Sign in to use this feature.

Years

Between: -

Subjects

remove_circle_outline
remove_circle_outline
remove_circle_outline
remove_circle_outline
remove_circle_outline
remove_circle_outline
remove_circle_outline

Journals

Article Types

Countries / Regions

Search Results (14)

Search Parameters:
Keywords = robot workcell

Order results
Result details
Results per page
Select all
Export citation of selected articles as:
14 pages, 598 KB  
Review
Collaborative Robotics, Mobile Platforms, and Total Laboratory Automation in Clinical Diagnostics
by Shuvam Mukherjee, Charlie Lambert, Yizhi Zhou, Steven Kan, Jianfei Yang, Guochun Liao, Steven Flygare and Robert S. Ohgami
Diagnostics 2026, 16(4), 518; https://doi.org/10.3390/diagnostics16040518 - 9 Feb 2026
Viewed by 1461
Abstract
Clinical diagnostic laboratories continue to face growing pressure from rising test volumes, increasingly complex testing menus, significant workforce shortages, and expectations for faster turnaround times at sustainable cost. Total laboratory automation (TLA) has become a central strategy for improving efficiency in high-volume laboratories, [...] Read more.
Clinical diagnostic laboratories continue to face growing pressure from rising test volumes, increasingly complex testing menus, significant workforce shortages, and expectations for faster turnaround times at sustainable cost. Total laboratory automation (TLA) has become a central strategy for improving efficiency in high-volume laboratories, where integrated systems from Abbott, Roche, Siemens Healthineers, and Beckman Coulter have demonstrated substantial reductions in turnaround time, error rates, and labor requirements. Evidence across multiple health systems shows that TLA improves performance and stabilizes laboratory operations even during workload peaks. Despite these gains, large segments of pre-analytical and post-analytical workflows remain manual, especially tasks related to specimen transportation, bench-level manipulation, instrument tending, and troubleshooting. Recent progress in collaborative robotics (cobots), autonomous mobile robots (AMRs), and hospital service robots demonstrates that these technologies can complement TLA by addressing not only the logistical and dexterous tasks that fixed automation lines cannot reach but also enabling robots that can work safely right alongside humans in a shared space. Cobots have shown sub-millimeter precision in colony picking and other fine-motor tasks, though typically at lower throughputs than dedicated track modules, and AMRs have demonstrated reliable transport of pathology carts and medical supplies through large clinical environments. Meanwhile, humanoid-capable mobile manipulators, like Moxi from Diligent Robotics, deployed in hospitals are already completing hundreds of thousands of supply deliveries, indicating real-world significance. Here, we integrate technical, regulatory, operational, and business perspectives on TLA, collaborative robotics, and mobile platforms. We discuss real-world efficiency gains, regulatory expectations under the CLIA and United States FDA, and the emerging case for hybrid automation ecosystems that combine TLA islands, cobotic workcells, AMRs, and AI-enabled orchestration. We argue that the next decade of laboratory automation will move beyond monolithic tracks with robots toward flexible, modular robotic systems designed to operate safely together with humans and to augment the increasingly strained laboratory workforce. This not only allows clinical staff to dedicate more time to patient care but also ensures greater reliability and scalability for essential services throughout demanding hospital environments. Full article
Show Figures

