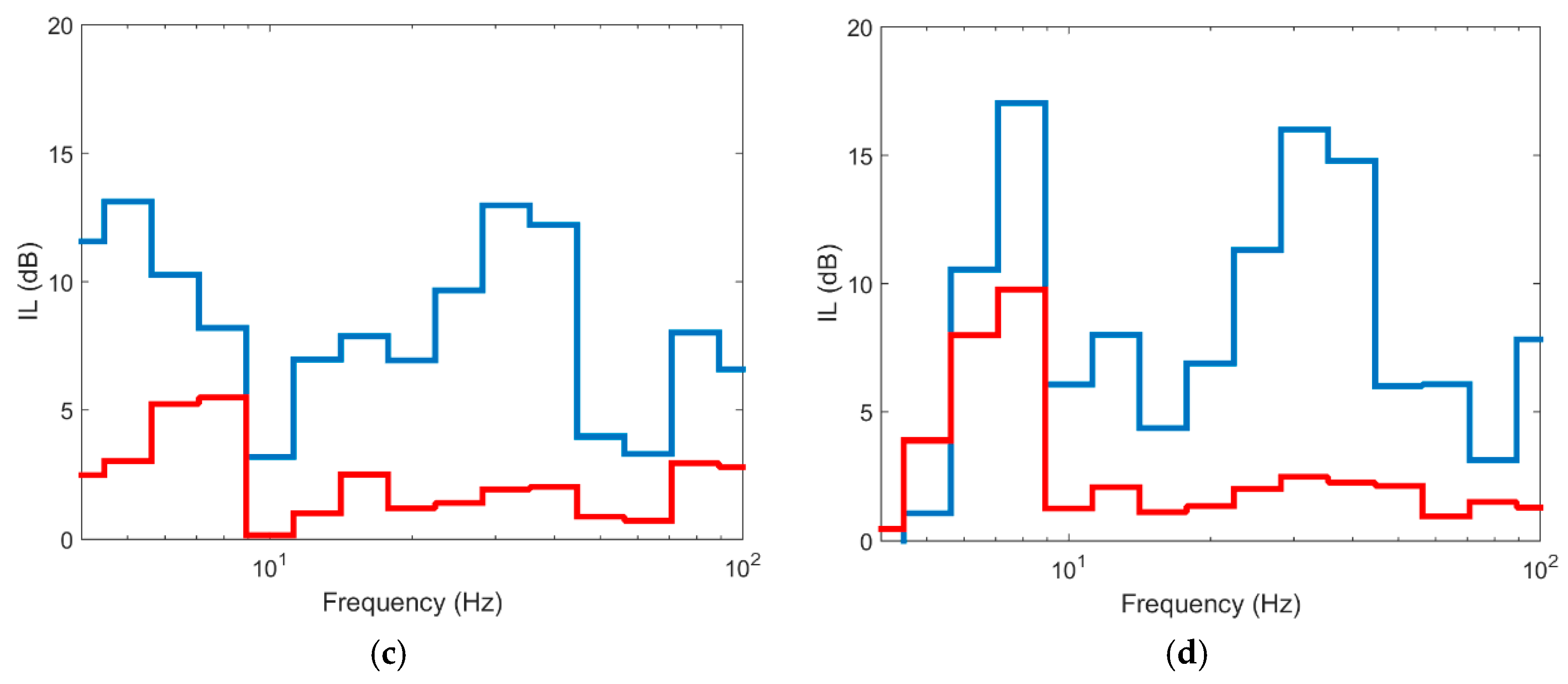
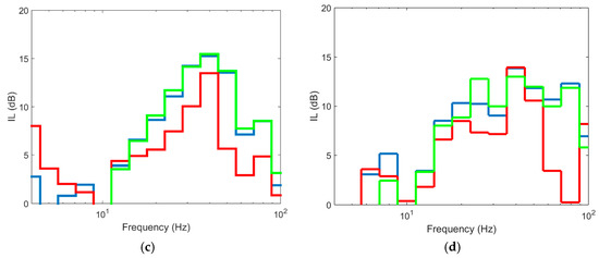
3.4. Influence of the Constitutive Model for TDA Material
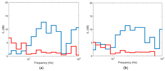
3.5. Comparison with Others Backfill Materials
4. Conclusions
- -
- Pile barriers backfilled with TDA material are an effective measure for the reduction of railway vibrations, with IL values of up to 11 dB and low economic cost and are a very interesting measure in terms of environmental sustainability since the material originates from a highly polluting product that is recycled. The mitigation is caused by the damping of TDA and contrast of stiffness between TDA material and ground.
