Sign in to use this feature.

Years

Between: -

Subjects

remove_circle_outline
remove_circle_outline
remove_circle_outline
remove_circle_outline
remove_circle_outline
remove_circle_outline
remove_circle_outline
remove_circle_outline
remove_circle_outline

Journals

Article Types

Countries / Regions

remove_circle_outline
remove_circle_outline
remove_circle_outline
remove_circle_outline

Search Results (160)

Search Parameters:
Keywords = push-ups

Order results
Result details
Results per page
Select all
Export citation of selected articles as:
12 pages, 1158 KB  
Article
Influence of Normobaric Hypoxia on Maximal Force Production Following High-Intensity Resistance Circuit Training
by Ismael Martínez-Guardado, Diego A. Alonso-Aubin, Juan Hernández-Lougedo and Domingo J. Ramos-Campo
J. Funct. Morphol. Kinesiol. 2026, 11(1), 98; https://doi.org/10.3390/jfmk11010098 - 27 Feb 2026
Viewed by 69
Abstract
Background: Previous research suggests that resistance training in hypoxia can cause physiological and muscle adaptations. However, this method may not be efficient for individuals who are training to optimize maximal strength and power. Objective: This study aimed to investigate the effects of 8 [...] Read more.
Background: Previous research suggests that resistance training in hypoxia can cause physiological and muscle adaptations. However, this method may not be efficient for individuals who are training to optimize maximal strength and power. Objective: This study aimed to investigate the effects of 8 weeks of high-intensity resistance circuit in normobaric hypoxic conditions on maximal and explosive measures of muscle strength in upper and lower limbs. Methods: A total of 28 subjects were randomly assigned to either hypoxia (fraction of inspired oxygen [FIO2] = 15%; HRChyp: n = 15; age: 24.6 ± 6.8 years; height: 177.4 ± 5.9 cm; weight: 74.9 ± 11.5 kg) or normoxia [FIO2] = 20.9%; HRCnorm: n = 13; age: 23.2 ± 5.2 years; height: 173.4 ± 6.2 cm; weight: 69.4 ± 7.4 kg) groups. Training sessions consisted of two blocks of three exercises and the training intensity was fixed performed at six repetition maximum. Participants exercised twice weekly for 8 weeks, and upper and lower body power tests were performed before and after the training program. The statistical analysis applied was a two-way analysis of variance with repeated measures and Bonferroni post hoc. Results: No significant differences were observed between groups. However, the hypoxia group showed higher intra-group differences in absolute (N) (F = 7.97; Δ7.3%; p < 0.05; ES = 0.49) and relative (N/Kg) (F = 8.34; Δ7.2%; p < 0.05; ES = 0.49) maximum push-up force after the training period. Conclusions: Hypoxic circuit training may improve a specific upper body performance outcome, but no clear advantage over normoxia was observed. Full article
Show Figures

Figure 1

14 pages, 1268 KB  
Article
Electromyographic Activation of the Pectoralis Major and Triceps Brachii Muscles During Standard, Diamond, and Wide Hand Position Push-Ups
by Konstantina Intziegianni, Epifanios Katsamis, Marcos Michaelides and Koulla Parpa
Muscles 2026, 5(1), 18; https://doi.org/10.3390/muscles5010018 - 27 Feb 2026
Viewed by 134
Abstract
Studies examining the electromyographic activation of pectoralis major (PM) and triceps brachii (TB) muscles during push-ups of varied hand positions are limited, and findings are inconsistent. The aim was to investigate the electromyographic activation of PM and TB during standard, diamond, and wide [...] Read more.
Studies examining the electromyographic activation of pectoralis major (PM) and triceps brachii (TB) muscles during push-ups of varied hand positions are limited, and findings are inconsistent. The aim was to investigate the electromyographic activation of PM and TB during standard, diamond, and wide hand position push-ups. Twenty young males performed six repetitions of each push-up variation while the electrical activity of PM and TB was recorded, averaged, and normalized to the peak root mean square (RMS) across repetitions for each push-up. RMS (mV) and normalized RMS (%) were calculated for each muscle, push-up variation, and contraction phase (eccentric/concentric). Two separate three-way ANOVAs with Bonferroni post hoc correction were used (α = 0.05). TB demonstrated statistically significantly higher RMS (mV) and normalized RMS (%) than PM (p < 0.05), in diamond, followed by standard and wide push-ups. A statistically significant higher activation of RMS (mV) was observed in concentric compared to eccentric (p < 0.05); however, after normalizing RMS (%), contraction phase had no effect (p > 0.05) and there was no significant three-way interaction (p > 0.05). Diamond push-ups elicited the highest relative activation for both the PM and TB. Normalized RMS revealed the consistency of muscle effort in both contraction phases, sustaining near-maximal activation regardless of hand position. These findings support adaptable training strategies, with potential applications in rehabilitation and strength training contexts. Full article
Show Figures