Figure 1

19 pages, 3206 KB  
Article
Human-Centered Collaborative Robotic Workcell Facilitating Shared Autonomy for Disability-Inclusive Manufacturing
by YongKuk Kim, DaYoung Kim, DoKyung Hwang, Juhyun Kim, Eui-Jung Jung and Min-Gyu Kim
Electronics 2026, 15(2), 461; https://doi.org/10.3390/electronics15020461 - 21 Jan 2026
Viewed by 240
Abstract
Workers with upper-limb disabilities face difficulties in performing manufacturing tasks requiring fine manipulation, stable handling, and multistep procedural understanding. To address these limitations, this paper presents an integrated collaborative workcell designed to support disability-inclusive manufacturing. The system comprises four core modules: a JSON-based [...] Read more.
Workers with upper-limb disabilities face difficulties in performing manufacturing tasks requiring fine manipulation, stable handling, and multistep procedural understanding. To address these limitations, this paper presents an integrated collaborative workcell designed to support disability-inclusive manufacturing. The system comprises four core modules: a JSON-based collaboration database that structures manufacturing processes into robot–human cooperative units; a projection-based augmented reality (AR) interface that provides spatially aligned task guidance and virtual interaction elements; a multimodal interaction channel combining gesture tracking with speech and language-based communication; and a personalization mechanism that enables users to adjust robot behaviors—such as delivery poses and user-driven task role switching—which are then stored for future operations. The system is implemented using ROS-style modular nodes with an external WPF-based projection module and evaluated through scenario-based experiments involving workers with upper-limb impairments. The experimental scenarios illustrate that the proposed workcell is capable of supporting step transitions, part handover, contextual feedback, and user-preference adaptation within a unified system framework, suggesting its feasibility as an integrated foundation for disability-inclusive human–robot collaboration in manufacturing environments. Full article
Show Figures

Figure 1

18 pages, 2469 KB  
Article
A Next-Best-View Method for Complex 3D Environment Exploration Using Robotic Arm with Hand-Eye System
by Michal Dobiš, Jakub Ivan, Martin Dekan, František Duchoň, Andrej Babinec and Róbert Málik
Appl. Sci. 2025, 15(14), 7757; https://doi.org/10.3390/app15147757 - 10 Jul 2025
Cited by 1 | Viewed by 3334
Abstract
The ability to autonomously generate up-to-date 3D models of robotic workcells is critical for advancing smart manufacturing, yet existing Next-Best-View (NBV) methods often rely on paradigms ill-suited for the fixed-base manipulators found in dynamic industrial environments. To address this gap, this paper proposes [...] Read more.
The ability to autonomously generate up-to-date 3D models of robotic workcells is critical for advancing smart manufacturing, yet existing Next-Best-View (NBV) methods often rely on paradigms ill-suited for the fixed-base manipulators found in dynamic industrial environments. To address this gap, this paper proposes a novel NBV method for the complete exploration of a 6-DOF robotic arm’s workspace. Our approach integrates collision-based information gain metric, a potential field technique to generate candidate views from exploration frontiers, and a tunable fitness function to balance information gain with motion cost. The method was rigorously tested in three simulated scenarios and validated on a physical industrial robot. Results demonstrate that our approach successfully maps the majority of the workspace in all setups, with a balanced weighting strategy proving most effective for combining exploration speed and path efficiency, a finding confirmed in the real-world experiment. We conclude that our method provides a practical and robust solution for autonomous workspace mapping, offering a flexible, training-free approach that advances the state-of-the-art for on-demand 3D model generation in industrial robotics. Full article
(This article belongs to the Special Issue Smart Manufacturing and Industry 4.0, 2nd Edition)
Show Figures

Figure 1

17 pages, 5755 KB  
Article
A Hybrid Architecture for Safe Human–Robot Industrial Tasks
by Gaetano Lettera, Daniele Costa and Massimo Callegari
Appl. Sci. 2025, 15(3), 1158; https://doi.org/10.3390/app15031158 - 24 Jan 2025
Cited by 5 | Viewed by 2634
Abstract
In the context of Industry 5.0, human–robot collaboration (HRC) is increasingly crucial for enabling safe and efficient operations in shared industrial workspaces. This study aims to implement a hybrid robotic architecture based on the Speed and Separation Monitoring (SSM) collaborative scenario defined in [...] Read more.
In the context of Industry 5.0, human–robot collaboration (HRC) is increasingly crucial for enabling safe and efficient operations in shared industrial workspaces. This study aims to implement a hybrid robotic architecture based on the Speed and Separation Monitoring (SSM) collaborative scenario defined in ISO/TS 15066. The system calculates the minimum protective separation distance between the robot and the operators and slows down or stops the robot according to the risk assessment computed in real time. Compared to existing solutions, the approach prevents collisions and maximizes workcell production by reducing the robot speed only when the calculated safety index indicates an imminent risk of collision. The proposed distributed software architecture utilizes the ROS2 framework, integrating three modules: (1) a fast and reliable human tracking module based on the OptiTrack system that considerably reduces latency times or false positives, (2) an intention estimation (IE) module, employing a linear Kalman filter (LKF) to predict the operator’s next position and velocity, thus considering the current scenario and not the worst case, and (3) a robot control module that computes the protective separation distance and assesses the safety index by measuring the Euclidean distance between operators and the robot. This module dynamically adjusts robot speed to maintain safety while minimizing unnecessary slowdowns, ensuring the efficiency of collaborative tasks. Experimental results demonstrate that the proposed system effectively balances safety and speed, optimizing overall performance in human–robot collaborative industrial environments, with significant improvements in productivity and reduced risk of accidents. Full article
Show Figures

