Sign in to use this feature.

Years

Between: -

Subjects

remove_circle_outline
remove_circle_outline
remove_circle_outline
remove_circle_outline
remove_circle_outline
remove_circle_outline
remove_circle_outline
remove_circle_outline
remove_circle_outline

Journals

remove_circle_outline
remove_circle_outline
remove_circle_outline
remove_circle_outline
remove_circle_outline
remove_circle_outline
remove_circle_outline
remove_circle_outline
remove_circle_outline
remove_circle_outline
remove_circle_outline
remove_circle_outline
remove_circle_outline
remove_circle_outline

Article Types

Countries / Regions

remove_circle_outline
remove_circle_outline
remove_circle_outline
remove_circle_outline
remove_circle_outline
remove_circle_outline

Search Results (2,137)

Search Parameters:
Keywords = simultaneous tasks

Order results
Result details
Results per page
Select all
Export citation of selected articles as:
23 pages, 6319 KB  
Article
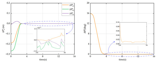
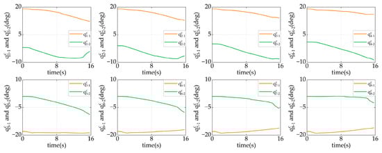
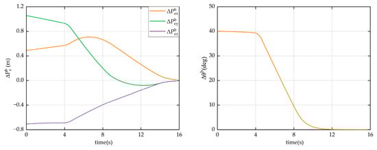
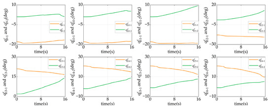
Coordinated Trajectory Planning of Discrete-Serpentine Heterogeneous Multi-Arm Space Robot for Capturing Tumbling Targets Using Manipulability Optimization
by Zhonghua Hu, Chuntao Li, Qun Sun, Jianqing Peng and Wenshuo Li
Aerospace 2025, 12(10), 944; https://doi.org/10.3390/aerospace12100944 (registering DOI) - 21 Oct 2025
Abstract
The discrete-serpentine heterogeneous multi-arm space robot (DSHMASR) has more advantages than single discrete space robots or single serpentine space robots in complex tasks of on-orbit servicing. However, the mechanical structure complexity of the DSHMASR poses challenges for modeling and motion planning. In this [...] Read more.
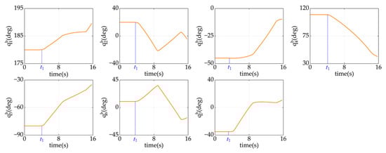
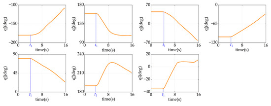
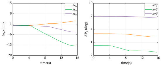
The discrete-serpentine heterogeneous multi-arm space robot (DSHMASR) has more advantages than single discrete space robots or single serpentine space robots in complex tasks of on-orbit servicing. However, the mechanical structure complexity of the DSHMASR poses challenges for modeling and motion planning. In this paper, a coupled kinematic model and a coordinated trajectory planning method for the DSHMASR were proposed to address these issues. Firstly, an uncontrolled satellite and the DSHMASR were modeled based on the momentum conservation law. The generalized Jacobian matrix Jg of the space robotic system was derived. Secondly, the manipulation capability of the DSHMASR was analyzed based on the null-space of Jg. Furthermore, the cooperative capturing-monitoring trajectory planning method for DSHMASR was presented through the manipulability optimization. The expected trajectory of each arm’s tip can be obtained by pose deviations and velocity deviations between the tip and the target point. Additionally, the optimized joint velocities of each arm were calculated by combining differential kinematics and manipulability optimization. Therefore, the manipulability of DSHMASR in the direction of the capture operation was enhanced simultaneously as it approached the target satellite. Finally, the proposed algorithm was demonstrated by establishing the Adams–Simulink co-simulation model. Comparisons with traditional approaches further confirm the outperformance of the proposed method in terms of manipulation capability. Full article
Show Figures

