Sign in to use this feature.

Years

Between: -

Subjects

remove_circle_outline
remove_circle_outline
remove_circle_outline
remove_circle_outline
remove_circle_outline

Journals

Article Types

Countries / Regions

Search Results (7)

Search Parameters:
Keywords = single pixel ensemble correlation

Order results
Result details
Results per page
Select all
Export citation of selected articles as:
38 pages, 7210 KB  
Article
Vision–Geometry Fusion for Measuring Pupillary Height and Interpupillary Distance via RC-BlendMask and Ensemble Regression Trees
by Shishuo Han, Zihan Yang and Huiyu Xiang
Appl. Syst. Innov. 2025, 8(6), 181; https://doi.org/10.3390/asi8060181 - 27 Nov 2025
Viewed by 798
Abstract
This study proposes an automated, visual–geometric fusion method for measuring pupillary height (PH) and interpupillary distance (PD), aiming to replace manual measurements while balancing accuracy, efficiency, and cost accessibility. To this end, a two-layer Ensemble of Regression Tree (ERT) is used to coarsely [...] Read more.
This study proposes an automated, visual–geometric fusion method for measuring pupillary height (PH) and interpupillary distance (PD), aiming to replace manual measurements while balancing accuracy, efficiency, and cost accessibility. To this end, a two-layer Ensemble of Regression Tree (ERT) is used to coarsely localize facial landmarks and the pupil center, which is then refined via direction-aware ray casting and edge-side-stratified RANSAC followed by least-squares fitting; in parallel, an RC-BlendMask instance-segmentation module extracts the lowest rim point of the spectacle lens. Head pose and lens-plane depth are estimated with the Perspective-n-Point (PnP) algorithm to enable pixel-to-millimeter calibration and pose gating, thereby achieving 3D quantification of PH/PD under a single-camera setup. In a comparative study with 30 participants against the Zeiss i.Terminal2, the proposed method achieved mean absolute errors of 1.13 mm (PD), 0.73 mm (PH-L), and 0.89 mm (PH-R); Pearson correlation coefficients were r = 0.944 (PD), 0.964 (PH-L), and 0.916 (PH-R), and Bland–Altman 95% limits of agreement were −2.00 to 2.70 mm (PD), −0.84 to 1.76 mm (PH-L), and −1.85 to 1.79 mm (PH-R). Lens segmentation performance reached a Precision of 97.5% and a Recall of 93.8%, supporting robust PH extraction. Overall, the proposed approach delivers measurement agreement comparable to high-end commercial devices on low-cost hardware, satisfies ANSI Z80.1/ISO 21987 clinical tolerances for decentration and prism error, and is suitable for both in-store dispensing and tele-dispensing scenarios. Full article
Show Figures

Figure 1

31 pages, 15830 KB  
Article
Spatio-Temporal Gap Filling of Sentinel-2 NDI45 Data Using a Variance-Weighted Kalman Filter and LSTM Ensemble
by Ionel Haidu, Zsolt Magyari-Sáska and Attila Magyari-Sáska
Sensors 2025, 25(17), 5299; https://doi.org/10.3390/s25175299 - 26 Aug 2025
Viewed by 1703
Abstract
This study aims to reconstruct NDI45 missing values due to cloud cover while outlining the importance of vegetation health for the climate–carbon cycle and the benefits of the NDI45 index for high canopy area indices. The methods include a novel hybrid framework that [...] Read more.
This study aims to reconstruct NDI45 missing values due to cloud cover while outlining the importance of vegetation health for the climate–carbon cycle and the benefits of the NDI45 index for high canopy area indices. The methods include a novel hybrid framework that combines a deterministic Kalman filter (KF) and a clustering-based LSTM network to generate gap-free NDI45 series with 20 m spatial and 5-day temporal resolution. The innovation of the applied method relies on achieving a single-sensor workflow, provides a pixel-level uncertainty map, and minimizes LSTM overfitting through clustering based on a correlation threshold. In the northern Pampas (South America), this hybrid approach reduces the MAE by 22–35% on average and narrows the 95% confidence interval by 25–40% compared to the Kalman filter or LSTM alone. The three-dimensional spatio-temporal analysis demonstrates that the KF–LSTM hybrid provides better spatial homogeneity and reliability across the entire study area. The proposed framework can generate gap-free, high-resolution NDI45 time series with quantified uncertainties, enabling more reliable detection of vegetation stress, yield fluctuations, and long-term resilience trends. These capabilities make the method directly applicable to operational drought monitoring, crop insurance modeling, and climate risk assessment in agricultural systems, particularly in regions prone to frequent cloud cover. The framework can be further extended by including radar backscatter and multi-model ensembles, thus providing a promising basis for the reconstruction of global, high-resolution vegetation time series. Full article
(This article belongs to the Special Issue Remote Sensing, Geophysics and GIS)
Show Figures