- -
- TDA pile wave barriers must be tangential in order to be effective since spacing the piles causes efficiency losses and the reduction effect is practically negligible given that the pile alone does not have vibration modes.
- -
- Regarding the effect of the constitutive model of the TDA material on the reduction of vibrations, it has been shown here that there is hardly any effect when the linear elastic model is compared with a hyperbolic model and with an anisotropic model.
- -
- The comparison with other backfills, such as concrete or steel tubular piles, shows that the TDA pile is a less effective measure for vibration reduction, although in terms of economic cost it is a very competitive solution, and it is also a very environmentally friendly solution.
- -
- The depth of the TDA barriers is closely related to the wavelength of the Rayleigh wave in the ground. In this regard, it should be noted that when a stiff soil layer is reached, the effect of lengthening or deepening the barrier under such a layer is very small, although in this sense, there are no general rules and each specific case should be carefully studied.
Author Contributions
Funding
Acknowledgments
Conflicts of Interest
Data Availability Statement
References
- Costa, P.A.; Calçada, R.; Cardoso, A.S. Track–ground vibrations induced by railway traffic: In-situ measurements and validation of a 2.5D FEM-BEM model. Soil Dyn. Earthq. Eng. 2012, 32, 111–128. [Google Scholar] [CrossRef]
- Connolly, D.; Kouroussis, G.; Giannopoulos, A.; Verlinden, O.; Woodward, P.; Forde, M. Assessment of railway vibrations using an efficient scoping model. Soil Dyn. Earthq. Eng. 2014, 58, 37–47. [Google Scholar] [CrossRef]
- Ruiz, J.F.; Costa, P.A.; Calçada, R.; Rodríguez, L.E.M.; Colaço, A. Study of ground vibrations induced by railway traffic in a 3D FEM model formulated in the time domain: Experimental validation. Struct. Infrastruct. Eng. 2016, 13, 652–664. [Google Scholar] [CrossRef]
- Galvín, P.; François, S.; Schevenels, M.; Bongini, E.; Degrande, G.; Lombaert, G. A 2.5D coupled FE-BE model for the prediction of railway induced vibrations. Soil Dyn. Earthq. Eng. 2010, 30, 1500–1512. [Google Scholar] [CrossRef]
- Kouroussis, G.; Van Parys, L.; Conti, C.; Verlinden, O. Using three-dimensional finite element analysis in time domain to model railway-induced ground vibrations. Adv. Eng. Softw. 2014, 70, 63–76. [Google Scholar] [CrossRef]
- Lombaert, G.; Degrande, G.; Kogut, J.; François, S. The experimental validation of a numerical model for the prediction of railway induced vibrations. J. Sound Vib. 2006, 297, 512–535. [Google Scholar] [CrossRef]
- Yaseri, A.; Bazyar, M.; Javady, S. 2.5D coupled FEM-SBFEM analysis of ground vibrations induced by train movement. Soil Dyn. Earthq. Eng. 2018, 104, 307–318. [Google Scholar] [CrossRef]
- Costa, P.A.; Calçada, R.; Cardoso, A.S. Ballast mats for the reduction of railway traffic vibrations. Numerical study. Soil Dyn. Earthq. Eng. 2012, 42, 137–150. [Google Scholar] [CrossRef]
- Coulier, P.; François, S.; Degrande, G.; Lombaert, G. Subgrade stiffening next to the track as a wave impeding barrier for railway induced vibrations. Soil Dyn. Earthq. Eng. 2013, 48, 119–131. [Google Scholar] [CrossRef]