Figure 1

15 pages, 776 KB  
Article
The Effects of Core Training on Selected Physical Performance Parameters in Judo Athletes
by Müjde Atıcı, Soner Akgün, Akan Bayrakdar, Esra Korkmaz Salkılıç, Berna Anıl, Enes Akdemir, Dilara Kumru and Ali Kerim Yılmaz
Appl. Sci. 2026, 16(4), 2013; https://doi.org/10.3390/app16042013 - 18 Feb 2026
Viewed by 177
Abstract
Background: The purpose of this study was to examine the effects of an 8-week core training program on the lower-extremity, upper-extremity, and core strength of judokas. Methods: This study is based on a pre-test/post-test experimental design involving repeated measures and a control group. [...] Read more.
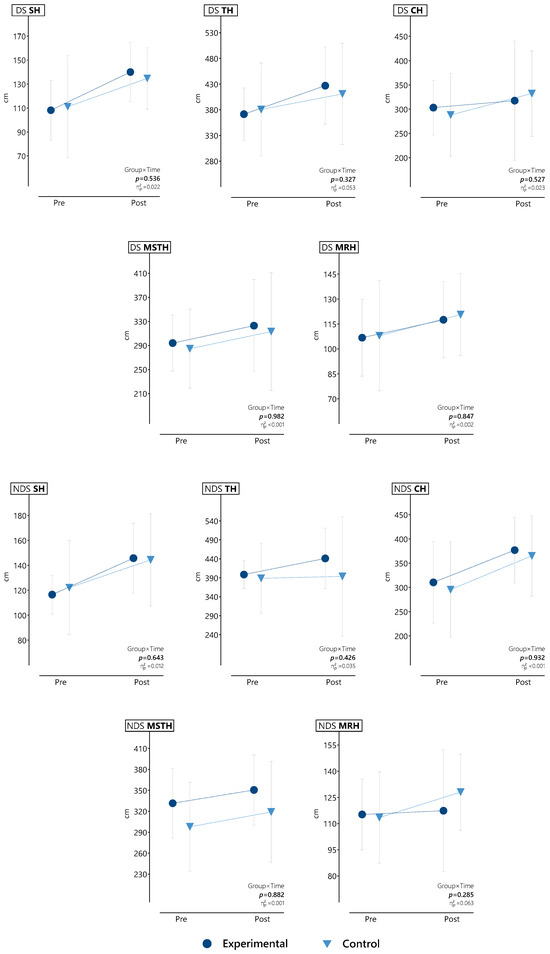
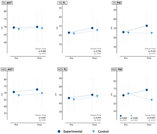
Background: The purpose of this study was to examine the effects of an 8-week core training program on the lower-extremity, upper-extremity, and core strength of judokas. Methods: This study is based on a pre-test/post-test experimental design involving repeated measures and a control group. The study was conducted with the voluntary participation of 20 judo athletes (10 females and 10 males) aged between 18 and 22 years (mean age: 18.60 years; height: 163 cm; body weight: 59.40 kg; BMI: 22.30 kg/m2). Participants were divided into two groups: a control group that continued routine judo training and an experimental group that performed core training in addition to routine judo training. Participants performed Medial Push-Ups (MPUs) to assess upper-extremity muscle strength; sit-ups and Plank Tests (PTs) to assess core strength; five different Single-Leg Hop Tests (SLHTs) to assess lower-extremity muscle strength; and the Y Balance Test (YBT) to assess balance. These tests were conducted before and after the 8-week core training program. Results: PT performance improved significantly in both groups, with a significant group × time interaction (p < 0.001, η2p = 0.623), indicating greater improvement in the core training group compared to the control group. No significant interaction was observed for MPU and Sit-up tests; however, a significant main effect of time was detected for MPU (p = 0.032, η2p = 0.231), suggesting general improvements in both groups. For SLHT parameters, no significant group × time interactions were detected (p > 0.050); improvements were observed over time across groups. In balance performance, a significant group × time interaction was found only in the NDS postero-medial (PM) direction (p = 0.020, η2p = 0.267), whereas the other parameters demonstrated time-related improvements without between-group differences. Conclusions: Core stability training resulted in greater improvements in PT performance and influenced balance performance in the NDS PM direction. Improvements observed in other performance parameters appeared to be time-related rather than intervention-specific. Overall, core stability training may contribute to core endurance and certain aspects of lower-extremity function in judokas. Full article
(This article belongs to the Special Issue Human Performance in Sports and Training)
Show Figures