Figure 1

22 pages, 3529 KB  
Article
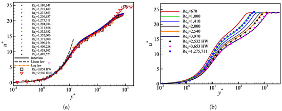
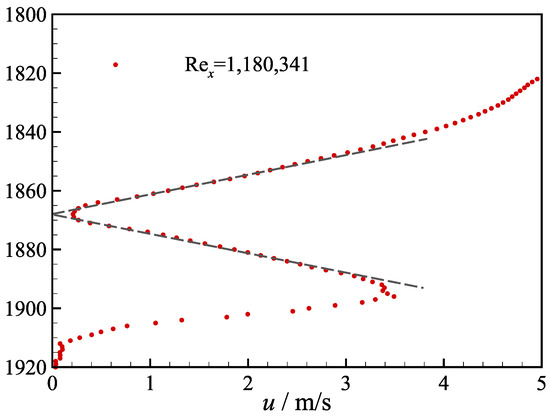
Accurate Method for Estimating Wall-Friction Based on Analytical Wall-Law Model
by Lei Zhou, Duo Wang, Bochao Cao and Hongyi Xu
Aerospace 2024, 11(7), 544; https://doi.org/10.3390/aerospace11070544 - 2 Jul 2024
Cited by 2 | Viewed by 1637
Abstract
A novel method is proposed for accurately determining the local wall friction through the near-wall measurement of time-average velocity profile in a Type-A turbulent boundary layer (TBL). The method is based on the newly established analytical wall-law in Type-A TBL. The direct numerical [...] Read more.
A novel method is proposed for accurately determining the local wall friction through the near-wall measurement of time-average velocity profile in a Type-A turbulent boundary layer (TBL). The method is based on the newly established analytical wall-law in Type-A TBL. The direct numerical simulations (DNS) data of turbulence on a zero-pressure-gradient flat-plate (ZPGFP) is used to demonstrate the accuracy and the robustness of the approach. To verify the reliability and applicability of the method, a two-dimensional particle image velocimetry (PIV) measurement was performed in a ZPGFP TBL with a low-to-moderate Reynolds number (Re). Via utilizing the algorithm of single-pixel ensemble correlation (SPEC), the velocity profiles in the ZPGFP TBL were resolved at a significantly improved spatial resolution, which greatly enhanced the measurement accuracy and permitted us to accurately capture the near-wall velocity information. The accuracy of the approach is then quantitatively validated for the high Reynolds number turbulence using the ZPGFP TBL data. The research demonstrates that the current method can provide the precise estimation of wall friction with a mean error of less than 2%, which not only possesses the advantage of its insensitivity to the absolute wall-normal distance of the measuring point, but also its capability of providing an accurate prediction of wall shear stress based on fairly sparse experimental data on the velocity profile. The current study demonstrates that the wall shear stress can be accurately estimated by a velocity even at a single-point either measured or calculated in the near-wall region. Full article
Show Figures

Figure 1

27 pages, 12499 KB  
Article
Incorporating Multi-Temporal Remote Sensing and a Pixel-Based Deep Learning Classification Algorithm to Map Multiple-Crop Cultivated Areas
by Xue Wang, Jiahua Zhang, Xiaopeng Wang, Zhenjiang Wu and Foyez Ahmed Prodhan
Appl. Sci. 2024, 14(9), 3545; https://doi.org/10.3390/app14093545 - 23 Apr 2024
Cited by 7 | Viewed by 2518
Abstract
The accurate monitoring of crop areas is essential for food security and agriculture, but accurately extracting multiple-crop distribution over large areas remains challenging. To solve the above issue, in this study, the Pixel-based One-dimensional convolutional neural network (PB-Conv1D) and Pixel-based Bi-directional Long Short-Term [...] Read more.
The accurate monitoring of crop areas is essential for food security and agriculture, but accurately extracting multiple-crop distribution over large areas remains challenging. To solve the above issue, in this study, the Pixel-based One-dimensional convolutional neural network (PB-Conv1D) and Pixel-based Bi-directional Long Short-Term Memory (PB-BiLSTM) were proposed to identify multiple-crop cultivated areas using time-series NaE (a combination of NDVI and EVI) as input for generating a baseline classification. Two approaches, Snapshot and Stochastic weighted averaging (SWA), were used in the base-model to minimize the loss function and improve model accuracy. Using an ensemble algorithm consisting of five PB-Conv1D and seven PB-BiLSTM models, the temporal vegetation index information in the base-model was comprehensively exploited for multiple-crop classification and produced the Pixel-Based Conv1D and BiLSTM Ensemble model (PB-CB), and this was compared with the PB-Transformer model to validate the effectiveness of the proposed method. The multiple-crop cultivated area was extracted from 2005, 2010, 2015, and 2020 in North China by using the PB-Conv1D combine Snapshot (PB-CDST) and PB-CB models, which are a performance-optimized single model and an integrated model, respectively. The results showed that the mapping results of the multiple-crop cultivated area derived by PB-CDST (OA: 81.36%) and PB-BiLSTM combined with Snapshot (PB-BMST) (OA: 79.40%) showed exceptional accuracy compared to PB-Transformer combined with Snapshot and SWA (PB-TRSTSA) (OA: 77.91%). Meanwhile, the PB-CB (OA: 83.43%) had the most accuracy compared to the pixel-based single algorithm. The MODIS-derived PB-CB method accurately identified multiple-crop areas for wheat, corn, and rice, showing a strong correlation with statistical data, exceeding 0.7 at the municipal level and 0.6 at the county level. Full article
(This article belongs to the Special Issue Recent Advances in Precision Farming and Digital Agriculture)
Show Figures