Figure 1

24 pages, 12290 KB  
Article
METRIC—Multi-Eye to Robot Indoor Calibration Dataset
by Davide Allegro, Matteo Terreran and Stefano Ghidoni
Information 2023, 14(6), 314; https://doi.org/10.3390/info14060314 - 29 May 2023
Cited by 2 | Viewed by 3752
Abstract
Multi-camera systems are an effective solution for perceiving large areas or complex scenarios with many occlusions. In such a setup, an accurate camera network calibration is crucial in order to localize scene elements with respect to a single reference frame shared by all [...] Read more.
Multi-camera systems are an effective solution for perceiving large areas or complex scenarios with many occlusions. In such a setup, an accurate camera network calibration is crucial in order to localize scene elements with respect to a single reference frame shared by all the viewpoints of the network. This is particularly important in applications such as object detection and people tracking. Multi-camera calibration is a critical requirement also in several robotics scenarios, particularly those involving a robotic workcell equipped with a manipulator surrounded by multiple sensors. Within this scenario, the robot-world hand-eye calibration is an additional crucial element for determining the exact position of each camera with respect to the robot, in order to provide information about the surrounding workspace directly to the manipulator. Despite the importance of the calibration process in the two scenarios outlined above, namely (i) a camera network, and (ii) a camera network with a robot, there is a lack of standard datasets available in the literature to evaluate and compare calibration methods. Moreover they are usually treated separately and tested on dedicated setups. In this paper, we propose a general standard dataset acquired in a robotic workcell where calibration methods can be evaluated in two use cases: camera network calibration and robot-world hand-eye calibration. The Multi-Eye To Robot Indoor Calibration (METRIC) dataset consists of over 10,000 synthetic and real images of ChAruCo and checkerboard patterns, each one rigidly attached to the robot end-effector, which was moved in front of four cameras surrounding the manipulator from different viewpoints during the image acquisition. The real images in the dataset includes several multi-view image sets captured by three different types of sensor networks: Microsoft Kinect V2, Intel RealSense Depth D455 and Intel RealSense Lidar L515, to evaluate their advantages and disadvantages for calibration. Furthermore, in order to accurately analyze the effect of camera-robot distance on calibration, we acquired a comprehensive synthetic dataset, with related ground truth, with three different camera network setups corresponding to three levels of calibration difficulty depending on the cell size. An additional contribution of this work is to provide a comprehensive evaluation of state-of-the-art calibration methods using our dataset, highlighting their strengths and weaknesses, in order to outline two benchmarks for the two aforementioned use cases. Full article
(This article belongs to the Special Issue Computer Vision, Pattern Recognition and Machine Learning in Italy)
Show Figures