Figure 1

28 pages, 547 KB  
Article
State-DynAttn: A Hybrid State-Space and Dynamic Graph Attention Architecture for Robust Air Traffic Flow Prediction Under Weather Disruptions
by Fei Yan and Huawei Wang
Mathematics 2025, 13(20), 3346; https://doi.org/10.3390/math13203346 (registering DOI) - 21 Oct 2025
Abstract
We propose State-DynAttn, a hybrid architecture for robust air traffic flow prediction under weather disruptions, which integrates state-space models (SSMs) with dynamic graph attention to address the challenges of long-range dependency modeling and adaptive spatial–temporal relationship learning. The increasing complexity of air traffic [...] Read more.
We propose State-DynAttn, a hybrid architecture for robust air traffic flow prediction under weather disruptions, which integrates state-space models (SSMs) with dynamic graph attention to address the challenges of long-range dependency modeling and adaptive spatial–temporal relationship learning. The increasing complexity of air traffic systems, exacerbated by unpredictable weather events, demands methods that can simultaneously capture global temporal patterns and localized disruptions; existing approaches often struggle to balance these requirements efficiently. The proposed method employs two parallel branches: an SSM branch for continuous-time recurrent modeling of long-range dependencies with linear complexity, and a dynamic graph attention branch that adaptively computes node-pair weights while incorporating weather severity features through sparsification strategies for scalability. These branches are fused via a data-dependent gating mechanism, enabling the model to dynamically prioritize either global temporal dynamics or localized spatial interactions based on input conditions. Moreover, the architecture leverages memory-efficient attention computation and HiPPO initialization to ensure stable training and inference. Experiments on real-world air traffic datasets demonstrate that State-DynAttn outperforms existing baselines in prediction accuracy and robustness, particularly under severe weather scenarios. The framework’s ability to handle both gradual traffic evolution and abrupt disruption-induced changes makes it suitable for real-world deployment in air traffic management systems. Furthermore, the design principles of State-DynAttn can be extended to other spatiotemporal prediction tasks where long-range dependencies and dynamic relational structures coexist. This work contributes a principled approach to hybridizing state-space models with graph-based attention, offering insights into the trade-offs between computational efficiency and modeling flexibility in complex dynamical systems. Full article
Show Figures

Figure 1

20 pages, 4216 KB  
Article
Chaos Fusion Mutation-Based Weighted Mean of Vectors Algorithm for Linear Antenna Array Optimization
by Zhuo Chen, Yan Liu, Liang Dong, Anyong Liu and Yibo Wang
Sensors 2025, 25(20), 6482; https://doi.org/10.3390/s25206482 - 20 Oct 2025
Abstract
This study proposes the Chaos Fusion Mutation-Based Weighted Mean of Vectors Algorithm, an advanced optimization technique within the weighted mean of vectors (INFO) framework for synthesizing unequally spaced linear arrays. The proposed algorithm incorporates three complementary mechanisms: a good-point-set initialization to enhance early [...] Read more.
This study proposes the Chaos Fusion Mutation-Based Weighted Mean of Vectors Algorithm, an advanced optimization technique within the weighted mean of vectors (INFO) framework for synthesizing unequally spaced linear arrays. The proposed algorithm incorporates three complementary mechanisms: a good-point-set initialization to enhance early population coverage, a sine–tent–cosine (STC) chaos–based adaptive parameterization to balance exploration and exploitation, and a normal-cloud mutation to preserve diversity and prevent premature convergence. Array-factor (AF) optimization is posed as a constrained problem, simultaneously minimizing sidelobe level (SLL) and achieving deep-null steering, with penalties applied to enforce geometric and engineering constraints. Across diverse array-synthesis tasks, the proposed algorithm consistently attains lower peak SLLs and more accurate nulls, with faster and more stable convergence than benchmark metaheuristics. Across five simulation scenarios, it demonstrates robust superiority, notably surpassing an enhanced IWO in the combined objectives of deep-null suppression and maximum SLL reduction. In a representative engineering example, we obtain an SLL and a deep null of approximately −32.30 and −125.1 dB, respectively, at 104°. Evaluation of the CEC2020 real-world constrained problems confirms robust convergence and competitive statistical ranking. For reproducibility, all data and code are publicly accessible, as detailed in the Data Availability section. Full article
(This article belongs to the Section Communications)
15 pages, 3774 KB  
Article
MSFDnet: A Multi-Scale Feature Dual-Layer Fusion Model for Sound Event Localization and Detection
by Yi Chen, Zhenyu Huang, Liang Lei and Yu Yuan
Sensors 2025, 25(20), 6479; https://doi.org/10.3390/s25206479 (registering DOI) - 20 Oct 2025
Abstract
The task of Sound Event Localization and Detection (SELD) aims to simultaneously address sound event recognition and spatial localization. However, existing SELD methods face limitations in long-duration dynamic audio scenarios, as they do not fully leverage the complementarity between multi-task features and lack [...] Read more.
The task of Sound Event Localization and Detection (SELD) aims to simultaneously address sound event recognition and spatial localization. However, existing SELD methods face limitations in long-duration dynamic audio scenarios, as they do not fully leverage the complementarity between multi-task features and lack depth in feature extraction, leading to restricted system performance. To address these issues, we propose a novel SELD model—MSDFnet. By introducing a Multi-Scale Feature Aggregation (MSFA) module and a Dual-Layer Feature Fusion strategy (DLFF), MSDFnet captures rich spatial features at multiple scales and establishes a stronger complementary relationship between SED and DOA features, thereby enhancing detection and localization accuracy. On the DCASE2020 Task 3 dataset, our model achieved scores of 0.319, 76%, 10.2°, 82.4%, and 0.198 in ER20,F20, LEcd, LRcd, and SELDscore metrics, respectively. Experimental results demonstrate that MSDFnet performs excellently in complex audio scenarios. Additionally, ablation studies further confirm the effectiveness of the MSFA and DLFF modules in enhancing SELD task performance. Full article
(This article belongs to the Special Issue Sensors and Machine-Learning Based Signal Processing)
Show Figures