Figure 1

9 pages, 836 KB  
Communication
Test–Retest Reliability of Single-Arm Closed Kinetic Chain Upper Extremity Stability Test
by Andy Waldhelm, Mareli Klopper, Matthew Paul Gonzalez, Stephanie Flynn, Edward Austin and Ron Masri
J. Funct. Morphol. Kinesiol. 2026, 11(1), 46; https://doi.org/10.3390/jfmk11010046 - 21 Jan 2026
Viewed by 258
Abstract
Background: The original Closed Kinetic Chain Upper Extremity Stability Test (CKCUEST) is a simple assessment tool but does not account for individual differences in hand starting position and fails to provide information on limb asymmetries. The purpose of the study is to evaluate [...] Read more.
Background: The original Closed Kinetic Chain Upper Extremity Stability Test (CKCUEST) is a simple assessment tool but does not account for individual differences in hand starting position and fails to provide information on limb asymmetries. The purpose of the study is to evaluate the test–retest reliability of a new single-arm CKCUEST as well as the reliability of the limb symmetry index (LSI). This version normalizes the test based on the participant’s arm length and allows for the assessment of limb symmetry since it is performed one arm at a time. Methods: Twelve healthy young adults provided both verbal and written consent to participate. Participants were excluded if they had sustained an injury in the past three months requiring medical attention and/or resulting in decreased activity for more than three days. Testing was conducted in the push-up position with participants’ thumbs placed parallel and at a distance equal to the length of their dominant arm (measured from the acromion to the tip of the middle finger), and feet positioned shoulder-width apart. Participants were instructed to keep the testing hand stable on the floor while the opposite hand reached across the body to touch the stationary hand and then return to the starting position marked with athletic tape. The goal was to complete as many touches as possible in 15 s, with each touch counted only if the participant touched the stationary hand, returned to the starting position, and maintained the shoulder-width stance. The average number of touches from the three trials was used for analysis. Intraclass Correlation Coefficients (ICC(3,1)) were computed to determine test–retest reliability. Results: Test–retest reliability of the single-arm CKCUEST individual tests was good to excellent. The ICC(3,1) was 0.88 (95% CI: 0.74–0.95) for all tests, 0.89 (95% CI: 0.66–0.96) for the dominant arm, and 0.93 (95% CI: 0.78–0.98) for the non-dominant arm. In contrast, the reliability of the Limb Symmetry Index (LSI) was questionable, showing substantial variability with an ICC(3,1) of 0.53 (95% CI: −0.03–0.83) between Day 1 and Day 2, despite similar mean values (Day 1: 93.6 ± 8.46; Day 2: 94.8 ± 5.77). The Kappa coefficient suggested a substantial level of agreement for the direction of the asymmetry (preferred limb) (Kappa coefficient = 0.62). Conclusions: The new single-arm CKCUEST, which personalizes the hand starting position and measures limb symmetry, demonstrates high reliability among healthy young adults. Full article
(This article belongs to the Section Kinesiology and Biomechanics)
Show Figures

Figure 1

16 pages, 4858 KB  
Article
Electromyographic Patterns of Scapular Muscles During Four Variations of Protraction–Retraction Exercises
by Eui-Young Jung, Su-Yeon Roh and Woo-Lim Mun
Life 2025, 15(12), 1840; https://doi.org/10.3390/life15121840 - 29 Nov 2025
Viewed by 1584
Abstract
(1) Background: How variations of the push-up plus (PUP)—particularly changes in the base of support and scapular excursion—affect scapular muscle activation remains unclear. This study compared phase-specific electromyographic (EMG) activity of scapular muscles during four protraction–retraction exercises. (2) Methods: Twenty-six healthy male participants [...] Read more.
(1) Background: How variations of the push-up plus (PUP)—particularly changes in the base of support and scapular excursion—affect scapular muscle activation remains unclear. This study compared phase-specific electromyographic (EMG) activity of scapular muscles during four protraction–retraction exercises. (2) Methods: Twenty-six healthy male participants (age: 22.88 ± 1.45 years; height: 1.74 ± 0.05 m; weight: 77.31 ± 8.61 kg; body mass index (BMI): 25.61 ± 2.43 kg/m2) with Pilates experience performed four scapular protraction–retraction exercises under two base-of-support (quadruped vs. single-leg) and two movement-range (PUP vs. STD) conditions. Exercise order was randomized, and sufficient rest intervals were provided to minimize fatigue effects. Surface electromyography was recorded from six scapular muscles and normalized to maximal voluntary isometric contraction. The study was registered on CRIS (KCT0010032). (3) Results: Single-leg PUP showed the greatest serratus anterior (SA) activation, with increases of approximately 30% in protraction, 20–25% in isometric, and 15–20% in retraction. STD variations elicited higher trapezius activation, especially during large scapular excursions. The UT/SA ratio was significantly lower in PUP conditions (η2p = 0.544), reflecting a more favorable stabilization pattern. (4) Conclusions: This experimental repeated-measures study demonstrates that combining single-leg support with traditional PUP meaningfully increases SA recruitment across all phases, whereas increased scapular range enhances trapezius engagement. These findings provide novel phase-specific insights into how PUP variations modulate closed-chain scapular stabilization and may assist clinicians in selecting targeted exercises. Interpretation should be limited to trained healthy males. Full article
(This article belongs to the Special Issue Effects of Exercise Training on Muscle Function—2nd Edition)
Show Figures

