Sign in to use this feature.

Years

Between: -

Subjects

remove_circle_outline
remove_circle_outline
remove_circle_outline
remove_circle_outline
remove_circle_outline
remove_circle_outline
remove_circle_outline
remove_circle_outline
remove_circle_outline

Journals

remove_circle_outline
remove_circle_outline
remove_circle_outline
remove_circle_outline
remove_circle_outline
remove_circle_outline
remove_circle_outline
remove_circle_outline
remove_circle_outline
remove_circle_outline
remove_circle_outline

Article Types

Countries / Regions

remove_circle_outline
remove_circle_outline
remove_circle_outline
remove_circle_outline

Search Results (338)

Search Parameters:
Keywords = realistic appearance

Order results
Result details
Results per page
Select all
Export citation of selected articles as:
6 pages, 216 KB  
Comment
Comment on Iacobescu et al. Evaluating Binary Classifiers for Cardiovascular Disease Prediction: Enhancing Early Diagnostic Capabilities. J. Cardiovasc. Dev. Dis. 2024, 11, 396
by Mohamed Eltawil, Laura Byham-Gray, Yuane Jia, Neil Mistry, James Parrott and Suril Gohel
J. Cardiovasc. Dev. Dis. 2026, 13(1), 46; https://doi.org/10.3390/jcdd13010046 - 13 Jan 2026
Viewed by 27
Abstract
Machine learning is increasingly applied to cardiovascular disease prediction yet reported performance metrics often appear implausibly high due to methodological errors. Recent work has reported nearly perfect predictive accuracy (≈99%) using a k-Nearest Neighbors (kNN) model on CDC heart-disease data. Such performance greatly [...] Read more.
Machine learning is increasingly applied to cardiovascular disease prediction yet reported performance metrics often appear implausibly high due to methodological errors. Recent work has reported nearly perfect predictive accuracy (≈99%) using a k-Nearest Neighbors (kNN) model on CDC heart-disease data. Such performance greatly exceeds typical BRFSS-based benchmarks and strongly indicates data leakage. In this commentary, we replicate and re-analyze the original workflow, showing that the authors applied the SMOTE-ENN resampling method prior to the train/test split, thereby allowing synthetic data generated from the full dataset to contaminate the test set. Combined with an excessively small neighborhood parameter (k = 2), this produced misleadingly high accuracy. It is noted that (1) with SMOTE-ENN performed globally, synthetic samples appear nearly identical to test points, leading to near-perfect classification, and (2) this kNN choice is unusually small for a dataset of this scale and further amplifies leakage bias. Correcting the workflow by restricting oversampling to the training data or using undersampling restores realistic results, reducing predictive accuracy to approximately 80%, confirming the inflation caused by pre-split resampling and aligning with literature norms. This case underscores the critical importance of rigorous validation, transparent reporting, and leakage-free pipelines in medical AI. We outline practical guidelines for avoiding such pitfalls and ensuring reproducible, realistic, and clinically reliable machine-learning studies. Full article
22 pages, 1194 KB  
Article
Magnesian Calcite and Dolomite in the Krečana Marble (Bukulja–Venčac Area, Central Serbia): A Possible Modification for Geothermometry Application Purposes?
by Pavle Tančić, Željko Cvetković, Ivana Jovanić and Darko Spahić
Geosciences 2026, 16(1), 35; https://doi.org/10.3390/geosciences16010035 - 8 Jan 2026
Viewed by 209
Abstract
The chemical compositions and formation temperatures of magnesian calcite and dolomite were estimated by using the combination of chemical analysis, crystallographic parameters, and a plethora of various diagrams and mathematical calculations. This study presents an example of the calculated crystallo-chemical formula (Ca0.960 [...] Read more.
The chemical compositions and formation temperatures of magnesian calcite and dolomite were estimated by using the combination of chemical analysis, crystallographic parameters, and a plethora of various diagrams and mathematical calculations. This study presents an example of the calculated crystallo-chemical formula (Ca0.960Mg0.039Fe0.001)CO3, obtained from chemical analysis on a representative marble sample from the Bukulja–Venčac area in central Serbia. Substituting CaCO3 with MgCO3 and FeCO3 in dolomite adds approximately 3–5 mol. %, enhancing the classification and indicating that it is more accurately identified as magnesium-excess dolomite. The estimated formation temperature of magnesian calcite (1) is approximately 528 °C, whereas magnesian calcite (2) forms at about 341 °C. The ~187 °C difference corresponds to ~3.28 mol. % MgCO3 (~7.18% dolomite), reflecting the distinction between magnesian calcite (1) and magnesian calcite (2). Considering the presence of the submicroscopic intergrowth and exsolution of dolomite within magnesian calcite (1), which are further subdivided in magnesian calcite (2), the estimated formation temperature of ~341 °C appears to be more realistic. The synthesis of the results suggests that this combined method could be helpful in the geothermometry of marble samples after the treatment with acetic acid. However, despite the promising results, additional experiments are necessary to validate the proposed modified geothermometry approach. Full article
Show Figures