Figure 1

25 pages, 1886 KB  
Article
A GIN-Guided Multiobjective Evolutionary Algorithm for Robustness Optimization of Complex Networks
by Guangpeng Li, Li Li and Guoyong Cai
Algorithms 2025, 18(10), 666; https://doi.org/10.3390/a18100666 - 20 Oct 2025
Abstract
Network robustness optimization is crucial for enhancing the resilience of industrial networks and social systems against malicious attacks. Existing studies typically evaluate the robustness by simulating the sequential removal of nodes or edges and recording the residual connectivity at each step. However, the [...] Read more.
Network robustness optimization is crucial for enhancing the resilience of industrial networks and social systems against malicious attacks. Existing studies typically evaluate the robustness by simulating the sequential removal of nodes or edges and recording the residual connectivity at each step. However, the attack simulation is computationally expensive and becomes impractical for large-scale networks. Therefore, this paper proposes a multiobjective evolutionary algorithm assisted by a graph isomorphism network (GIN)-based surrogate model to efficiently optimize network robustness. First, the robustness optimization task is formulated as a multiobjective problem that simultaneously considers network robustness against attacks and the structural modification cost. Then, a GIN-based surrogate model is constructed to approximate the robustness, replacing the expensive simulation assessments. Finally, the multiobjective evolutionary algorithm is employed to explore promising network structures guided by the surrogate model, which is continuously updated via online learning to improve both prediction accuracy and optimization performance. Experimental results in various synthetic and real-world networks demonstrate that the proposed algorithm reduces the computational cost of the robustness evaluation by about 65% while achieving comparable or even superior robustness optimization performance compared with those of baseline algorithms. These results indicate that the proposed method is practical and scalable and can be applied to enhance the robustness of industrial and social networks. Full article
31 pages, 5821 KB  
Article
Trajectory Tracking Control Method via Simulation for Quadrotor UAVs Based on Hierarchical Decision Dual-Threshold Adaptive Switching
by Fei Peng, Qiang Gao, Hongqiang Lu, Zhonghong Bu, Bobo Jia, Ganchao Liu and Zhong Tao
Appl. Sci. 2025, 15(20), 11217; https://doi.org/10.3390/app152011217 - 20 Oct 2025
Abstract
In complex 3D maneuvering tasks (e.g., post-disaster rescue, urban operations, and infrastructure inspection), the trajectories that quadrotors need to track are often complex—containing both gentle flight phases and highly maneuverable trajectory segments. Under such trajectory tracking tasks with the composite characteristics of “gentle-high [...] Read more.
In complex 3D maneuvering tasks (e.g., post-disaster rescue, urban operations, and infrastructure inspection), the trajectories that quadrotors need to track are often complex—containing both gentle flight phases and highly maneuverable trajectory segments. Under such trajectory tracking tasks with the composite characteristics of “gentle-high maneuvering”, quadrotors face challenges of limited onboard computing resources and short endurance, requiring a balance between trajectory tracking accuracy, computational efficiency, and energy consumption. To address this problem, this paper proposes a lightweight trajectory tracking control method based on hierarchical decision-making and dual-threshold adaptive switching. Inspired by the biological “prediction–reflection” mechanism, this method designs a dual-threshold collaborative early warning switching architecture of “prediction layer–confirmation layer”: The prediction layer dynamically assesses potential risks based on trajectory curvature and jerk, while the confirmation layer confirms in real time the stability risks through an attitude-angular velocity composite index. Only when both exceed the thresholds, it switches from low-energy-consuming Euler angle control to high-precision geometric control. Simulation experiments show that in four typical trajectories (straight-line rapid turn, high-speed S-shaped, anti-interference composite, and narrow space figure-eight), compared with pure geometric control, this method reduces position error by 19.5%, decreases energy consumption by 45.9%, and shortens CPU time by 28%. This study not only optimizes device performance by improving trajectory tracking accuracy while reducing onboard computational load, but also reduces energy consumption to extend UAV endurance, and simultaneously enhances anti-disturbance capability, thereby improving its operational capability to respond to emergencies in complex environments. Overall, this study provides a feasible solution for the efficient and safe flight of resource-constrained onboard platforms in multi-scenario complex environments in the future and has broad application and expansion potential. Full article
Show Figures