- Thompson, D.; Jiang, J.; Toward, M.; Hussein, M.; Ntotsios, E.; Dijckmans, A.; Coulier, P.; Lombaert, G.; Degrande, G. Reducing railway-induced ground-borne vibration by using open trenches and soft-filled barriers. Soil Dyn. Earthq. Eng. 2016, 88, 45–59. [Google Scholar] [CrossRef]
- Adam, M.; Von Estorff, O. Reduction of train-induced building vibrations by using open and filled trenches. Comput. Struct. 2005, 83, 11–24. [Google Scholar] [CrossRef]
- Barbosa, J.M.D.O.; Costa, P.A.; Calçada, R. Abatement of railway induced vibrations: Numerical comparison of trench solutions. Eng. Anal. Bound. Elements 2015, 55, 122–139. [Google Scholar] [CrossRef]
- Coulier, P.; François, S.; Degrande, G.; Lombaert, G. Mitigation of railway-induced vibrations using stiff wave barriers. In Proceedings of the 6th International Symposium on Environmental Vibration (ISEV2013), Shanghai, China, 8–10 November 2013. [Google Scholar]
- Thompson, D.J.; Jiang, J.; Toward, M.G.R.; Hussein, M.; Dijckmans, A.; Coulier, P.; Degrande, G.; Lombaert, G. Mitigation of railway-induced vibration by using subgrade stiffening. Soil Dyn. Earthq. Eng. 2015, 79, 89–103. [Google Scholar] [CrossRef]
- Yao, J.; Zhao, R.; Zhang, N.; Yang, D. Vibration isolation effect study of in-filled trench barriers to train-induced environmental vibrations. Soil Dyn. Earthq. Eng. 2019, 125, 105741. [Google Scholar] [CrossRef]
- Zoccali, P.; Cantisani, G.; Loprencipe, G. Ground-vibrations induced by trains: Filled trenches mitigation capacity and length influence. Constr. Build. Mater. 2015, 74, 1–8. [Google Scholar] [CrossRef]
- Castanheira-Pinto, A.; Costa, P.A.; Godinho, L.; Amado-Mendes, P. On the application of continuous buried periodic inclusions on the filtering of traffic vibrations: A numerical study. Soil Dyn. Earthq. Eng. 2018, 113, 391–405. [Google Scholar] [CrossRef]
- Kattis, S.; Polyzos, D.; Beskos, D. Modelling of pile wave barriers by effective trenches and their screening effectiveness. Soil Dyn. Earthq. Eng. 1999, 18, 1–10. [Google Scholar] [CrossRef]
- Pu, X.; Shi, Z. Surface-wave attenuation by periodic pile barriers in layered soils. Constr. Build. Mater. 2018, 180, 177–187. [Google Scholar] [CrossRef]
- Pu, X.; Shi, Z. Periodic pile barriers for Rayleigh wave isolation in a poroelastic half-space. Soil Dyn. Earthq. Eng. 2019, 121, 75–86. [Google Scholar] [CrossRef]
- Pu, X.; Meng, Q.; Shi, Z. Experimental studies on surface-wave isolation by periodic wave barriers. Soil Dyn. Earthq. Eng. 2020, 130, 106000. [Google Scholar] [CrossRef]
- Meng, L.; Cheng, Z.; Shi, Z. Vibration mitigation in saturated soil by periodic pile barriers. Comput. Geotech. 2020, 117, 103251. [Google Scholar] [CrossRef]
- Huang, J.; Shi, Z. Attenuation zones of periodic pile barriers and its application in vibration reduction for plane waves. J. Sound Vib. 2013, 332, 4423–4439. [Google Scholar] [CrossRef]
- Liao, S.; Sangrey, D.A. Use of piles as isolation barriers. Int. J. Rock Mech. Min. Sci. Geomech. Abstr. 1979, 16, 39. [Google Scholar] [CrossRef]
- Avilés, J.; Sanchez-Sesma, F.J. Piles as Barriers for Elastic Waves. J. Geotech. Eng. 1983, 109, 1133–1146. [Google Scholar] [CrossRef]