Figure 1

14 pages, 2695 KB  
Article
Data Assimilation of Ideally Expanded Supersonic Jet Using RANS Simulation for High-Resolution PIV Data
by Yuta Ozawa and Taku Nonomura
Aerospace 2024, 11(4), 291; https://doi.org/10.3390/aerospace11040291 - 9 Apr 2024
Cited by 6 | Viewed by 2094
Abstract
Data assimilation using particle image velocimetry (PIV) and Reynolds-averaged Navier–Stokes (RANS) simulation was performed for an ideally expanded supersonic jet flying at a Mach number of 2.0. The present study aims to efficiently reconstruct all the physical quantities in the aeroacoustic fields that [...] Read more.
Data assimilation using particle image velocimetry (PIV) and Reynolds-averaged Navier–Stokes (RANS) simulation was performed for an ideally expanded supersonic jet flying at a Mach number of 2.0. The present study aims to efficiently reconstruct all the physical quantities in the aeroacoustic fields that match well with a realistic, experimentally obtained flow field. The two-dimensional, two-component PIV measurement was applied to the jet axis plane, and the time-averaged velocity field was obtained using single-pixel ensemble correlation. Two-dimensional axisymmetric RANS simulation using the Menter shear stress transport (SST) model was also performed, and the parameters of the SST model were optimized via data assimilation using the ensemble Kalman filter. The standard deviation of the observation noise σ, which is a parameter of the ensemble Kalman filter, is estimated by the previously proposed method (Nakamura et al., Low-Grid-Resolution-RANS-Based Data Assimilation of Time-Averaged Separated Flow Obtained by LES. Int. J. Comp. Fluid. Dyn., 2022), and its effectiveness was investigated for the first time. This method effectively estimated the magnitude of σ at each generation without tuning the hyperparameters. The assimilated flow fields exhibited similar flow structures observed in PIV such as the potential core length or shear layer. Therefore, the present framework can be used to estimate time-averaged full flow fields that match well with experimentally observed flow fields, and has the potential to construct a database for the Navier-Stokes-based stability analysis that requires a full flow field. Full article
(This article belongs to the Special Issue Jet Flows)
Show Figures

Figure 1

16 pages, 2249 KB  
Article
Monitoring Soil Salinity Classes through Remote Sensing-Based Ensemble Learning Concept: Considering Scale Effects
by Huifang Chen, Jingwei Wu and Chi Xu
Remote Sens. 2024, 16(4), 642; https://doi.org/10.3390/rs16040642 - 9 Feb 2024
Cited by 8 | Viewed by 4298
Abstract
Remote sensing (RS) technology can rapidly obtain spatial distribution information on soil salinization. However, (1) the scale effects resulting from the mismatch between ground-based “point” salinity data and remote sensing pixel-based “spatial” data often limit the accuracy of remote sensing monitoring of soil [...] Read more.
Remote sensing (RS) technology can rapidly obtain spatial distribution information on soil salinization. However, (1) the scale effects resulting from the mismatch between ground-based “point” salinity data and remote sensing pixel-based “spatial” data often limit the accuracy of remote sensing monitoring of soil salinity, and (2) the same salinity RS monitoring model usually provides inconsistent or sometimes conflicting explanations for different data. Therefore, based on Landsat 8 imagery and synchronously collected ground-sampling data of two typical study regions (denoted as N and S, respectively) of the Yichang Irrigation Area in the Hetao Irrigation District for May 2013, this study used geostatistical methods to obtain “relative truth values” of salinity corresponding to the Landsat 8 pixel scale. Additionally, based on Landsat 8 multispectral data, 14 salinity indices were constructed. Subsequently, the Correlation-based Feature Selection (CFS) method was used to select sensitive features, and a strategy similar to the concept of ensemble learning (EL) was adopted to integrate the single-feature-sensitive Bayesian classification (BC) model in order to construct an RS monitoring model for soil salinization (Nonsaline, Slightly saline, Moderately saline, Strongly saline, and Solonchak). The research results indicated that (1) soil salinity exhibits moderate to strong variability within a 30 m scale, and the spatial heterogeneity of soil salinity needs to be considered when developing remote sensing models; (2) the theoretical models of salinity variance functions in the N and S regions conform to the exponential model and the spherical model, with R2 values of 0.817 and 0.967, respectively, indicating a good fit for the variance characteristics of salinity and suitability for Kriging interpolation; and (3) compared to a single-feature BC model, the soil salinization identification model constructed using the concept of EL demonstrated better potential for robustness and effectiveness. Full article
Show Figures