Figure 1

15 pages, 5813 KB  
Article
Improving Robotic Bin-Picking Performances through Human–Robot Collaboration
by Giovanni Boschetti, Teresa Sinico and Alberto Trevisani
Appl. Sci. 2023, 13(9), 5429; https://doi.org/10.3390/app13095429 - 26 Apr 2023
Cited by 9 | Viewed by 4964
Abstract
The automation of bin-picking processes has been a research topic for almost two decades. General-purpose equipment, however, still does not show adequate success rates to find application in most industrial tasks. Human–robot collaboration in bin–picking tasks can increase the success rate by exploiting [...] Read more.
The automation of bin-picking processes has been a research topic for almost two decades. General-purpose equipment, however, still does not show adequate success rates to find application in most industrial tasks. Human–robot collaboration in bin–picking tasks can increase the success rate by exploiting human perception and handling skills and the robot ability to perform repetitive tasks. The aim of this paper, starting from a general-purpose industrial bin picking equipment comprising a 3D–structured light vision system and a collaborative robot, consists in enhancing its performance and possible applications through human–robot collaboration. To achieve successful and fluent human–robot collaboration, the robotic workcell must meet some hardware and software requirements that are defined below. The proposed strategy is tested in some sample tests: the results of the experimental tests show that collaborative functions can be particularly useful to overcome typical bin picking failures and to improve the fault tolerance of the system, increasing its flexibility and reducing downtimes. Full article
(This article belongs to the Special Issue Trajectory Planning for Intelligent Robotic and Mechatronic Systems)
Show Figures

Figure 1

14 pages, 11526 KB  
Article
Planning Collision-Free Robot Motions in a Human–Robot Shared Workspace via Mixed Reality and Sensor-Fusion Skeleton Tracking
by Saverio Farsoni, Jacopo Rizzi, Giulia Nenna Ufondu and Marcello Bonfè
Electronics 2022, 11(15), 2407; https://doi.org/10.3390/electronics11152407 - 1 Aug 2022
Cited by 6 | Viewed by 3158
Abstract
The paper describes a method for planning collision-free motions of an industrial manipulator that shares the workspace with human operators during a human–robot collaborative application with strict safety requirements. The proposed workflow exploits the advantages of mixed reality to insert real entities into [...] Read more.
The paper describes a method for planning collision-free motions of an industrial manipulator that shares the workspace with human operators during a human–robot collaborative application with strict safety requirements. The proposed workflow exploits the advantages of mixed reality to insert real entities into a virtual scene, wherein the robot control command is computed and validated by simulating robot motions without risks for the human. The proposed motion planner relies on a sensor-fusion algorithm that improves the 3D perception of the humans inside the robot workspace. Such an algorithm merges the estimations of the pose of the human bones reconstructed by means of a pointcloud-based skeleton tracking algorithm with the orientation data acquired from wearable inertial measurement units (IMUs) supposed to be fixed to the human bones. The algorithm provides a final reconstruction of the position and of the orientation of the human bones that can be used to include the human in the virtual simulation of the robotic workcell. A dynamic motion-planning algorithm can be processed within such a mixed-reality environment, allowing the computation of a collision-free joint velocity command for the real robot. Full article
Show Figures

