Sign in to use this feature.

Years

Between: -

Subjects

remove_circle_outline
remove_circle_outline
remove_circle_outline
remove_circle_outline

Journals

Article Types

Countries / Regions

Search Results (4)

Search Parameters:
Keywords = silver nanorings

Order results
Result details
Results per page
Select all
Export citation of selected articles as:
12 pages, 2155 KB  
Article
Theoretical Analysis of Hybrid Metal–Dielectric Nanoantennas with Plasmonic Fano Resonance for Optical Sensing
by Jingwei Lv, Debao Wang, Chao Liu, Jianxin Wang, Lin Yang, Wei Liu, Qiang Liu, Haiwei Mu and Paul K. Chu
Coatings 2022, 12(9), 1248; https://doi.org/10.3390/coatings12091248 - 26 Aug 2022
Cited by 5 | Viewed by 2415
Abstract
A nanoantenna with Fano response is designed with plasmonic oligomers as a refractive index sensor to enhance surface-enhanced Raman scattering (SERS) in the visible light spectrum. The scattered radiation and field-enhanced interactions of the outer gallium phosphide (GaP) nanoring assembled with an inner [...] Read more.
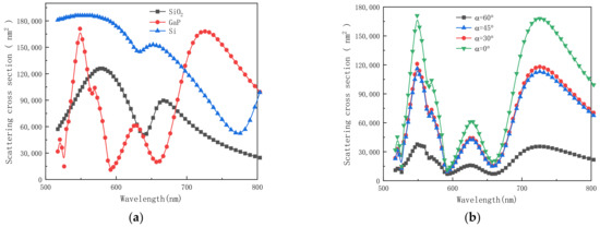
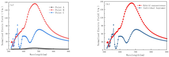
A nanoantenna with Fano response is designed with plasmonic oligomers as a refractive index sensor to enhance surface-enhanced Raman scattering (SERS) in the visible light spectrum. The scattered radiation and field-enhanced interactions of the outer gallium phosphide (GaP) nanoring assembled with an inner heptamer of silver with Fano response are investigated systematically using the finite element method. The characteristics of Fano resonance are found to depend on the size, shape and nature of the materials in the hybrid nanoantenna. The confined electromagnetic field produces a single-point electromagnetic hotspot with up to 159.59 V/m. The sensitivity obtained from the wavelength shift and variation in the scattering cross-section (SCS) shows a maximum value of 550 nm/RIU. The results validate the design concept and demonstrate near-field enhancement, enabling the design of high-performance nanoantennas with enhanced optical sensing and SERS properties. Full article
Show Figures

Figure 1

13 pages, 2206 KB  
Article
A Promising Antifungal and Antiamoebic Effect of Silver Nanorings, a Novel Type of AgNP
by Sara González-Fernández, Victor Lozano-Iturbe, Mª Fe Menéndez, Helena Ordiales, Iván Fernández-Vega, Jesús Merayo, Fernando Vazquez, Luis M. Quirós and Carla Martín
Antibiotics 2022, 11(8), 1054; https://doi.org/10.3390/antibiotics11081054 - 3 Aug 2022
Cited by 8 | Viewed by 2698
Abstract
Silver nanoparticles (AgNPs) play an important role in the medical field due to their potent antimicrobial activity. This, together with the constant emergence of resistance to antimicrobial drugs, means AgNPs are often investigated as an alternative to solve this problem. In this article, [...] Read more.
Silver nanoparticles (AgNPs) play an important role in the medical field due to their potent antimicrobial activity. This, together with the constant emergence of resistance to antimicrobial drugs, means AgNPs are often investigated as an alternative to solve this problem. In this article, we analyzed the antifungal and antiamoebic effects of a recently described type of AgNP, silver nanorings (AgNRs), and compared them with other types of AgNPs. Tests of the activity of AgNPs against various fungal and amoebic species were carried out. In all cases, AgNPs showed a high biocidal effect, although with fungi this depended on the species involved. Antifungal activity was detected by the conditioning of culture media or water but this effect was not dependent on the release of Ag ions. On the other hand, the proliferation of Acanthamoeba castellanii trophozoites was reduced by silver nanorings (AgNRs) and silver nanowires (AgNWs), with AgNWs being capable of totally inhibiting the germination of A. castellanii cysts. AgNRs constitute a new type of AgNP with an antifungal and antiacanthamoebic activity. These results open the door to new and effective antimicrobial therapies as an alternative to the use of antifungals or antiamoebic drugs, thus avoiding the constant appearance of resistance and the difficulty of eradicating infections. Full article
(This article belongs to the Special Issue Silver and Gold Compounds as Antibiotics)
Show Figures

