Sign in to use this feature.

Years

Between: -

Subjects

remove_circle_outline
remove_circle_outline
remove_circle_outline
remove_circle_outline
remove_circle_outline
remove_circle_outline

Journals

Article Types

Countries / Regions

Search Results (9)

Search Parameters:
Keywords = pyro-GC-MS

Order results
Result details
Results per page
Select all
Export citation of selected articles as:
18 pages, 1310 KB  
Article
Microplastics in River Water: Features of Analytical Methods for Quantitative Determination
by Yulia S. Sotnikova, Elena V. Karpova, Inna K. Shundrina, Aleksandra E. Osechkova, Dae Il Song, Andrey A. Nefedov, Aleksandr V. Sotnikov, Dmitriy N. Polovyanenko and Elena G. Bagryanskaya
Environments 2026, 13(1), 50; https://doi.org/10.3390/environments13010050 - 14 Jan 2026
Abstract
Microplastics, defined as particles up to 5 mm in size, present a significant environmental and health concern due to their ubiquity, capacity to accumulate in organisms, and potential to cause toxic effects, inflammation, and endocrine disruption. A major challenge in addressing this issue [...] Read more.
Microplastics, defined as particles up to 5 mm in size, present a significant environmental and health concern due to their ubiquity, capacity to accumulate in organisms, and potential to cause toxic effects, inflammation, and endocrine disruption. A major challenge in addressing this issue is the lack of a universal method for sample preparation and analysis across different environmental matrices. This study addresses this gap by applying a custom-developed method for isolating microplastics from freshwater, followed by a comparative analysis of their abundance using three techniques: spectral (μ-FTIR) and thermal (TGA and pyro-GC-MS). The study was conducted on water samples from the Ob River near Novosibirsk, a major industrial center in Siberia. Field processing entailed filtering 20 L water volumes through a polyamide fabric with a nominal 100 µm pore size. Subsequent characterization established that the entire population of detected particles fell within the 100 to 500 µm interval. The results revealed microplastic concentrations of 0–10,000 particles/m3 (μ-FTIR), 6–19 mg/m3 (TGA), and 0.47–2.96 mg/m3 (pyro-GC-MS). Critically, the data showed spatially variable contamination, with higher microplastic levels identified near industrial wastewater discharge stations and urban recreational areas. Full article
Show Figures

Graphical abstract

20 pages, 988 KB  
Article
Detection and Identification of Non-Labeled Polystyrene Nanoplastics in Rodent Tissues Using Asymmetric Flow Field-Flow Fractionation (AF4) Combined with UV–Vis, Dynamic Light Scattering (DLS) Detectors and Offline Pyrolysis–GCMS (Pyro-GCMS)
by Gurmit Singh, Ligia Velasquez, Chris Mason, Michal Scur, Kristen A. Marcellus and Santokh Gill
Microplastics 2026, 5(1), 2; https://doi.org/10.3390/microplastics5010002 - 1 Jan 2026
Viewed by 319
Abstract
Microplastic pollution is a growing global environmental and public health concern, driven by the increasing production and use of plastics. Due to their ubiquitous presence in the environment, humans and animals may be exposed to micro- and nanoplastics via several possible routes. For [...] Read more.
Microplastic pollution is a growing global environmental and public health concern, driven by the increasing production and use of plastics. Due to their ubiquitous presence in the environment, humans and animals may be exposed to micro- and nanoplastics via several possible routes. For micro- and nanoplastics, the development of standardized and validated methods remains an important area of progress to support human health risk assessments. In order to monitor micro/nanoplastics’ occurrence in organisms and the environment, it is necessary to develop accurate and reliable methods to quantify and characterize micro/nanoplastics from various biological and environmental matrices. In this study, an analytical, multi-platform approach was established to characterize and quantify polystyrene nanoplastics in biological samples through a combination of sample pre-concentration, asymmetric flow field-flow fractionation, ultraviolet–visible light, dynamic light scattering detectors and pyrolysis–gas chromatography–mass spectroscopy. Several digestion methods on various rodent tissues were tested and modified, and these led to the development of tissue-specific protocols to maximize yield. These digestion protocols were then combined with a new method of concentrating and retaining plastics to prevent the loss of submicron particles. For identification and quantification, known amounts of polystyrene nanoplastics were spiked into rodent tissues (intestine, kidney and liver). This was followed up by a mouse in vivo study consisting of a single dose of PS-NPs, followed by tissue collection, digestion and analysis. Polystyrene particles were detected in the liver and kidney, but not reliably in the intestinal tissues. Full article
Show Figures