Figure 1

20 pages, 7471 KB  
Article
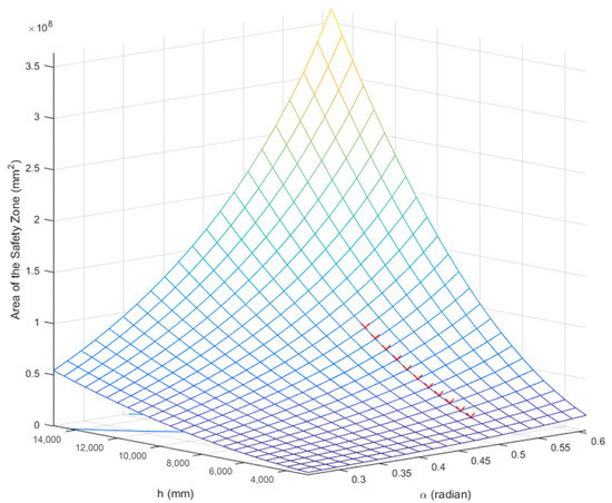
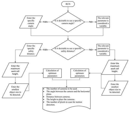
Design and Validation of a Camera-Based Safety System for Fenceless Robotic Work Cells
by Merdan Ozkahraman, Cuneyt Yilmaz and Haydar Livatyali
Appl. Sci. 2021, 11(24), 11679; https://doi.org/10.3390/app112411679 - 9 Dec 2021
Cited by 1 | Viewed by 3237
Abstract
A two-dimensional (2-D) camera system with a real-time image processing-based safety technology is a cost-effective alternative that needs optimization of the cell layout, the number of cameras, and the camera’s locations and orientations. A design optimization study was performed using the multi-criteria linear [...] Read more.
A two-dimensional (2-D) camera system with a real-time image processing-based safety technology is a cost-effective alternative that needs optimization of the cell layout, the number of cameras, and the camera’s locations and orientations. A design optimization study was performed using the multi-criteria linear fractional programming method and considering the number of cameras, the resolution, as well as camera positions and orientations. A table-top experimental setup was designed and built to test the effectiveness of the optimized design using two cameras. The designs at optimal and nonoptimal parameters were compared using a deep learning algorithm, ResNet-152. To eliminate blind spots, a simple but novel 2-D image merging technique was proposed as an alternative to commonly employed stereo imaging methods. Verification experiments were conducted by using two camera resolutions with two graphic processors under varying illuminance. It was validated that high-speed entrances to the safety system were detected reliably and with a 0.1 s response time. Moreover, the system was proven to work effectively at a minimum illuminance of 120 lux, while commercial systems cannot be operated under 400 lux. After determining the most appropriate 2-D camera type, positions, and angles within the international standards, the most cost-effective solution set with a performance-to-price ratio up to 15 times higher than high-cost 3-D camera systems was proposed and validated. Full article
Show Figures

Figure 1

14 pages, 4238 KB  
Letter
Camera-Based Method for Identification of the Layout of a Robotic Workcell
by Daniel Huczala, Petr Oščádal, Tomáš Spurný, Aleš Vysocký, Michal Vocetka and Zdenko Bobovský
Appl. Sci. 2020, 10(21), 7679; https://doi.org/10.3390/app10217679 - 30 Oct 2020
Cited by 11 | Viewed by 4502
Abstract
In this paper, a new method for the calibration of robotic cell components is presented and demonstrated by identification of an industrial robotic manipulator’s base and end-effector frames in a workplace. It is based on a mathematical approach using a Jacobian matrix. In [...] Read more.
In this paper, a new method for the calibration of robotic cell components is presented and demonstrated by identification of an industrial robotic manipulator’s base and end-effector frames in a workplace. It is based on a mathematical approach using a Jacobian matrix. In addition, using the presented method, identification of other kinematic parameters of a robot is possible. The Universal Robot UR3 was later chosen to prove the working principle in both simulations and experiment, with a simple repeatable low-cost solution for such a task—image analysis to detect tag markers. The results showing the accuracy of the system are included and discussed. Full article
Show Figures