- Tsai, P.-H.; Feng, Z.-Y.; Jen, T.-L. Three-dimensional analysis of the screening effectiveness of hollow pile barriers for foundation-induced vertical vibration. Comput. Geotech. 2008, 35, 489–499. [Google Scholar] [CrossRef]
- Gao, G.; Li, Z.; Qiu, C.; Yue, Z. Three-dimensional analysis of rows of piles as passive barriers for ground vibration isolation. Soil Dyn. Earthq. Eng. 2006, 26, 1015–1027. [Google Scholar] [CrossRef]
- Xia, T.-D.; Sun, M.-M.; Chen, C.; Chen, W.-Y.; Ping, X. Analysis on multiple scattering by an arbitrary configuration of piles as barriers for vibration isolation. Soil Dyn. Earthq. Eng. 2011, 31, 535–545. [Google Scholar] [CrossRef]
- Cai, Y.-Q.; Ding, G.-Y.; Xu, C. Amplitude reduction of elastic waves by a row of piles in poroelastic soil. Comput. Geotech. 2009, 36, 463–473. [Google Scholar] [CrossRef]
- Xu, B.; Lu, J.-F.; Wang, J.-H. Numerical analysis of the isolation of the vibration due to Rayleigh waves by using pile rows in the poroelastic medium. Arch. Appl. Mech. 2009, 80, 123–142. [Google Scholar] [CrossRef]
- Álamo, G.; Bordón, J.; Aznárez, J.; Lombaert, G. The effectiveness of a pile barrier for vibration transmission in a soil stratum over a rigid bedrock. Comput. Geotech. 2019, 110, 274–286. [Google Scholar] [CrossRef]
- Talbot, J.P. Base-isolated buildings: Towards performance-based design. Proc. Inst. Civ. Eng. Struct. Build. 2016, 169, 574–582. [Google Scholar] [CrossRef]
- Rodríguez, L.M.; Arroyo, M.; Cano, M.M.; Medina, L.; Martín, M. Use of tire-derived aggregate in tunnel cut-and-cover. Can. Geotech. J. 2018, 55, 968–978. [Google Scholar] [CrossRef]
- Arroyo, M.; Martín, I.S.; Olivella, S.; Saaltink, M.W. Evaluation of self-combustion risk in tire derived aggregate fills. Waste Manag. 2011, 31, 2133–2141. [Google Scholar] [CrossRef] [PubMed]
- Brunet, S.; De La Llera, J.C.; Kausel, E. Non-linear modeling of seismic isolation systems made of recycled tire-rubber. Soil Dyn. Earthq. Eng. 2016, 85, 134–145. [Google Scholar] [CrossRef]
- Romero, E.; Sanmartín, I.; Arroyo, M.; LLoret, A. Precise hydraulic conductivity measurements on tire derived aggregate. In Proceedings of the 4th European Geosyinthetics Conference, Edinburgh, UK, 7–10 September 2008; International Geosynthetics Society: Austin, TX, USA, 2008; p. 283. [Google Scholar]
- Fernández, P.M.; Signes, C.H.; Villalba-Sanchis, I.; Mira, D.P.; Franco, R.I. Real scale evaluation of vibration mitigation of sub-ballast layers with added tyre-derived aggregate. Constr. Build. Mater. 2018, 169, 335–346. [Google Scholar] [CrossRef]
- Esmaeili, M.; Rezaei, N. In situimpact testing of a light-rail ballasted track with tyre-derived aggregate subballast layer. Int. J. Pavement Eng. 2015, 17, 176–188. [Google Scholar] [CrossRef]
- Cho, S.D.; Kim, J.M.; Kim, J.H.; Lee, K.W. Utilization of waste tires to reduce railroad vibration. Mater. Sci. Forum 2007, 544, 637–640. [Google Scholar] [CrossRef]
- Fathali, M.; Nejad, F.M.; Esmaeili, M. Influence of Tire-Derived Aggregates on the Properties of Railway Ballast Material. J. Mater. Civ. Eng. 2017, 29, 04016177. [Google Scholar] [CrossRef]
- Sol-Sánchez, M.; Thom, N.; Moreno-Navarro, F.; Rubio-Gámez, M.; Airey, G. A study into the use of crumb rubber in railway ballast. Constr. Build. Mater. 2015, 75, 19–24. [Google Scholar] [CrossRef]