Figure 1

16 pages, 2724 KB  
Article
The Modulatory Effect of Inhibitors on the Thermal Decomposition Performance of Graded Al@AP Composites
by Kan Xie, Jing Wang, Zhi-Yu Zhang, Bin Tian, Su-Lan Yang, Jingyu Lei and Ming-Hui Yu
Aerospace 2025, 12(4), 298; https://doi.org/10.3390/aerospace12040298 - 31 Mar 2025
Viewed by 893
Abstract
In this paper, a series of graded Al-based composites, including Al@AP, Al@AP/BM−52, and Al@AP/BPE−1735, have been prepared by spray drying technology. The thermal decomposition characteristics, kinetic parameters of the decomposition reaction, and Pyro-GC/MS products were comprehensively investigated. The results showed that two inhibitors, [...] Read more.
In this paper, a series of graded Al-based composites, including Al@AP, Al@AP/BM−52, and Al@AP/BPE−1735, have been prepared by spray drying technology. The thermal decomposition characteristics, kinetic parameters of the decomposition reaction, and Pyro-GC/MS products were comprehensively investigated. The results showed that two inhibitors, BM−52 and BPE−1735, had a significant effect on the thermal decomposition of AP. The addition of BM−52 conspicuously enhanced the thermal interaction, resulting in a more complete decomposition reaction of AP. Meanwhile, the incorporation of BPE−1735 significantly enhanced the heat releases of AP, leading to a significant enhancement in the energetic performance during the decomposition process of AP. BM−52 and BPE1735 inhibit AP decomposition as evidenced by higher activation energies for thermal decomposition and altered physical models of decomposition. Pyro-GC/MS results reveal that the fundamental pathway of Al@AP thermal decomposition remains unaltered by BM−52. However, the proportion of oxygen-containing compound products is moderately reduced. In contrast, for Al@AP/BPE−1735, in addition to the same products as those from Al@AP pyrolysis, new pyrolysis peaks emerge. It is implied that specific chemical reactions or interactions are triggered during the thermal decomposition process, thereby resulting in the formation of distinct chemical species. Full article
(This article belongs to the Special Issue Artificial Intelligence in Aerospace Propulsion)
Show Figures

Figure 1

18 pages, 3181 KB  
Article
High-Temperature Hydrothermal Extraction of Phenolic Compounds from Brewer’s Spent Grain and Malt Dust Biomass Using Natural Deep Eutectic Solvents
by Dries Bleus, Heike Blockx, Emma Gesquiere, Peter Adriaensens, Pieter Samyn, Wouter Marchal and Dries Vandamme
Molecules 2024, 29(9), 1983; https://doi.org/10.3390/molecules29091983 - 25 Apr 2024
Cited by 5 | Viewed by 2837
Abstract
Aligned with the EU Sustainable Development Goals 2030 (EU SDG2030), extensive research is dedicated to enhancing the sustainable use of biomass waste for the extraction of pharmaceutical and nutritional compounds, such as (poly-)phenolic compounds (PC). This study proposes an innovative one-step hydrothermal extraction [...] Read more.
Aligned with the EU Sustainable Development Goals 2030 (EU SDG2030), extensive research is dedicated to enhancing the sustainable use of biomass waste for the extraction of pharmaceutical and nutritional compounds, such as (poly-)phenolic compounds (PC). This study proposes an innovative one-step hydrothermal extraction (HTE) at a high temperature (120 °C), utilizing environmentally friendly acidic natural deep eutectic solvents (NADESs) to replace conventional harmful pre-treatment chemicals and organic solvents. Brewer’s spent grain (BSG) and novel malt dust (MD) biomass sources, both obtained from beer production, were characterized and studied for their potential as PC sources. HTE, paired with mild acidic malic acid/choline chloride (MA) NADES, was compared against conventional (heated and stirred maceration) and modern (microwave-assisted extraction; MAE) state-of-the-art extraction methods. The quantification of key PC in BSG and MD using liquid chromatography (HPLC) indicated that the combination of elevated temperatures and acidic NADES could provide significant improvements in PC extraction yields ranging from 251% (MD-MAC-MA: 29.3 µg/g; MD-HTE-MA: 103 µg/g) to 381% (BSG-MAC-MA: 78 µg/g; BSG-HTE-MA: 375 µg/g). The superior extraction capacity of MA NADES over non-acidic NADES (glycerol/choline chloride) and a traditional organic solvent mixture (acetone/H2O) could be attributed to in situ acid-catalysed pre-treatment facilitating the release of bound PC from lignin–hemicellulose structures. Qualitative 13C-NMR and pyro-GC-MS analysis was used to verify lignin–hemicellulose breakdown during extraction and the impact of high-temperature MA NADES extraction on the lignin–hemicellulose structure. This in situ acid NADES-catalysed high-temperature pre-treatment during PC extraction offers a potential green pre-treatment for use in cascade valorisation strategies (e.g., lignin valorisation), enabling more intensive usage of available biomass waste stream resources. Full article
(This article belongs to the Special Issue Advances in Deep Eutectic Solvents)
Show Figures