Figure 1

27 pages, 4646 KB  
Article
Early Tuberculosis Detection via Privacy-Preserving, Adaptive-Weighted Deep Models
by Karim Gasmi, Afrah Alanazi, Najib Ben Aoun, Mohamed O. Altaieb, Alameen E. M. Abdalrahman, Omer Hamid, Sahar Almenwer, Lassaad Ben Ammar, Samia Yahyaoui and Manel Mrabet
Diagnostics 2026, 16(2), 204; https://doi.org/10.3390/diagnostics16020204 - 8 Jan 2026
Viewed by 137
Abstract
Background: Tuberculosis (TB) is a significant global health issue, particularly in resource-limited regions where radiological expertise is constrained. This project aims to develop a scalable deep learning system that safeguards privacy and achieves high accuracy in the early identification of tuberculosis using chest [...] Read more.
Background: Tuberculosis (TB) is a significant global health issue, particularly in resource-limited regions where radiological expertise is constrained. This project aims to develop a scalable deep learning system that safeguards privacy and achieves high accuracy in the early identification of tuberculosis using chest X-ray images. The objective is to implement federated learning with an adaptive-weighted ensemble optimised by a Genetic Algorithm (GA) to address the challenges of centralised training and single-model approaches. Method: We developed an ensemble learning method that combines multiple locally trained models to improve diagnostic consistency and reduce individual-model bias. An optimisation system that autonomously selected the optimal ensemble weights determined each model’s contribution to the final decision. A controlled augmentation process was employed to enhance the model’s robustness and reduce the likelihood of overfitting by introducing realistic alterations to appearance, geometry, and acquisition conditions. Federated learning facilitated collaboration among universities for training while ensuring data privacy was maintained during the establishment of the optimal ensemble at each location. In this system, just model parameters were transmitted, excluding patient photographs. This enabled the secure amalgamation of global data without revealing sensitive clinical information. Standard diagnostic metrics, including accuracy, sensitivity, precision, F1 score, AUC, and confusion matrices, were employed to evaluate the model’s performance. Results: The proposed federated, GA-optimized ensemble demonstrated superior performance compared with individual models and fixed-weight ensembles. The system achieved 98% accuracy, 97% F1 score, and 0.999 AUC, indicating highly reliable discrimination between TB-positive and typical cases. Federated learning preserved model robustness across heterogeneous data sources, while ensuring complete patient privacy. Conclusions: The proposed federated, GA-optimized ensemble achieves highly accurate and robust early tuberculosis detection while preserving patient privacy across distributed clinical sites. This scalable framework demonstrates strong potential for reliable AI-assisted TB screening in resource-limited healthcare settings. Full article
(This article belongs to the Special Issue Tuberculosis Detection and Diagnosis 2025)
Show Figures