Figure 1

18 pages, 1670 KB  
Article
VNTR Polymorphisms in the SLC6A3 Gene and Their Impact on Time Perception and EEG Activity
by Francisco Victor Costa Marinho, Silmar Silva Teixeira, Giovanny Rebouças Pinto, Thomaz de Oliveira, France Keiko Nascimento Yoshioka, Hygor Fernandes, Aline Miranda, Bruna Brandão Velasques, Alair Pedro Ribeiro de Souza e Silva, Maurício Cagy and Victor Hugo do Vale Bastos
Bioengineering 2025, 12(10), 1118; https://doi.org/10.3390/bioengineering12101118 - 19 Oct 2025
Abstract
Aim: The research examined the relationship between SLC6A3 3′-UTR and intron 8 VNTR polymorphisms and their influence on supra-second time estimation performance and EEG alpha band activity. Material and methods: A total of 178 male participants (aged 18 to 32 years) underwent [...] Read more.
Aim: The research examined the relationship between SLC6A3 3′-UTR and intron 8 VNTR polymorphisms and their influence on supra-second time estimation performance and EEG alpha band activity. Material and methods: A total of 178 male participants (aged 18 to 32 years) underwent genotyping for the SLC6A3 3′-UTR and intron 8 VNTR polymorphisms. An electroencephalographic assessment was conducted targeting the dorsolateral prefrontal cortex (DLPFC), simultaneously with the time estimation task. The 3′-UTR and intron 8 VNTRs polymorphisms were linked to absolute error and ratio in a time estimation task (target duration: 1 s, 4 s, 7 s, and 9 s) neurophysiological variable. Results: Regarding the absolute error and ratio, the combinatory effect of SLC6A3 3′-UTR and intron 8 VNTRs showed a difference in the interpretation of time only for 1 s (p = 0.0002). In the EEG alpha power, the analysis revealed a difference only for the left DLPFC (p = 0.0002). Conclusions: Electrophysiological and behavioral investigation in the time perception associated with the SLC6A3 gene suggests an alternative evaluation of neurobiological aspects inbuilt in timing. The 3′-UTR and intron 8 VNTR polymorphisms modulate dopaminergic neurotransmission during short-temporal scale judgment in the domain of supra seconds and indicate a role in its inputs to the left dorsolateral prefrontal cortex during the voluntary attention processes for visual stimulus. Our findings demonstrate that cognitive resources to capture and store time intervals can be measured based on the EEG power activity pattern. Full article
(This article belongs to the Section Biosignal Processing)
Show Figures