Figure 1

25 pages, 8268 KB  
Article
Using Sentinel-2-Based Metrics to Characterize the Spatial Heterogeneity of FLEX Sun-Induced Chlorophyll Fluorescence on Sub-Pixel Scale
by Nela Jantol, Egor Prikaziuk, Marco Celesti, Itza Hernandez-Sequeira, Enrico Tomelleri, Javier Pacheco-Labrador, Shari Van Wittenberghe, Filiberto Pla, Subhajit Bandopadhyay, Gerbrand Koren, Bastian Siegmann, Tarzan Legović, Hrvoje Kutnjak and M. Pilar Cendrero-Mateo
Remote Sens. 2023, 15(19), 4835; https://doi.org/10.3390/rs15194835 - 5 Oct 2023
Cited by 4 | Viewed by 3969
Abstract
Current and upcoming Sun-Induced chlorophyll Fluorescence (SIF) satellite products (e.g., GOME, TROPOMI, OCO, FLEX) have medium-to-coarse spatial resolutions (i.e., 0.3–80 km) and integrate radiances from different sources into a single ground surface unit (i.e., pixel). However, intrapixel heterogeneity, i.e., different soil and vegetation [...] Read more.
Current and upcoming Sun-Induced chlorophyll Fluorescence (SIF) satellite products (e.g., GOME, TROPOMI, OCO, FLEX) have medium-to-coarse spatial resolutions (i.e., 0.3–80 km) and integrate radiances from different sources into a single ground surface unit (i.e., pixel). However, intrapixel heterogeneity, i.e., different soil and vegetation fractional cover and/or different chlorophyll content or vegetation structure in a fluorescence pixel, increases the challenge in retrieving and quantifying SIF. High spatial resolution Sentinel-2 (S2) data (20 m) can be used to better characterize the intrapixel heterogeneity of SIF and potentially extend the application of satellite-derived SIF to heterogeneous areas. In the context of the COST Action Optical synergies for spatiotemporal SENsing of Scalable ECOphysiological traits (SENSECO), in which this study was conducted, we proposed direct (i.e., spatial heterogeneity coefficient, standard deviation, normalized entropy, ensemble decision trees) and patch mosaic (i.e., local Moran’s I) approaches to characterize the spatial heterogeneity of SIF collected at 760 and 687 nm (SIF760 and SIF687, respectively) and to correlate it with the spatial heterogeneity of selected S2 derivatives. We used HyPlant airborne imagery acquired over an agricultural area in Braccagni (Italy) to emulate S2-like top-of-the-canopy reflectance and SIF imagery at different spatial resolutions (i.e., 300, 20, and 5 m). The ensemble decision trees method characterized FLEX intrapixel heterogeneity best (R2 > 0.9 for all predictors with respect to SIF760 and SIF687). Nevertheless, the standard deviation and spatial heterogeneity coefficient using k-means clustering scene classification also provided acceptable results. In particular, the near-infrared reflectance of terrestrial vegetation (NIRv) index accounted for most of the spatial heterogeneity of SIF760 in all applied methods (R2 = 0.76 with the standard deviation method; R2 = 0.63 with the spatial heterogeneity coefficient method using a scene classification map with 15 classes). The models developed for SIF687 did not perform as well as those for SIF760, possibly due to the uncertainties in fluorescence retrieval at 687 nm and the low signal-to-noise ratio in the red spectral region. Our study shows the potential of the proposed methods to be implemented as part of the FLEX ground segment processing chain to quantify the intrapixel heterogeneity of a FLEX pixel and/or as a quality flag to determine the reliability of the retrieved fluorescence. Full article
Show Figures

Figure 1

Back to TopTop