Figure 1

28 pages, 5155 KB  
Article
Efficient Human Posture Recognition and Assessment in Visual Sensor Systems: An Experimental Study
by Lei Lei, Haonan Zhang, Qi Zhang, Weihua Wu, Weijia Han and Runzi Liu
Sensors 2025, 25(21), 6789; https://doi.org/10.3390/s25216789 - 6 Nov 2025
Viewed by 1017
Abstract
Currently, recognition and assessment of human posture have become significant topics of interest, particularly through the use of visual sensor systems. These approaches can effectively address the drawbacks associated with traditional manual assessments, which include fatigue, variations in experience, and inconsistent judgment criteria. [...] Read more.
Currently, recognition and assessment of human posture have become significant topics of interest, particularly through the use of visual sensor systems. These approaches can effectively address the drawbacks associated with traditional manual assessments, which include fatigue, variations in experience, and inconsistent judgment criteria. However, systems based on visual sensors encounter substantial implementation challenges when a large number of such sensors are used. To address these issues, we propose a human posture recognition and assessment system architecture, which comprises four distinct subsystems. Specifically, these subsystems include a Visual Sensor Subsystem (VSS), a Posture Assessment Subsystem (PAS), a Control-Display Subsystem, and a Storage Management Subsystem. Through the cooperation of subsystems, the architecture has achieved support for parallel data processing. Furthermore, the proposed architecture has been implemented by building an experimental testbed, which effectively verifies the rationality and feasibility of this architecture. In the experiments, the proposed architecture was evaluated by using pull-up and push-up exercises. The results demonstrate that the proposed architecture achieves an overall accuracy exceeding 96%, while exhibiting excellent real-time performance and scalability in different assessment scenarios. Full article
Show Figures

Figure 1

19 pages, 429 KB  
Article
Motivation Relationships with Physical Activity and Resistance Training Engagement, and Health and Fitness of Law Enforcement Officers
by Kristine J. Sanchez, Maria M. Beitzel, J. Jay Dawes, Robin M. Orr, Joseph M. Dulla and Robert G. Lockie
Healthcare 2025, 13(21), 2701; https://doi.org/10.3390/healthcare13212701 - 26 Oct 2025
Viewed by 961
Abstract
Background/Objectives: There are generally no mandates for law enforcement officers to maintain career fitness. Evidence documenting the motivation of officers who are physically active could support training and health and wellness initiatives, while preventing disease (e.g., cardiovascular, metabolic) in this population. This [...] Read more.
Background/Objectives: There are generally no mandates for law enforcement officers to maintain career fitness. Evidence documenting the motivation of officers who are physically active could support training and health and wellness initiatives, while preventing disease (e.g., cardiovascular, metabolic) in this population. This cross-sectional study derived relationships between motivation, physical activity (PA), resistance training (RT) participation, and health and fitness in officers. Methods: Sixty officers completed a questionnaire assessing PA (weekly strenuous, moderate, mild exercise sessions; activity score) and RT (RT frequency [RTF]; weekly sessions over 3 months [RT3M]; sessions in past 7 days [RT7D]). Motivation (amotivation, external, introjected, identified, integrated, and intrinsic regulation) was measured via the Behavioral Regulation in Exercise Questionnaire. Health and fitness tests included resting heart rate (RHR), blood pressure, skeletal muscle mass (SMM%) and fat mass (FM%) percentage, waist-to-hip ratio, sit-and-reach, grip strength, push-ups, sit-ups, and step test. Spearman’s correlations (p < 0.05) derived relationships between motivation and all other variables. Results: All intrinsic motivation styles correlated with strenuous exercise sessions, RTF, RT3M, and push-ups (ρ = 0.286–0.670). Identified, integrated, and intrinsic regulation correlated with activity score and sit-ups (ρ = 0.287–0.472). Identified (ρ = 0.444) and integrated (ρ = 0.341) regulation related to RT7D. Amotivation related to RTF (ρ = −0.295) and RT3M (ρ = −0.290). External, introjected, and identified regulation correlated with RHR (ρ = ±0.270–0.338). Integrated and intrinsic regulation positively related to SMM% and negatively related to FM% (ρ = ±0.265–0.323). Conclusions: Internally motivated officers completed strenuous exercise and RT, and had better RHR, body composition, and muscular endurance. Training staff should develop intrinsic motivation styles in personnel to enhance their well-being. Full article
(This article belongs to the Special Issue Health and Readiness of Tactical Populations)
Show Figures