Figure 1

17 pages, 1302 KB  
Article
Enhancing Physical and Cognitive Performance in Youth Football: The Role of Specific Dual-Task Training
by Juan Miguel Ramírez Lucas, Juan Antonio Párraga Montilla, José Carlos Cabrera Linares and Pedro Ángel Latorre Román
J. Funct. Morphol. Kinesiol. 2025, 10(4), 404; https://doi.org/10.3390/jfmk10040404 - 18 Oct 2025
Viewed by 52
Abstract
Background: Football performance depends on the integration of physical, technical, and cognitive abilities under constantly changing conditions. In this context, dual-task training combining physical and cognitive demands has emerged as a promising approach to enhance decision-making and game intelligence in youth football players. [...] Read more.
Background: Football performance depends on the integration of physical, technical, and cognitive abilities under constantly changing conditions. In this context, dual-task training combining physical and cognitive demands has emerged as a promising approach to enhance decision-making and game intelligence in youth football players. Objective: The aim of this study was to determine the effects of an eight-week dual-task training programme on physical (speed, strength, and agility), cognitive (working memory, planning, processing speed, and response time), technical (dribbling and short passing), and dual-task performance in U16 football players. Methods: Thirty-two players (age: 14.88 ± 0.65 years; BMI: 20.98 ± 1.79 kg/m2) were randomly assigned to a control group (n = 14) and an experimental group (n = 18). The experimental group completed a dual cognitive–motor training (CMT) programme consisting of 24 sessions (3 sessions/week, 10–15 min each), integrated into regular football practice. Pre-intervention and post-intervention assessments included football skills (dribbling and passing tests), cognitive tests (Wom-Rest and Vismem-Plan), physical tests (countermovement jump, 20 m sprint, and 505 change-of-direction), and a dual-task test (soccer skills and cognitive aptitude test). Results: The experimental group showed significant improvements in all assessed variables, while the control group exhibited no changes or declines in performance. The most notable effects were observed in SoSCAT with visual interference, dual-task cost, and 505 change-of-direction. Conclusions: The findings suggest that integrating brief dual CMT programmes into regular football practice can simultaneously enhance physical, technical, and cognitive performance in youth players. This evidence supports the implementation of dual CMT as an effective and time-efficient tool in talent development programmes. Full article
Show Figures

Figure 1

23 pages, 27389 KB  
Review
Determinants of Chain Selection and Staggering in Heterotrimeric Collagens: A Comprehensive Review of the Structural Data
by Luigi Vitagliano, Nunzianna Doti and Nicole Balasco
Int. J. Mol. Sci. 2025, 26(20), 10134; https://doi.org/10.3390/ijms262010134 - 18 Oct 2025
Viewed by 60
Abstract
Collagen is a family of large, fibrous biomacromolecules common in animals, distinguished by unique molecular, structural, and functional properties. Despite the relatively low complexity of their sequences and the repetitive conformation of the triple helix, which is the defining feature of this family, [...] Read more.
Collagen is a family of large, fibrous biomacromolecules common in animals, distinguished by unique molecular, structural, and functional properties. Despite the relatively low complexity of their sequences and the repetitive conformation of the triple helix, which is the defining feature of this family, unraveling sequence–stability and structure–function relationships in this group of proteins remains a challenging task. Considering the importance of the structural aspects in collagen chain recognition and selection, we reviewed our current knowledge of the heterotrimeric structures of non-collagenous (NC) regions that lack the triple helix sequence motif, Gly-X-Y, and are crucial for the correct folding of the functional states of these proteins. This study was conducted by simultaneously surveying the current literature, mining the structural database, and making predictions of the three-dimensional structure of these domains using highly reliable approaches based on machine learning techniques, such as AlphaFold. The combination of experimental structural data and predictive analyses offers some interesting clues about the structural features of heterotrimers formed by collagen NC regions. Structural studies carried out in the last decade show that for fibrillar collagens (types I, V, XI, and mixed V/XI), key factors include the formation of specific disulfide bridges and electrostatic interaction patterns. In the subgroup of collagens whose heterotrimers create supramolecular networks (types IV and VIII), available structural information provides a solid ground for the definition of the basis of the molecular and supramolecular organization. Very recent AlphaFold predictions and structural analyses of type VI collagen offer strong evidence of the specific domains in the NC region of the protein that are involved in chain selection and their staggering. Insightful crystallographic studies have also revealed some fundamental elements of the chain selection process in type IX collagen. Collectively, the data reported here indicate that, although some aspects (particularly the quantification of the relative contribution of the NC and triple helix regions to correct collagen folding) are yet to be fully understood, the available structural information provides a solid foundation for future studies aimed at precisely defining sequence–structure–function relationships in collagens. Full article
(This article belongs to the Section Macromolecules)
Show Figures