Figure 1

24 pages, 666 KB  
Review
Green Extraction at Scale: Hydrodynamic Cavitation for Bioactive Recovery and Protein Functionalization—A Narrative Review
by Francesco Meneguzzo, Federica Zabini and Lorenzo Albanese
Molecules 2026, 31(1), 192; https://doi.org/10.3390/molecules31010192 - 5 Jan 2026
Viewed by 344
Abstract
Hydrodynamic cavitation (HC) is a green and readily scalable platform for the recovery and upgrading of bioactives from agri-food and forestry byproducts. This expert-led narrative review examines HC processing of citrus and pomegranate peels, softwoods, and plant protein systems, emphasizing process performance, ingredient [...] Read more.
Hydrodynamic cavitation (HC) is a green and readily scalable platform for the recovery and upgrading of bioactives from agri-food and forestry byproducts. This expert-led narrative review examines HC processing of citrus and pomegranate peels, softwoods, and plant protein systems, emphasizing process performance, ingredient functionality, and realistic routes to market, and contrasts HC with other green extraction technologies. Pilot-scale evidence repeatedly supports water-only operation with high solids and short residence times; in most practical deployments, energy demand is dominated by downstream water removal rather than the extraction step itself, which favors low water-to-biomass ratios. A distinctive outcome of HC is the spontaneous formation of stable pectin–flavonoid–terpene phytocomplexes with improved apparent solubility and bioaccessibility, and early studies indicate that HC may also facilitate protein–polyphenol complexation while lowering anti-nutritional factors. Two translational pathways appear near term: (i) blending HC-derived dry extracts with commercial dry protein isolates to deliver measurable functional benefits at low inclusion levels and (ii) HC-based extraction of plant proteins to obtain digestion-friendly isolates and conjugate-ready ingredients. Priority gaps include harmonized reporting of specific energy consumption and operating metrics, explicit solvent/byproduct mass balances, matched-scale benchmarking against subcritical water extraction and pulsed electric field, and evidence from continuous multi-ton operation. Overall, HC is a strong candidate unit operation for circular biorefineries, provided that energy accounting, quality retention, and regulatory documentation are handled rigorously. Full article
(This article belongs to the Special Issue Bioproducts for Health, 4th Edition)
Show Figures

Graphical abstract

30 pages, 482 KB  
Article
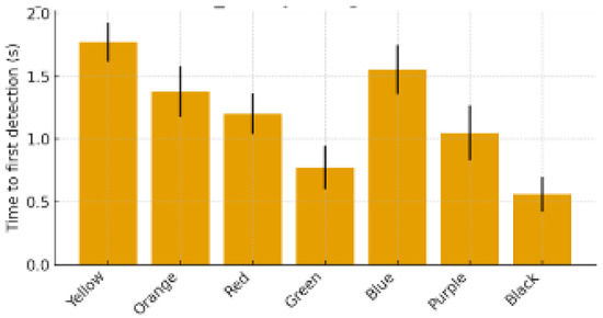
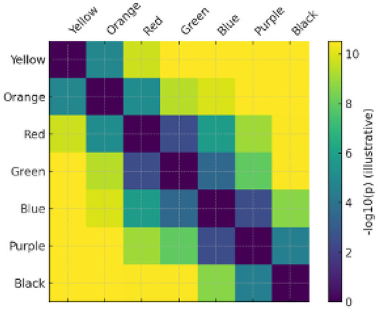
Chromatic Asymmetry in Visual Attention: Dissociable Effects of Background Color on Capture and Processing During Reading—An Eye-Tracking Study
by Ana Teixeira, Pedro Martins, Sónia Brito-Costa and Maryam Abbasi
Symmetry 2026, 18(1), 76; https://doi.org/10.3390/sym18010076 - 2 Jan 2026
Viewed by 179
Abstract
Visual attention mechanisms are modulated by chromatic properties of the environment, with significant implications for human–computer interaction, interface design, and cognitive ergonomics. Despite extensive research on color perception, a critical gap remains in understanding how background colors differentially affect initial attentional capture versus [...] Read more.
Visual attention mechanisms are modulated by chromatic properties of the environment, with significant implications for human–computer interaction, interface design, and cognitive ergonomics. Despite extensive research on color perception, a critical gap remains in understanding how background colors differentially affect initial attentional capture versus sustained processing efficiency during text reading. This study investigates how seven different background colors (yellow, orange, red, green, blue, purple, and black) influence visual attention and cognitive load during standardized reading tasks with white text, revealing a fundamental asymmetry in chromatic processing stages. Using high-frequency eye-tracking at 120 Hz with 30 participants in a within-subjects design, we measured time-to-first fixation, total viewing duration, fixation count, and revisitation frequency across chromatic conditions. Non-parametric statistical analyses (Friedman test for omnibus comparisons, Wilcoxon signed-rank test for pairwise comparisons) revealed a systematic dissociation between preattentive capture and sustained processing. Yellow backgrounds enabled the fastest initial attentional capture (0.65 s), while black backgrounds produced the slowest detection (1.75 s). However, this pattern reversed during sustained processing: black backgrounds enabled the shortest total viewing time (0.88 s) through efficient information sampling (median 5.0 fixations), while yellow required the longest viewing duration (1.75 s) with fewer fixations (median 3.0). Statistical comparisons confirmed significant differences across conditions (Friedman test: χ2(6)=138.4154.2, all p<0.001; pairwise comparisons with Bonferroni correction: α=0.0024). We note that luminance and chromatic contrast were not independently controlled, as colors inherently vary in both dimensions in realistic interface design. Consequently, the observed effects reflect the combined influence of hue, saturation, and luminance contrast as they naturally co-occur. These findings reveal a descriptive pattern consistent with functionally distinct mechanisms, where chromatic salience appears to facilitate preattentive capture while luminance contrast appears to determine sustained processing efficiency, with optimal colors for one stage being suboptimal for the other under the present experimental conditions. This observed chromatic asymmetry suggests potential implications for interface design: warm colors like yellow may optimize rapid attention capture for alerts and warnings, while high-contrast combinations like white-on-black may optimize sustained reading efficiency, though these preliminary patterns require validation across diverse contexts. Green and purple backgrounds offer balanced performance across both processing stages, representing near-symmetric solutions suitable for mixed-task interfaces. Given the controlled laboratory setting, university student sample, and 15 s exposure duration, design recommendations should be considered preliminary and validated in diverse real-world contexts. Full article
Show Figures