Figure 1

23 pages, 8315 KB  
Article
An Ontology-Based Approach to Enable Knowledge Representation and Reasoning in Worker–Cobot Agile Manufacturing
by Ahmed R. Sadik and Bodo Urban
Future Internet 2017, 9(4), 90; https://doi.org/10.3390/fi9040090 - 24 Nov 2017
Cited by 55 | Viewed by 10706
Abstract
There is no doubt that the rapid development in robotics technology has dramatically changed the interaction model between the Industrial Robot (IR) and the worker. As the current robotic technology has afforded very reliable means to guarantee the physical safety of the worker [...] Read more.
There is no doubt that the rapid development in robotics technology has dramatically changed the interaction model between the Industrial Robot (IR) and the worker. As the current robotic technology has afforded very reliable means to guarantee the physical safety of the worker during a close proximity interaction with the IR. Therefore, new forms of cooperation between the robot and the worker can now be achieved. Collaborative/Cooperative robotics is the new branch of industrial robotics which empowers the idea of cooperative manufacturing. Cooperative manufacturing significantly depends on the existence of a collaborative/cooperative robot (cobot). A cobot is usually a Light-Weight Robot (LWR) which is capable of operating safely with the human co-worker in a shared work environment. This is in contrast with the conventional IR which can only operate in isolation from the worker workspace, due to the fact that the conventional IR can manipulate very heavy objects, which makes it so dangerous to operate in direct contact with the worker. There is a slight difference between the definition of collaboration and cooperation in robotics. In cooperative robotics, both the worker and the robot are performing tasks over the same product in the same shared workspace but not simultaneously. Collaborative robotics has a similar definition, except that the worker and the robot are performing a simultaneous task. Gathering the worker and the cobot in the same manufacturing workcell can provide an easy and cheap method to flexibly customize the production. Moreover, to adapt with the production demands in the real time of production, without the need to stop or to modify the production operations. There are many challenges and problems that can be addressed in the cooperative manufacturing field. However, one of the most important challenges in this field is the representation of the cooperative manufacturing environment and components. Thus, in order to accomplish the cooperative manufacturing concept, a proper approach is required to describe the shared environment between the worker and the cobot. The cooperative manufacturing shared environment includes the cobot, the co-worker, and other production components such as the product itself. Furthermore, the whole cooperative manufacturing system components need to communicate and share their knowledge, to reason and process the shared information, which eventually gives the control solution the capability of obtaining collective manufacturing decisions. Putting into consideration that the control solution should also provide a natural language which is human readable and in the same time can be understood by the machine (i.e., the cobot). Accordingly, a distributed control solution which combines an ontology-based Multi-Agent System (MAS) and a Business Rule Management System (BRMS) is proposed, in order to solve the mentioned challenges in the cooperative manufacturing, which are: manufacturing knowledge representation, sharing, and reasoning. Full article
Show Figures

Figure 1

15 pages, 1962 KB  
Article
Flow Shop Scheduling Problem and Solution in Cooperative Robotics—Case-Study: One Cobot in Cooperation with One Worker
by Ahmed R. Sadik and Bodo Urban
Future Internet 2017, 9(3), 48; https://doi.org/10.3390/fi9030048 - 16 Aug 2017
Cited by 21 | Viewed by 7958
Abstract
This research combines between two different manufacturing concepts. On the one hand, flow shop scheduling is a well-known problem in production systems. The problem appears when a group of jobs shares the same processing sequence on two or more machines sequentially. Flow shop [...] Read more.
This research combines between two different manufacturing concepts. On the one hand, flow shop scheduling is a well-known problem in production systems. The problem appears when a group of jobs shares the same processing sequence on two or more machines sequentially. Flow shop scheduling tries to find the appropriate solution to optimize the sequence order of this group of jobs over the existing machines. The goal of flow shop scheduling is to obtain the continuity of the flow of the jobs over the machines. This can be obtained by minimizing the delays between two consequent jobs, therefore the overall makespan can be minimized. On the other hand, collaborative robotics is a relatively recent approach in production where a collaborative robot (cobot) is capable of a close proximity cooperation with the human worker to increase the manufacturing agility and flexibility. The simplest case-study of a collaborative workcell is one cobot in cooperation with one worker. This collaborative workcell can be seen as a special case of the shop flow scheduling problem, where the required time from the worker to perform a specific job is unknown and variable. Therefore, during this research, we implement an intelligent control solution which can optimize the flow shop scheduling problem over the previously mentioned case-study. Full article
Show Figures

Figure 1

18 pages, 2900 KB  
Article
Combining Adaptive Holonic Control and ISA-95 Architectures to Self-Organize the Interaction in a Worker-Industrial Robot Cooperative Workcell
by Ahmed R. Sadik and Bodo Urban
Future Internet 2017, 9(3), 35; https://doi.org/10.3390/fi9030035 - 14 Jul 2017
Cited by 7 | Viewed by 8707
Abstract
Self-Organization is a spontaneous trend which exists in nature among different organisms. Self-organization refers to the process where some form of an overall order arises in a group due to the local interaction among the members of this group. In manufacturing, a similar [...] Read more.
Self-Organization is a spontaneous trend which exists in nature among different organisms. Self-organization refers to the process where some form of an overall order arises in a group due to the local interaction among the members of this group. In manufacturing, a similar definition of a Reconfigurable Manufacturing System (RMS) can be found. RMS is a system where the production components and functions can be modified, rearranged and/or interchanged in a timely and cost-effective manner to quickly respond to the production requirements. The definition of the RMS concept implies that the self-organization is an important key factor to fulfil that concept. A case study where a cooperation among a variable number of Industrial Robots (IRs) and workers is studied to show the importance of the research problem. The goal of the paper is to offer a suitable generic control and interaction architecture solution model, which obtains the self-organization from the RMS point of view. Ultimately, applying the proposed solution concept to the case study. Full article
Show Figures