Figure 1

32 pages, 3570 KB  
Article
Optimization of the Human–Robot Collaborative Disassembly Process Using a Genetic Algorithm: Application to the Reconditioning of Electric Vehicle Batteries
by Salma Nabli, Gilde Vanel Tchane Djogdom and Martin J.-D. Otis
Designs 2025, 9(5), 122; https://doi.org/10.3390/designs9050122 - 17 Oct 2025
Viewed by 445
Abstract
To achieve a complete circular economy for used electric vehicle batteries, it is essential to implement a disassembly step. Given the significant diversity of battery geometries and designs, a high degree of flexibility is required for automated disassembly processes. The incorporation of human–robot [...] Read more.
To achieve a complete circular economy for used electric vehicle batteries, it is essential to implement a disassembly step. Given the significant diversity of battery geometries and designs, a high degree of flexibility is required for automated disassembly processes. The incorporation of human–robot interaction provides a valuable degree of flexibility in the process workflow. However, human behavior is characterized by unpredictable timing and variable task durations, which add considerable complexity to process planning. Therefore, it is crucial to develop a robust strategy for coordinating human and robotic tasks to manage the scheduling of production activities efficiently. This study proposes a global optimization approach to the scheduling of production activities, which employs a genetic algorithm with the objective of minimizing the total production time while simultaneously reducing the idle time of both the human operator and robot. The proposed approach is concerned with optimizing the sequencing of disassembly tasks, considering both temporal and exclusion constraints, to guarantee that tasks deemed hazardous are not executed in the presence of a human. This approach is based on a two-level adaptation framework developed in RoboDK (Robot Development Kit, v5.4.3.22231, 2022, RoboDK Inc., Montréal, QC Canada). At the first level, offline optimization is performed using a genetic algorithm to determine the optimal task sequencing strategy. This stage anticipates human behavior by proposing disassembly sequences aligned with expected human availability. At the second level, an online reactive adjustment refines the plan in real time, adapting it to actual human interventions and compensating for deviations from initial forecasts. The effectiveness of this global optimization strategy is evaluated against a non-global approach, in which the problem is partitioned into independent subproblems solved separately and then integrated. The results demonstrate the efficacy of the proposed approach in comparison with a non-global approach, particularly in scenarios where humans arrive earlier than anticipated. Full article
Show Figures

Figure 1

10 pages, 734 KB  
Article
Electromyographic Assessment of the Extrinsic Laryngeal Muscles: Pilot and Descriptive Study of a Vocal Function Assessment Protocol
by Jéssica Ribeiro, André Araújo, Andreia S. P. Sousa and Filipa Pereira
Sensors 2025, 25(20), 6430; https://doi.org/10.3390/s25206430 - 17 Oct 2025
Viewed by 256
Abstract
Aim: The aim of this study was to develop and test a surface electromyography (sEMG) assessment protocol to characterise the activity of the extrinsic laryngeal muscles (suprahyoid and infrahyoid) during phonatory tasks and vocal techniques. Methodology: The protocol of assessment was based on [...] Read more.
Aim: The aim of this study was to develop and test a surface electromyography (sEMG) assessment protocol to characterise the activity of the extrinsic laryngeal muscles (suprahyoid and infrahyoid) during phonatory tasks and vocal techniques. Methodology: The protocol of assessment was based on electromyographic assessment guidelines and on clinical voice evaluation needs and was tested in six healthy adults with no vocal disorders. Surface electromyographic activity of suprahyoid and infrahyoid muscles was acquired during different reference tasks (rest, reading, maximum contractions) and six vocal tasks, including nasal sounds, fricatives, and semi-occluded vocal tract exercises. A laryngeal accelerometer was used for detecting the beginning and end of each exercise. The average activity during each task was normalised by the signal obtained in the incomplete swallowing task for the SHM and by the sniff technique for the IHM. Results: The range of activation values varied across tasks, with higher percentages observed in plosive production and in the “spaghetti” technique, while nasal and fricative sounds tended to show lower activation values within the group. A consistent pattern of simultaneous activation of suprahyoid and infrahyoid muscles was observed during phonation. Conclusions: The protocol proved potential for clinical application in speech–language pathology as it enabled the characterisation of muscle activity in determinant muscles for vocal function. Larger samples and further validation of the time-marking system are needed. This study provides a foundation for integrating sEMG measures into functional voice assessment. Full article
(This article belongs to the Special Issue Flexible Pressure/Force Sensors and Their Applications)
Show Figures