Figure 1

25 pages, 2074 KB  
Article
Electromobility Implementation Challenges and Opportunities in Urban Parcel Delivery: A Case Study of a Fictive Delivery Company in Miskolc
by János Juhász
Urban Sci. 2026, 10(1), 20; https://doi.org/10.3390/urbansci10010020 - 1 Jan 2026
Viewed by 210
Abstract
The growing demand for parcel delivery plays an important role in the integration of electromobility and urban logistics into urban delivery systems, especially in a mid-sized Central European city. This study investigates the challenges and opportunities of adopting electric vehicles (EVs) for last-mile [...] Read more.
The growing demand for parcel delivery plays an important role in the integration of electromobility and urban logistics into urban delivery systems, especially in a mid-sized Central European city. This study investigates the challenges and opportunities of adopting electric vehicles (EVs) for last-mile delivery in the Miskolc region, Hungary. The author introduces a practical approach to describe the cost-based optimization of urban parcel delivery, formulated as an Electric Vehicle Routing Problem (EV-VRP) that builds on classical Vehicle Routing Problem (VRP) concepts. The developed model focuses on route and vehicle allocation and examines the impact of charging infrastructure and fleet composition on delivery performance, while explicitly evaluating five cost categories: vehicle (including maintenance and service), driver, infrastructure, operation center, and environmental energy. The numerical results validate the model and show that partial fleet electrification can improve cost efficiency and reduce environmental impact even in regions with limited charging capacity. The proposed approach makes it possible to analyze the operational costs of electromobility strategies on last-mile logistics under realistic routing, capacity, and energy constraints. The results confirm that the integration of electric vehicles into city logistics can contribute to more flexible, sustainable, and cost-effective delivery systems. The numerical analysis shows that under the conditions examined, the model results in approximately 20% lower total operational cost compared to the conventional vehicle fleet operating under similar conditions. The cost structure is dominated by labor and vehicle-related components, while infrastructure, operational management, and environmental–energy factors appear with lower intensity. Full article
Show Figures