Figure 1

15 pages, 10699 KB  
Article
Microplastics and Per- and Polyfluoroalkyl Substances (PFAS) Analysis in Sea Turtles and Bottlenose Dolphins along Mississippi’s Coast
by Chanaka M. Navarathna, Hannah Pray, Prashan M. Rodrigo, Beatrice Arwenyo, Cassidy McNeely, Henry Reynolds, Natalie Hampton, Katherine Lape, Katie Roman, Maddie Heath, Sean Stokes, Sameera R. Gunatilake, Gombojav Ariunbold, Felio Perez, Rooban V. K. G. Thirumalai, EI Barbary Hassan, Islam Elsayed, Dinesh Mohan, Ashli Brown, Debra Moore, Stephen Reichley, Mark Lawrence and Todd E. Mlsnaadd Show full author list remove Hide full author list
Analytica 2023, 4(1), 12-26; https://doi.org/10.3390/analytica4010003 - 18 Jan 2023
Cited by 9 | Viewed by 8352
Abstract
Global plastic production and usage has increased annually for decades and microplastic pollutants (≤5 mm) are a growing concern. Microplastics in surface waters can adsorb and desorb harmful chemicals such as per- and polyfluoroalkyl substances (PFAS). Microplastics can accumulate across all tropic levels [...] Read more.
Global plastic production and usage has increased annually for decades and microplastic pollutants (≤5 mm) are a growing concern. Microplastics in surface waters can adsorb and desorb harmful chemicals such as per- and polyfluoroalkyl substances (PFAS). Microplastics can accumulate across all tropic levels in the marine food web. The purpose of this research was to analyze the stomach and intestinal contents of stranded (Mississippi coast) bottlenose dolphins and sea turtles for the presence of microplastics and commonly found PFAS, PFOS, PFOA, and GenX. Gut contents were digested (10% KOH in 50% MeOH) and then analyzed for microplastics using pyrolysis gas chromatography-mass spectrometry (Pyro-GC-MS), Nile red microscopy, X-ray photo electron spectroscopy (XPS), and Raman spectroscopy. Digested sample filtrate was pre-concentrated using solid-phase extraction (SPE) before PFAS liquid chromatography-tandem mass spectrometry (LC-MS/MS) analysis. The PFOS extraction and analysis had 98.6% recovery when validated with certified pike‒perch fish reference material. The Nile red testing on most samples revealed the presence of microplastics (Table S1). The Pyro-GC-MS results from two samples confirmed the presence of the plasticizer acetamide. The Raman spectroscopy analysis indicated characteristic plastic peaks corresponding to polystyrene in one sample. PFOS (95.5 to 1,934.5 µg/kg) was detected in three dolphin stomach samples. This project is part of a long-term study with the goal of a better understanding of microplastics and PFAS environmental contamination and their impact on bottlenose dolphins and sea turtles. Full article
Show Figures