Figure 1

26 pages, 3121 KB  
Article
Multidisciplinary Engineering Educational Programme Based on the Development of Photovoltaic Electric Vehicles
by Daniel Rosas-Cervantes and José Fernández-Ramos
World Electr. Veh. J. 2025, 16(10), 583; https://doi.org/10.3390/wevj16100583 - 17 Oct 2025
Viewed by 198
Abstract
This study compares two methodologies for organising the working groups of a multidisciplinary project-based learning programme aimed at strengthening students’ transversal skills. The subject of the project was the design and manufacture of prototypes of light electric vehicles powered exclusively by photovoltaic energy. [...] Read more.
This study compares two methodologies for organising the working groups of a multidisciplinary project-based learning programme aimed at strengthening students’ transversal skills. The subject of the project was the design and manufacture of prototypes of light electric vehicles powered exclusively by photovoltaic energy. The difference between the two methodologies was the way in which the tasks were distributed among the working groups. In the first method, each group of students specialised in one of the tasks and many of these tasks were carried out simultaneously. In the second method, the tasks were organised sequentially and all groups were involved in some part of them. The results have shown that the first method allows a higher net return on the students’ work and a greater reinforcement of the skills acquired in the project, while the second method requires a rather less complex organisation, enables a more balanced distribution of the students’ work, allows rapid progress in the acquisition of a greater number of practical skills and presents a greater opportunity for implementing multidisciplinary teaching. Full article
(This article belongs to the Section Marketing, Promotion and Socio Economics)
Show Figures

Figure 1

18 pages, 3754 KB  
Article
Hardware Implementation of Improved Oriented FAST and Rotated BRIEF-Simultaneous Localization and Mapping Version 2
by Ji-Long He, Ying-Hua Chen, Wenny Ramadha Putri, Chung-I. Huang, Ming-Hsiang Su, Kuo-Chen Li, Jian-Hong Wang, Shih-Lun Chen, Yung-Hui Li and Jia-Ching Wang
Sensors 2025, 25(20), 6404; https://doi.org/10.3390/s25206404 - 17 Oct 2025
Viewed by 348
Abstract
The field of autonomous driving has seen continuous advances, yet achieving higher levels of automation in real-world applications remains challenging. A critical requirement for autonomous navigation is accurate map construction, particularly in novel and unstructured environments. In recent years, Simultaneous Localization and Mapping [...] Read more.
The field of autonomous driving has seen continuous advances, yet achieving higher levels of automation in real-world applications remains challenging. A critical requirement for autonomous navigation is accurate map construction, particularly in novel and unstructured environments. In recent years, Simultaneous Localization and Mapping (SLAM) has evolved to support diverse sensor modalities, with some implementations incorporating machine learning to improve performance. However, these approaches often demand substantial computational resources. The key challenge lies in achieving efficiency within resource-constrained environments while minimizing errors that could degrade downstream tasks. This paper presents an enhanced ORB-SLAM2 (Oriented FAST and Rotated BRIEF Simultaneous Localization and Mapping, version 2) algorithm implemented on a Raspberry Pi 3 (ARM A53 CPU) to improve mapping performance under limited computational resources. ORB-SLAM2 comprises four main stages: Tracking, Local Mapping, Loop Closing, and Full Bundle Adjustment (BA). The proposed improvements include employing a more efficient feature descriptor to increase stereo feature-matching rates and optimizing loop-closing parameters to reduce accumulated errors. Experimental results demonstrate that the proposed system achieves notable improvements on the Raspberry Pi 3 platform. For monocular SLAM, RMSE is reduced by 18.11%, mean error by 22.97%, median error by 29.41%, and maximum error by 17.18%. For stereo SLAM, RMSE decreases by 0.30% and mean error by 0.38%. Furthermore, the ROS topic frequency stabilizes at 10 Hz, with quad-core CPU utilization averaging approximately 90%. These results indicate that the system satisfies real-time requirements while maintaining a balanced trade-off between accuracy and computational efficiency under resource constraints. Full article
(This article belongs to the Section Intelligent Sensors)
Show Figures