Figure 1

20 pages, 22393 KB  
Article
Privacy Beyond the Face: Assessing Gait Privacy Through Realistic Anonymization in Industrial Monitoring
by Sarah Weiß, Christopher Bonenberger, Tobias Niedermaier, Maik Knof and Markus Schneider
Sensors 2026, 26(1), 187; https://doi.org/10.3390/s26010187 - 27 Dec 2025
Viewed by 450
Abstract
In modern industrial environments, camera-based monitoring is essential for workflow optimization, safety, and process control, yet it raises significant privacy concerns when people are recorded. Realistic full-body anonymization offers a potential solution by obscuring visual identity while preserving information needed for automated analysis. [...] Read more.
In modern industrial environments, camera-based monitoring is essential for workflow optimization, safety, and process control, yet it raises significant privacy concerns when people are recorded. Realistic full-body anonymization offers a potential solution by obscuring visual identity while preserving information needed for automated analysis. Whether such methods also conceal biometric traits from human pose and gait remains uncertain, although these biomarkers enable person identification without appearance cues. This study investigates the impact of full-body anonymization on gait-related identity recognition using DeepPrivacy2 and a custom CCTV-like industrial dataset comprising original and anonymized sequences. This study provides the first systematic evaluation of whether pose-preserving anonymization disrupts identity-relevant gait characteristics. The analysis quantifies keypoint shifts introduced by anonymization, examines their influence on downstream gait-based person identification, and tests cross-domain linkability between original and anonymized recordings. Identification accuracy, domain transfer between data types, and distortions in derived pose keypoints are measured to assess anonymization effects while retaining operational utility. Findings show that anonymization removes appearance but leaves gait identity largely intact, indicating that pose-driven anonymization is insufficient for privacy protection. Effective privacy requires anonymization strategies that explicitly target gait characteristics or incorporate domain-adaptation mechanisms. Full article
(This article belongs to the Special Issue Artificial Intelligence and Sensing Technology in Smart Manufacturing)
Show Figures

Figure 1

16 pages, 256 KB  
Article
Internet and Decorporation: Sensory Reconfigurations of the Body in the Techno-Realist Age
by Anamaria Filimon-Benea and Ioana Vid
Religions 2026, 17(1), 2; https://doi.org/10.3390/rel17010002 - 19 Dec 2025
Viewed by 342
Abstract
This article examines how Internet technologies reconfigure human sensory experience and induce decorporation—the experiential dissociation of consciousness from the physical body. Drawing on Marshall McLuhan’s media theory and theological anthropology, the study demonstrates that digital immersion amplifies certain senses (vision, hearing) while anesthetizing [...] Read more.
This article examines how Internet technologies reconfigure human sensory experience and induce decorporation—the experiential dissociation of consciousness from the physical body. Drawing on Marshall McLuhan’s media theory and theological anthropology, the study demonstrates that digital immersion amplifies certain senses (vision, hearing) while anesthetizing others (touch, kinesthesia), disrupting the sensory balance essential to integrated human perception. This sensory reconfiguration, combined with prolonged physical stasis before screens, produces a dualistic self-experience wherein consciousness appears detached from bodily existence. The analysis identifies ideological support for this phenomenon in transhumanist philosophies that reconceptualize personhood as information rather than embodied reality. Against these neo-gnostic visions, the article proposes a techno-realist framework grounded in Christian theological anthropology that affirms both technology’s formative power and the irreducible significance of embodied existence, calling for technological asceticism and practices preserving psychosomatic unity. Full article
(This article belongs to the Section Religions and Theologies)
21 pages, 6704 KB  
Article
A Methodology for Evaluating the Distribution of Dissolved Oxygen in Aquaculture Ponds: An Approach Based on In Situ Respirometry and Computational Fluid Dynamics
by Aylin Trujillo-Rogel, Iván Gallego-Alarcón, Boris Miguel López-Rebollar, David García-Mondragón, Iván Cervantes-Zepeda, Ricardo Arévalo-Mejía and Jesús Ramiro Félix-Félix
Aquac. J. 2026, 6(1), 1; https://doi.org/10.3390/aquacj6010001 - 19 Dec 2025
Viewed by 840
Abstract
Inefficient management of dissolved oxygen (DO) in intensive aquaculture systems limits fish welfare and productivity by creating oxygen-deficient zones and promoting hydrodynamic conditions that hinder their dispersion. Because water movement directly influences how oxygen is transported and mixed within the culture unit, inadequate [...] Read more.
Inefficient management of dissolved oxygen (DO) in intensive aquaculture systems limits fish welfare and productivity by creating oxygen-deficient zones and promoting hydrodynamic conditions that hinder their dispersion. Because water movement directly influences how oxygen is transported and mixed within the culture unit, inadequate flow management can allow localized hypoxia to persist even when total oxygen input appears sufficient. To address this issue, this study proposes an integrated methodology that combines in situ respirometry measurements with Computational Fluid Dynamics (CFD) simulations to evaluate the spatial distribution of DO and diagnose the operational performance of aquaculture systems. The methodology quantifies oxygen consumption using intermittent-flow respirometry, applies a three-dimensional two-phase CFD model (water–oxygen) incorporating experimental oxygen consumption rates as boundary conditions, and validates the model under real operating conditions, focusing on active metabolism as the most demanding physiological state. The model generates a spatial distribution of DO patterns that are significantly modified by pond geometry, water flow characteristics, the metabolism of the fish and fish positioning. The differences between experimental and simulated values ranged from 7.8% to 10.7%, confirming the accuracy of the proposed method. The integration of in situ metabolic measurements with CFD modeling provides a realistic representation of DO dynamics, enabling system optimization and promoting more efficient and sustainable aquaculture. Full article
Show Figures