Figure 1

17 pages, 3501 KB  
Article
Biomass Fast Pyrolysis Vapor Upgrading over γ-Alumina, Hydrotalcite, Dolomite and Effect of Na2CO3 Loading: A Pyro Probe GCMS Study
by Harsha Mysore Prabhakara, Eddy A. Bramer and Gerrit Brem
Energies 2021, 14(17), 5397; https://doi.org/10.3390/en14175397 - 30 Aug 2021
Cited by 5 | Viewed by 2461
Abstract
The influence of γ-alumina, hydrotalcite, dolomite and Na2CO3 loaded γ-alumina, hydrotalcite, dolomite on fast pyrolysis vapor upgrading of beechwood was investigated using an analytical pyro probe-gas chromatography/mass spectrometry instrument (Py-GC/MS) at a temperature of 500 °C. Overall, this research showcased [...] Read more.
The influence of γ-alumina, hydrotalcite, dolomite and Na2CO3 loaded γ-alumina, hydrotalcite, dolomite on fast pyrolysis vapor upgrading of beechwood was investigated using an analytical pyro probe-gas chromatography/mass spectrometry instrument (Py-GC/MS) at a temperature of 500 °C. Overall, this research showcased that these catalysts can deoxygenate biomass pyrolysis vapors into a mixture of intermediate compounds which have substantially lower oxygen content. The intermediate compounds are deemed to be suitable for downstream hydrodeoxygenation processes and it also means that hydrogen consumption will be reduced as a result of moderate in-situ deoxygenation. Among the support catalysts, the application of hydrotalcite yielded the best results with the formation of moderately deoxygenated compounds such as light phenols, mono-oxy ketones, light furans and hydrocarbons with a TIC area % of 7.5, 44.8, 9.8 and 9.8, respectively. In addition, acids were considerably reduced. Dolomite was the next most effective catalyst as γ-alumina retained most of the acids and other oxygenates. Na2CO3 loading on γ-alumina had a noticeable effect on eliminating more or less all the acids, enhancing the mono-oxy-ketones and producing lighter furans. In contrast, Na2CO3 loading on dolomite and hydrotalcite did not show a major impact on the composition except for further enhancing the mono-oxy-ketones (e.g., acetone and cyclopentenones). Additionally, in the case of hydrotalcite and γ-alumina, Na2CO3 loading suppressed the formation of hydrocarbons. In this research, the composition of pyrolytic vapors as a result of catalysis is elaborated further under the specific oxygenate groups such as acids, phenolics, furanics, ketones and acids. Further the catalysts were also characterized by BET, XRD and TGA analysis. Full article
Show Figures

Figure 1

28 pages, 7552 KB  
Article
Upper Jurassic–Lower Cretaceous Source Rocks in the North of Western Siberia: Comprehensive Geochemical Characterization and Reconstruction of Paleo-Sedimentation Conditions
by Evgeniya Leushina, Timur Bulatov, Elena Kozlova, Ivan Panchenko, Andrey Voropaev, Tagir Karamov, Yakov Yermakov, Natalia Bogdanovich and Mikhail Spasennykh
Geosciences 2021, 11(8), 320; https://doi.org/10.3390/geosciences11080320 - 30 Jul 2021
Cited by 9 | Viewed by 3298
Abstract
The present work is devoted to geochemical studies of the Bazhenov Formation in the north of the West Siberian Petroleum Basin. The object is the Upper Jurassic–Lower Cretaceous section, characterized by significant variations in total organic carbon content and petroleum generation potential of [...] Read more.
The present work is devoted to geochemical studies of the Bazhenov Formation in the north of the West Siberian Petroleum Basin. The object is the Upper Jurassic–Lower Cretaceous section, characterized by significant variations in total organic carbon content and petroleum generation potential of organic matter at the beginning of the oil window. The manuscript presents the integration of isotopic and geochemical analyses aimed at the evaluation of the genesis of the rocks in the peripheral part of the Bazhenov Sea and reconstruction of paleoenvironments that controlled the accumulation of organic matter in sediments, its composition and diagenetic alterations. According to the obtained data, the sediments were accumulated under marine conditions with a generally moderate and periodically increasing terrigenous influx. The variations in organic matter composition are determined by redox conditions and terrigenous input which correlate with the eustatic sea level changes during transgressive/regressive cycles and activation of currents. Transgression is associated with an intensive accumulation of organic matter under anoxic to euxinic conditions and insignificant influence of terrigenous sources, resulting in the formation of rocks with oil-generating properties. During the regression periods, the terrigenous sedimentation increased along with the dissolved oxygen concentration, and deposits with low organic matter content and gas-generating properties were formed. Full article
(This article belongs to the Special Issue Petrophysics and Geochemistry of Unconventional Reservoirs)
Show Figures