Figure 1

24 pages, 3721 KB  
Article
Interactive Environment-Aware Planning System and Dialogue for Social Robots in Early Childhood Education
by Jiyoun Moon and Seung Min Song
Appl. Sci. 2025, 15(20), 11107; https://doi.org/10.3390/app152011107 - 16 Oct 2025
Viewed by 96
Abstract
In this study, we propose an interactive environment-aware dialog and planning system for social robots in early childhood education, aimed at supporting the learning and social interaction of young children. The proposed architecture consists of three core modules. First, semantic simultaneous localization and [...] Read more.
In this study, we propose an interactive environment-aware dialog and planning system for social robots in early childhood education, aimed at supporting the learning and social interaction of young children. The proposed architecture consists of three core modules. First, semantic simultaneous localization and mapping (SLAM) accurately perceives the environment by constructing a semantic scene representation that includes attributes such as position, size, color, purpose, and material of objects, as well as their positional relationships. Second, the automated planning system enables stable task execution even in changing environments through planning domain definition language (PDDL)-based planning and replanning capabilities. Third, the visual question answering module leverages scene graphs and SPARQL conversion of natural language queries to answer children’s questions and engage in context-based conversations. The experiment conducted in a real kindergarten classroom with children aged 6 to 7 years validated the accuracy of object recognition and attribute extraction for semantic SLAM, the task success rate of the automated planning system, and the natural language question answering performance of the visual question answering (VQA) module.The experimental results confirmed the proposed system’s potential to support natural social interaction with children and its applicability as an educational tool. Full article
(This article belongs to the Special Issue Robotics and Intelligent Systems: Technologies and Applications)
Show Figures

Figure 1

21 pages, 3803 KB  
Article
Optimization of a Walker Constellation Using an RBF Surrogate Model for Space Target Awareness
by You Fu, Zhaojing Xu, Youchen Fan, Liu Yi, Zhao Ma, Yuhai Li and Shengliang Fang
Aerospace 2025, 12(10), 933; https://doi.org/10.3390/aerospace12100933 - 16 Oct 2025
Viewed by 181
Abstract
Designing Low Earth Orbit (LEO) constellations for the continuous, collaborative observation of space objects in MEO/GEO is a complex optimization task, frequently limited by prohibitive computational costs. This study introduces an efficient surrogate-based framework to overcome this challenge. Our approach integrates Optimized Latin [...] Read more.
Designing Low Earth Orbit (LEO) constellations for the continuous, collaborative observation of space objects in MEO/GEO is a complex optimization task, frequently limited by prohibitive computational costs. This study introduces an efficient surrogate-based framework to overcome this challenge. Our approach integrates Optimized Latin Hypercube Sampling (OLHS) with a Radial Basis Function (RBF) model to minimize the required number of satellites. In a comprehensive case study targeting 18 diverse space objects—including communication satellites in GEO (e.g., EUTELSAT, ANIK) and navigation satellites in MEO/IGSO from GPS, Galileo, and BeiDou constellations—the method proved highly effective and scalable. It successfully designed a 208-satellite Walker constellation that provides 100% continuous coverage over a 36-h period. Furthermore, the design ensures that each target is simultaneously observed by at least three satellites at all times. A key finding is the method’s remarkable efficiency and scalability: the optimal solution for this larger problem was found using only 46 high-fidelity function evaluations, maintaining a computational time that was 5–8 times faster than traditional global optimization algorithms. This research demonstrates that surrogate-assisted optimization can drastically lower the computational barrier in constellation design, offering a powerful tool for building cost-effective and robust Space Situational Awareness (SSA) systems. Full article
(This article belongs to the Special Issue Advances in Space Surveillance and Tracking)
Show Figures

Figure 1

Back to TopTop