Figure 1

20 pages, 3456 KB  
Article
RBF-Based Meshless Collocation Method for Time-Fractional Interface Problems with Highly Discontinuous Coefficients
by Faisal Bilal, Muhammad Asif, Mehnaz Shakeel and Ioan-Lucian Popa
Math. Comput. Appl. 2025, 30(6), 133; https://doi.org/10.3390/mca30060133 - 5 Dec 2025
Viewed by 497
Abstract
Time-fractional interface problems arise in systems where interacting materials exhibit memory effects or anomalous diffusion. These models provide a more realistic description of physical processes than classical formulations and appear in heat conduction, fluid flow, porous media diffusion, and electromagnetic wave propagation. However, [...] Read more.
Time-fractional interface problems arise in systems where interacting materials exhibit memory effects or anomalous diffusion. These models provide a more realistic description of physical processes than classical formulations and appear in heat conduction, fluid flow, porous media diffusion, and electromagnetic wave propagation. However, the presence of complex interfaces and the nonlocal nature of fractional derivatives makes their numerical treatment challenging. This article presents a numerical scheme that combines radial basis functions (RBFs) with the finite difference method (FDM) to solve time-fractional partial differential equations involving interfaces. The proposed approach applies to both linear and nonlinear models with constant or variable coefficients. Spatial derivatives are approximated using RBFs, while the Caputo definition is employed for the time-fractional term. First-order time derivatives are discretized using the FDM. Linear systems are solved via Gaussian elimination, and for nonlinear problems, two linearization strategies, a quasi-Newton method and a splitting technique, are implemented to improve efficiency and accuracy. The method’s performance is assessed using maximum absolute and root mean square errors across various grid resolutions. Numerical experiments demonstrate that the scheme effectively resolves sharp gradients and discontinuities while maintaining stability. Overall, the results confirm the robustness, accuracy, and broad applicability of the proposed technique. Full article
(This article belongs to the Special Issue Radial Basis Functions)
Show Figures

Figure 1

15 pages, 2020 KB  
Article
3D Human Reconstruction from Monocular Vision Based on Neural Fields and Explicit Mesh Optimization
by Kaipeng Wang, Xiaolong Xie, Wei Li, Jie Liu and Zhuo Wang
Electronics 2025, 14(22), 4512; https://doi.org/10.3390/electronics14224512 - 18 Nov 2025
Viewed by 1500
Abstract
Three-dimensional Human Reconstruction from Monocular Vision is a key technology in Virtual Reality and digital humans. It aims to recover the 3D structure and pose of the human body from 2D images or video. Current methods for dynamic 3D reconstruction of the human [...] Read more.
Three-dimensional Human Reconstruction from Monocular Vision is a key technology in Virtual Reality and digital humans. It aims to recover the 3D structure and pose of the human body from 2D images or video. Current methods for dynamic 3D reconstruction of the human body, which are based on monocular views, have low accuracy and remain a challenging problem. This paper proposes a fast reconstruction method based on Instant Human Model (IHM) generation, which achieves highly realistic 3D reconstruction of the human body in arbitrary poses. First, the efficient dynamic human body reconstruction method, InstantAvatar, is utilized to learn the shape and appearance of the human body in different poses. However, due to its direct use of low-resolution voxels as canonical spatial human representations, it is not possible to achieve satisfactory reconstruction results on a wide range of datasets. Next, a voxel occupancy grid is initialized in the A-pose, and a voxel attention mechanism module is constructed to enhance the reconstruction effect. Finally, the Instant Human Model (IHM) method is employed to define continuous fields on the surface, enabling highly realistic dynamic 3D human reconstruction. Experimental results show that, compared to the representative InstantAvatar method, IHM achieves a 0.1% improvement in SSIM and a 2% improvement in PSNR on the PeopleSnapshot benchmark dataset, demonstrating improvements in both reconstruction quality and detail. Specifically, IHM, through voxel attention mechanisms and Mesh adaptive iterative optimization, achieves highly realistic 3D mesh models of human bodies in various poses while ensuring efficiency. Full article
(This article belongs to the Special Issue 3D Computer Vision and 3D Reconstruction)
Show Figures