- Indraratna, B.; Sun, Q.; Grant, J. Behaviour of subballast reinforced with used tyre and potential application in rail tracks. Transp. Geotech. 2017, 12, 26–36. [Google Scholar] [CrossRef]
- Signes, C.H.; Fernández, P.M.; Perallón, E.M.; Franco, R.I. Analysis of the vibration alleviation of a new railway sub-ballast layer with waste tyre rubber. Mater. Struct. 2016, 50, 102. [Google Scholar] [CrossRef]
- Gou, H.; Yang, L.; Mo, Z.; Guo, W.; Shi, X.; Bao, Y. Effect of Long-Term Bridge Deformations on Safe Operation of High-Speed Railway and Vibration of Vehicle–Bridge Coupled System. Int. J. Struct. Stab. Dyn. 2019, 19, 1950111. [Google Scholar] [CrossRef]
- Gupta, S.; Degrande, G.; Lombaert, G. Experimental validation of a numerical model for subway induced vibrations. J. Sound Vib. 2009, 321, 786–812. [Google Scholar] [CrossRef]
- Dos Santos, N.C.; Colaço, A.; Costa, P.A.; Calçada, R. Experimental analysis of track-ground vibrations on a stretch of the Portuguese railway network. Soil Dyn. Earthq. Eng. 2016, 90, 358–380. [Google Scholar] [CrossRef]
- Lopes, P.; Ruiz, J.F.; Costa, P.A.; Rodríguez, L.M.; Cardoso, A.S. Vibrations inside buildings due to subway railway traffic. Experimental validation of a comprehensive prediction model. Sci. Total. Environ. 2016, 568, 1333–1343. [Google Scholar] [CrossRef]
- Itasca Consulting Group Inc. User’s Manual; Itasca Consulting Group Incorporated: Minneapolis: Minneapolis, MN, USA, 2019. [Google Scholar]
- Lysmer, J.; Kuhlmeyer, R.L. Finite dynamic model for infinite media. J. Eng. Mech. 1969, 95, 859–877. [Google Scholar]
- Yi, Y.; Meles, D.; Nassiri, S.; Bayat, A. On the compressibility of tire-derived aggregate: Comparison of results from laboratory and field tests. Can. Geotech. J. 2015, 52, 442–458. [Google Scholar] [CrossRef]
- Dos Santos, N.C.; Barbosa, J.; Calçada, R.; Delgado, R. Track-ground vibrations induced by railway traffic: Experimental validation of a 3D numerical model. Soil Dyn. Earthq. Eng. 2017, 97, 324–344. [Google Scholar] [CrossRef]
- Hunt, H.; Hussein, M. Vibration from railways: Can we achieve better than +/- 10 dB prediction accuracy? In ICSV14-14th International Congress on Sound and Vibration; International Institute of Acoustics and Vibration (IIAV): Cairns, Australia, 2007. [Google Scholar]
- Jones, S.; Kuo, K.A.; Hussein, M.; Hunt, H. Prediction uncertainties and inaccuracies resulting from common assumptions in modelling vibration from underground railways. Proc. Inst. Mech. Eng. Part F: J. Rail Rapid Transit 2012, 226, 501–512. [Google Scholar] [CrossRef]
- Jeremić, B.; Putnam, J.; Sett, K.; Humphrey, D.; Patenaude, S. Calibration of Elastic-Plastic Material Model for Tire Shreds. Geotech. Eng. Transp. Proj. 2004, 10, 760–767. [Google Scholar] [CrossRef]
- Meles, D.; Chan, D.H.; Yi, Y.; Bayat, A. Finite-Element Analysis of Highway Embankment Made from Tire-Derived Aggregate. J. Mater. Civ. Eng. 2016, 28, 04015100. [Google Scholar] [CrossRef]

























| Thickness (m) | ρ (kg/m3) | E (kN/m2) | ν | ξ (%) | Rayleigh Coefficients | ||
|---|---|---|---|---|---|---|---|
| α (s−1) | β (s) | ||||||