Figure 1

16 pages, 3535 KB  
Article
Sustainability Enhancement of a Turbine Vane Manufacturing Cell through Digital Simulation-Based Design
by Alessandra Caggiano, Adelaide Marzano and Roberto Teti
Energies 2016, 9(10), 790; https://doi.org/10.3390/en9100790 - 29 Sep 2016
Cited by 17 | Viewed by 5714
Abstract
Modern manufacturing systems should satisfy emerging needs related to sustainable development. The design of sustainable manufacturing systems can be valuably supported by simulation, traditionally employed mainly for time and cost reduction. In this paper, a multi-purpose digital simulation approach is proposed to deal [...] Read more.
Modern manufacturing systems should satisfy emerging needs related to sustainable development. The design of sustainable manufacturing systems can be valuably supported by simulation, traditionally employed mainly for time and cost reduction. In this paper, a multi-purpose digital simulation approach is proposed to deal with sustainable manufacturing systems design through Discrete Event Simulation (DES) and 3D digital human modelling. DES models integrated with data on power consumption of the manufacturing equipment are utilized to simulate different scenarios with the aim to improve productivity as well as energy efficiency, avoiding resource and energy waste. 3D simulation based on digital human modelling is employed to assess human factors issues related to ergonomics and safety of manufacturing systems. The approach is implemented for the sustainability enhancement of a real manufacturing cell of the aerospace industry, automated by robotic deburring. Alternative scenarios are proposed and simulated, obtaining a significant improvement in terms of energy efficiency (−87%) for the new deburring cell, and a reduction of energy consumption around −69% for the coordinate measuring machine, with high potential annual energy cost savings and increased energy efficiency. Moreover, the simulation-based ergonomic assessment of human operator postures allows 25% improvement of the workcell ergonomic index. Full article
(This article belongs to the Special Issue Energy Saving Design for Manufacturing Process, Product, and System)
Show Figures

Figure 1

12 pages, 935 KB  
Article
Further Improvements of an End-Effector for Robotic Assembly of Polymer Electrolyte Membrane Fuel Cells
by Vladimir Gurau and Terri Armstrong-Koch
Energies 2015, 8(9), 9452-9463; https://doi.org/10.3390/en8099452 - 1 Sep 2015
Cited by 12 | Viewed by 6815
Abstract
This paper presents a technology for robotic assembly of Polymer Electrolyte Membrane Fuel Cells (PEMFCs). We describe the most recent configuration of the end-effector used for robotic assembly of PEMFCs, the robot workcell, the fuel cell components and the method of automated assembling [...] Read more.
This paper presents a technology for robotic assembly of Polymer Electrolyte Membrane Fuel Cells (PEMFCs). We describe the most recent configuration of the end-effector used for robotic assembly of PEMFCs, the robot workcell, the fuel cell components and the method of automated assembling fuel cell stacks. In this second generation of end-effector and workcell designs, the productivity of the automated assembly process and the capability of the robot to assemble larger scale fuel cell stacks have been improved. The advantage of the technology presented here consists in its low cost, its simplicity, in its capability of rapidly assembling fuel cell stacks containing a large number of cells due to a passive compliance system of the end-effector and in its capability of accurately aligning the fuel cell components in the stack. Full article
(This article belongs to the Special Issue Polymer Electrolyte Membrane Fuel Cells 2015)
Show Figures

Graphical abstract

Back to TopTop