Graphical abstract

19 pages, 656 KB  
Article
Bias-Alleviated Zero-Shot Sports Action Recognition Enabled by Multi-Scale Semantic Alignment
by Qiang Zheng, Wen Qin, Fanyi Meng and Hongyang Liu
Symmetry 2025, 17(11), 1959; https://doi.org/10.3390/sym17111959 - 14 Nov 2025
Viewed by 440
Abstract
Zero-shot action recognition remains challenging due to the visual–semantic gap and the persistent bias toward seen classes, particularly under the generalized setting where both seen and unseen categories appear during inference. To address these issues, we propose Multi-Scale Semantic Alignment framework for Zero-Shot [...] Read more.
Zero-shot action recognition remains challenging due to the visual–semantic gap and the persistent bias toward seen classes, particularly under the generalized setting where both seen and unseen categories appear during inference. To address these issues, we propose Multi-Scale Semantic Alignment framework for Zero-Shot Sports Action Recognition (MSA-ZSAR), a framework that integrates a multi-scale spatiotemporal feature extractor to capture both coarse and fine-grained motion dynamics, a dual-branch semantic alignment strategy that adapts to different levels of semantic availability, and a bias-suppression mechanism to improve the balance between seen and unseen recognition. This design ensures that the model can effectively align visual features with semantic representations while alleviating overfitting to source classes. Extensive experiments demonstrate the effectiveness of the proposed framework. MSA-ZSAR achieves 52.8% unseen accuracy, 69.7% seen accuracy, and 61.3% harmonic mean, consistently surpassing prior approaches. These results confirm that the proposed framework delivers balanced and superior performance in realistic generalized zero-shot scenarios. Full article
(This article belongs to the Special Issue Application of Symmetry/Asymmetry and Machine Learning)
Show Figures

Figure 1

23 pages, 11803 KB  
Article
Rearward Seating Orientation Decreases Trust and Increases Motion Sickness in Autonomous Vehicles
by Leonhard Rottmann, Alina Waldmann, Aniella Johannsen and Mark Vollrath
Appl. Sci. 2025, 15(22), 12027; https://doi.org/10.3390/app152212027 - 12 Nov 2025
Viewed by 807
Abstract
As the development of autonomous vehicles (AVs) progresses, new seating arrangements are emerging. Face-to-face seating is common in SAE L4 AV concepts and is intended to facilitate social interaction during autonomous driving, enabling previously unfeasible non-driving related tasks (NDRTs). However, this is countered [...] Read more.
As the development of autonomous vehicles (AVs) progresses, new seating arrangements are emerging. Face-to-face seating is common in SAE L4 AV concepts and is intended to facilitate social interaction during autonomous driving, enabling previously unfeasible non-driving related tasks (NDRTs). However, this is countered by the unpopularity of rearward seating orientations, which is particularly pronounced in cars. In order to develop countermeasures to address this unpopularity, a deeper understanding of the underlying mechanisms is required. This study validates a model that predicts the acceptance of AVs and takes seating orientation into account. To this end, a study with N = 46 participants was conducted to investigate the influence of seating orientation on AV acceptance and related factors such as transparency, trust, and motion sickness. Additionally, internal human–machine interfaces (iHMIs) were evaluated in regard to their ability to compensate for the disadvantages of a rearward seating orientation. To achieve a realistic implementation of a fully functional SAE L4 AV, an experimental vehicle was equipped with a steering and pedal robot, performing self-driven journeys on a test track. The iHMIs provided information about upcoming maneuvers and detected road users. While engaged in a social NDRT, participants experienced a total of six journeys. Seating orientation and iHMI visualization were manipulated between journeys. Rearward-facing passengers showed lower levels of trust and higher levels of motion sickness than forward-facing passengers. However, the iHMIs had no effect on acceptance or related factors. Based on these findings, an updated version of the model is proposed, showing that rearward-facing passengers in autonomous vehicles pose a particular challenge for trust calibration and motion sickness mitigation. During NDRTs, iHMIs which depend on the attention of AV occupants for information transfer appear to be ineffective. Implications for future research and design of iHMIs to address this challenge are discussed. Full article
(This article belongs to the Special Issue Autonomous Vehicles: Advances and Prospects)
Show Figures