| Soil layer 1 | 1.5 | 1900 | 110.8 × 103 | 0.48 | 3 | 5.65 | 0.000159 |
| Soil layer 2 | 1.0 | 1900 | 95.8 × 103 | 0.49 | 3 | 5.65 | 0.000159 |
| Soil layer 3 | 1.0 | 1900 | 163.7 × 103 | 0.49 | 3 | 5.65 | 0.000159 |
| Soil layer 4 | 1.0 | 1900 | 119.5 × 103 | 0.49 | 3 | 5.65 | 0.000159 |
| Soil layer 5 | 1.0 | 1900 | 145.4 × 103 | 0.49 | 3 | 5.65 | 0.000159 |
| Soil layer 6 | 1.0 | 1900 | 226.6 × 103 | 0.49 | 3 | 5.65 | 0.000159 |
| Soil layer 7 | 5.5 | 1900 | 339.0 × 103 | 0.48 | 3 | 5.65 | 0.000159 |
| Soil layer 8 | 18.0 | 1900 | 539.6 × 103 | 0.47 | 3 | 5.65 | 0.000159 |
| Thickness (m) | ρ (kg/m3) | E (kN/m2) | ν | ξ (%) | Rayleigh Coefficients | ||
|---|---|---|---|---|---|---|---|
| α (s−1) | β (s) | ||||||
| Sleeper | 0.22 | 2500 | 30 × 106 | 0.20 | 1 | 1.88 | 0.000053 |
| Ballast | 0.35 | 1600 | 97 × 103 | 0.12 | 6 | 11.30 | 0.000318 |
| Sub-ballast | 0.55 | 1900 | 212 × 103 | 0.20 | 4 | 7.53 | 0.000212 |
| Tyre-Derived Aggregate | ρ (kg/m3) | E (kN/m2) | ν | ξ (%) | Rayleigh Coefficients | |
|---|---|---|---|---|---|---|
| α (s−1) | β (s) | |||||
| 640 | 630 | 0.20 | 20 | 37.68 | 0.00106 | |
| Maximum Size (mm) | Percentage Passing (%) |
|---|---|
| 450 | 100 |
| 300 | 90 |
| 200 | 75 |
| 75 | 50 |
| 38 | 25 |
| 4.75 | 1 |
| Model | γ (kN/m3) | E (kPa) | ν | a | b | E11 (kPa) | E33 (kPa) | ν12 (=ν31) | ν13 |
|---|---|---|---|---|---|---|---|---|---|
| Linear isotropic | 6.4 | 630 | 0.20 | ----- | ----- | ----- | ----- | ----- | ----- |
| Nonlinear isotropic | 6.4 | ----- | 0.20 | 248 | 2.65 | ----- | ----- | ----- | ----- |
| Linear anisotropic | 6.4 | ----- | ----- | ----- | ----- | 946 | 630 | 0.11 | 0.37 |
Publisher’s Note: MDPI stays neutral with regard to jurisdictional claims in published maps and institutional affiliations. |
© 2020 by the authors. Licensee MDPI, Basel, Switzerland. This article is an open access article distributed under the terms and conditions of the Creative Commons Attribution (CC BY) license (http://creativecommons.org/licenses/by/4.0/).
Share and Cite
Fernández-Ruiz, J.; Medina Rodríguez, L.E.; Costa, P.A. Use of Tyre-Derived Aggregate as Backfill Material for Wave Barriers to Mitigate Railway-Induced Ground Vibrations. Int. J. Environ. Res. Public Health 2020, 17, 9191. https://doi.org/10.3390/ijerph17249191
Fernández-Ruiz J, Medina Rodríguez LE, Costa PA. Use of Tyre-Derived Aggregate as Backfill Material for Wave Barriers to Mitigate Railway-Induced Ground Vibrations. International Journal of Environmental Research and Public Health. 2020; 17(24):9191. https://doi.org/10.3390/ijerph17249191
Chicago/Turabian StyleFernández-Ruiz, Jesús, Luis E. Medina Rodríguez, and Pedro Alves Costa. 2020. "Use of Tyre-Derived Aggregate as Backfill Material for Wave Barriers to Mitigate Railway-Induced Ground Vibrations" International Journal of Environmental Research and Public Health 17, no. 24: 9191. https://doi.org/10.3390/ijerph17249191
APA StyleFernández-Ruiz, J., Medina Rodríguez, L. E., & Costa, P. A. (2020). Use of Tyre-Derived Aggregate as Backfill Material for Wave Barriers to Mitigate Railway-Induced Ground Vibrations. International Journal of Environmental Research and Public Health, 17(24), 9191. https://doi.org/10.3390/ijerph17249191