Figure 1

14 pages, 2823 KB  
Article
Highly Sensitive and Tunable Plasmonic Sensor Based on a Nanoring Resonator with Silver Nanorods
by Chung-Ting Chou Chao, Yuan-Fong Chou Chau, Hung Ji Huang, N. T. R. N. Kumara, Muhammad Raziq Rahimi Kooh, Chee Ming Lim and Hai-Pang Chiang
Nanomaterials 2020, 10(7), 1399; https://doi.org/10.3390/nano10071399 - 18 Jul 2020
Cited by 85 | Viewed by 5915
Abstract
We numerically and theoretically investigate a highly sensitive and tunable plasmonic refractive index sensor that is composed of a metal-insulator-metal waveguide with a side-coupled nanoring, containing silver nanorods using the finite element method. Results reveal that the presence of silver nanorods in the [...] Read more.
We numerically and theoretically investigate a highly sensitive and tunable plasmonic refractive index sensor that is composed of a metal-insulator-metal waveguide with a side-coupled nanoring, containing silver nanorods using the finite element method. Results reveal that the presence of silver nanorods in the nanoring has a significant impact on sensitivity and tunability performance. It gives a flexible way to tune the system response in the proposed structure. Our designed sensor has a sensitivity of 2080 nm/RIU (RIU is the refractive index unit) along with a figure of merit and a quality factor of 29.92 and 29.67, respectively. The adequate refractive index sensitivity can increase by adding the silver nanorods in a nanoring, which can induce new surface plasmon polaritons (SPPs) modes that cannot be found by a regular nanoring. For a practical application, a valid introduction of silver nanorods in the nanoring can dramatically reduce the dimension of the proposed structure without sacrificing performance. Full article
(This article belongs to the Special Issue Nanobiophotonics, Photomedicine, and Imaging)
Show Figures

Figure 1

10 pages, 2664 KB  
Article
Silver Nanorings Fabricated by Glycerol-Based Cosolvent Polyol Method
by Zhihang Li, Dong Guo, Peng Xiao, Junlong Chen, Honglong Ning, Yiping Wang, Xu Zhang, Xiao Fu, Rihui Yao and Junbiao Peng
Micromachines 2020, 11(3), 236; https://doi.org/10.3390/mi11030236 - 25 Feb 2020
Cited by 4 | Viewed by 3126
Abstract
The urgent demand for transparent flexible electrodes applied in wide bandgap devices has promoted the development of new materials. Silver nanoring (AgNR), known as a special structure of silver nanowire (AgNW), exhibits attractive potential in the field of wearable electronics. In this work, [...] Read more.
The urgent demand for transparent flexible electrodes applied in wide bandgap devices has promoted the development of new materials. Silver nanoring (AgNR), known as a special structure of silver nanowire (AgNW), exhibits attractive potential in the field of wearable electronics. In this work, an environmentally friendly glycerol-based cosolvent polyol method was investigated. The Taguchi design was utilized to ascertain the factors that affect the yield and ring diameter of AgNRs. Structural characterization showed that AgNR seeds grew at a certain angle during the early nucleation period. The results indicated that the yield and ring diameter of AgNRs were significantly affected by the ratio of cosolvent. Besides, the ring diameter of AgNRs was also tightly related to the concentration of polyvinylpyrrolidone (PVP). The difference of reducibility between glycerol, water, and ethylene glycol leads to the selective growth of (111) plane and is probably the main reason AgNRs are formed. As a result, AgNRs with a ring diameter range from 7.17 to 42.94 μm were synthesized, and the quantity was increased significantly under the optimal level of factors. Full article
(This article belongs to the Special Issue Wide Bandgap Based Devices: Design, Fabrication and Applications)
Show Figures

Figure 1

Back to TopTop