Figure 1

20 pages, 927 KB  
Article
Gamification in the Metaverse: How Design Attributes Shape User Preferences Across Age Groups
by Yunseul Choi, Dongnyok Shim, Yuri Park and Changjun Lee
J. Theor. Appl. Electron. Commer. Res. 2025, 20(4), 310; https://doi.org/10.3390/jtaer20040310 - 3 Nov 2025
Viewed by 745
Abstract
We examine how gamification attributes shape user preferences for metaverse platforms and how these relationships vary across age groups. Using rank-ordered logit on 304 metaverse users from the Korean Media Panel Survey, we code platform features into four domains—character customization, experience/skill systems, social [...] Read more.
We examine how gamification attributes shape user preferences for metaverse platforms and how these relationships vary across age groups. Using rank-ordered logit on 304 metaverse users from the Korean Media Panel Survey, we code platform features into four domains—character customization, experience/skill systems, social networking, and economic systems—and link them to stated preference rankings of leading services. Results show that realistic avatars and expressive behaviors are positively associated with preference, whereas complex body/environment customization is not. Within experience/skill systems, quest presence, content creation, and real-world–mirroring quests relate positively to preference, while excessive freedom/option breadth does not. In social networking, close interactions and group conversation capacity are valued, but rigid chat-window styles are not. Users also prefer low device dependency and real-world task utility. Age heterogeneity emerges: teens show stronger interest in appearance customization, whereas users in their twenties and thirties value mirroring quests, conversational freedom, and monetization. We provide design guidelines for segment-sensitive gamification and discuss implications for inclusive metaverse retail and service strategy. Full article
(This article belongs to the Section Digital Marketing and Consumer Experience)
Show Figures

Figure A1

20 pages, 286 KB  
Article
Knowledge and Opinions of Orthodox Clergy in Greece Regarding Religious Psychopathology
by Georgios Timotheos Chalkias
Religions 2025, 16(11), 1348; https://doi.org/10.3390/rel16111348 - 25 Oct 2025
Viewed by 554
Abstract
This study focuses on the knowledge and attitudes of Orthodox clergy in Greece regarding religious psychopathology, which refers to the complex phenomena where religious experiences or beliefs intersect with mental disorders. The sample included 125 clergy members with varying levels of education and [...] Read more.
This study focuses on the knowledge and attitudes of Orthodox clergy in Greece regarding religious psychopathology, which refers to the complex phenomena where religious experiences or beliefs intersect with mental disorders. The sample included 125 clergy members with varying levels of education and pastoral experience. The findings reveal significant gaps in the understanding of basic concepts of religious psychopathology, despite recognition of the need for collaboration with mental health professionals. Formal education proved to be a decisive factor in understanding religious psychopathology, as clergy with higher educational levels demonstrated significantly better knowledge. In contrast, clergy opinions towards mental health issues appeared to be shaped by multiple factors beyond education alone. Experience in collaboration with psychologists or psychiatrists was positively associated with higher knowledge levels and more realistic, positive attitudes toward managing religious psychopathology. Additionally, clergy who had direct experience with cases of religious psychopathology showed greater sensitivity and differentiated perspectives. The study highlights the urgent need to incorporate knowledge of religious psychopathology into theological education in Greece and to strengthen cooperation between the Church and mental health services. Such initiatives can improve pastoral care, reduce the stigma surrounding mental illness, and holistically support members of religious communities Full article
(This article belongs to the Special Issue Religiosity and Psychopathology)
Back to TopTop