Figure 1

18 pages, 1820 KB  
Article
Characterisation Study of Various Disposable Diaper Brands
by Asiphile Khanyile, Guy C. Caws, S’phumelele L. Nkomo and Ntandoyenkosi M. Mkhize
Sustainability 2020, 12(24), 10437; https://doi.org/10.3390/su122410437 - 14 Dec 2020
Cited by 15 | Viewed by 6125
Abstract
Seven disposable diaper brands that are commonly used in Clermont, Kwa-Zulu Natal (South Africa) and some frequently found along river bodies (due to illegal dumping) were characterised through proximate analysis, thermogravimetric analysis (TGA), ultimate analysis and analytical pyrolysis–gas chromatography/mass spectrometry (Py–GC/MS). A novel [...] Read more.
Seven disposable diaper brands that are commonly used in Clermont, Kwa-Zulu Natal (South Africa) and some frequently found along river bodies (due to illegal dumping) were characterised through proximate analysis, thermogravimetric analysis (TGA), ultimate analysis and analytical pyrolysis–gas chromatography/mass spectrometry (Py–GC/MS). A novel approach entailing separation of the diapers into two fractions, interior (constituting mainly biomass fibres) and exterior (mainly constituting non-biomass polyethylene), assisted in assessing thermochemical conversion of the disposable diaper’s potential as well as likely threats to the environment. In a comparison of the volatile matter between the two fractions, the exterior fraction is more combustible (due to a higher volatile fraction). Hence, it is more suitable for energy recovery. The present study investigates the use of pyrolysis to manage disposable diapers to potentially recover pyro-oil, pyro-gas and pyro-char. In this primary investigation, it was observed that each disposable diaper brand reacts differently to constant heating. However, the proximate and elemental analysis also highlights the likely negative environmental threats, such as that the high volatile content can potentially release dangerous permanent gases such as chlorine and cobalt into the atmosphere after the diaper is disposed of illegally and in landfill. Full article
Show Figures

Figure 1

15 pages, 2699 KB  
Article
Integrated Leaching and Thermochemical Technologies for Producing High-Value Products from Rice Husk: Leaching of Rice Husk with the Aqueous Phases of Bioliquids
by Wenran Gao, Hui Li, Karnowo, Bing Song and Shu Zhang
Energies 2020, 13(22), 6033; https://doi.org/10.3390/en13226033 - 18 Nov 2020
Cited by 17 | Viewed by 2985
Abstract
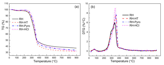
It remains challenging to develop a techno-economically feasible method to remove alkali and alkaline earth metal species (AAEMs) from rice husk (RH), which is a widely available bioresource across the world. In this study, the AAEMs leaching effect of aqueous phases of both [...] Read more.
It remains challenging to develop a techno-economically feasible method to remove alkali and alkaline earth metal species (AAEMs) from rice husk (RH), which is a widely available bioresource across the world. In this study, the AAEMs leaching effect of aqueous phases of both bio-crude prepared by hydrothermal liquefaction (AP-HT) and bio-oil prepared by pyrolysis (AP-Pyro) of RH were systematically investigated. The results indicated that although the acidity of AP-HT and AP-Pyro are much lower than that of HCl, they performed a comparable removal efficiency on AAEMs (Na: 56.2%, K: 96.7%, Mg: 91.0%, Ca: 46.1% for AP-HT, while Na: 58.9%, K: 96.9%, Mg: 94.0%, Ca: 86.3% for AP-Pyro) with HCl. The presence of phenolics in bio-oil could facilitate the penetration of water and organic acids into the inner area of RH cells, thus enhancing the AAEMs removal via chelate reactions. The thermal stability of leached RH during thermochemical conversions was studied via TG and Py-GC-MS. The results showed that the heat conduction efficiency in leached RH was enhanced with a high pyrolysis rate, resulting in a narrow carbon chain distribution (C5–C10) of derived chemical compounds. Full article
(This article belongs to the Section A4: Bio-Energy)
Show Figures

Graphical abstract

Back to TopTop