Figure 1

26 pages, 3193 KB  
Article
The Task Dependency of Spontaneous Rhythmic Performance in Movements Beyond Established Biomechanical Models: An Inertial Sensor-Based Study
by Analina Emmanouil, Fani Paderi, Konstantinos Boudolos and Elissavet Rousanoglou
Sensors 2025, 25(21), 6565; https://doi.org/10.3390/s25216565 - 24 Oct 2025
Viewed by 802
Abstract
Spontaneous rhythmic performance is a fundamental feature of human movement, well established in biomechanical models (EBMs) but less understood in complex physical fitness exercises (PFEs). This study examined the task dependency of spontaneous rhythmic performance across three EBMs (walking, hopping, finger tapping) and [...] Read more.
Spontaneous rhythmic performance is a fundamental feature of human movement, well established in biomechanical models (EBMs) but less understood in complex physical fitness exercises (PFEs). This study examined the task dependency of spontaneous rhythmic performance across three EBMs (walking, hopping, finger tapping) and seven PFEs (hip abduction, back extension, sit-up, push-up, shoulder abduction, squat, lunge). A total of 15 men and 15 women performed each task at a self-selected pace while wearing inertial sensors. Measures included spontaneous motor tempo (SMT), temporal structure metrics, and their within- and between-trial individual variability (%CV) (ANOVA, SPSS 28.0, p ≤ 0.05). SMT was task-dependent, with EMB tasks being near ~2 Hz (walking: 1.82 ± 0.10 Hz; hopping: 2.08 ± 0.22 Hz; finger tapping: 1.89 ± 0.43 Hz) and PFEs being slower (0.36–0.68 Hz). Temporal structure mirrored these differences with shorter cycle and phase durations in EBM than PFE tasks, with relative phase durations consistently at about a 1:1 ratio. Τhe overall low %CV indicated stable performance (within-trial: 1.4–7.5%; between-trial: 0.5–7.8%). The results highlight the task dependency of SMT and temporal structure, as well as the robustness of an overarching internal timing framework supporting rhythmic motor control across diverse movement contexts. Full article
Show Figures

Figure 1

11 pages, 215 KB  
Article
Anthropometric Characteristics and Fitness Status of Emergency Medical Services (EMS) Personnel
by Koulla Parpa and Marcos Michaelides
Emerg. Care Med. 2025, 2(4), 50; https://doi.org/10.3390/ecm2040050 - 19 Oct 2025
Viewed by 1062
Abstract
Background/Objectives: This study aimed to assess the anthropometric and body composition characteristics, blood profiles and fitness-related parameters of emergency medical services (EMS) professionals. Methods: A total of 39 EMS professionals participated in the study, consisting of 18 males (age: 37.78 ± [...] Read more.
Background/Objectives: This study aimed to assess the anthropometric and body composition characteristics, blood profiles and fitness-related parameters of emergency medical services (EMS) professionals. Methods: A total of 39 EMS professionals participated in the study, consisting of 18 males (age: 37.78 ± 10.62 years, height 180.87 ± 6.00 cm, weight 105.42 ± 25.40 kg) and 21 females (age: 33.05 ± 7.44 years, height 167.29 ± 3.89 cm, weight 90.63 ± 21.20 kg). The testing included anthropometric measurements, blood profiling, handgrip and low back strength assessments, vertical jump evaluation, flexibility testing, sit-up and push-up assessments, as well as timed performance measurements for a 300 m sprint and a 1.5-mile run. Results: According to the body mass index (BMI), 41% of the EMS professionals were classified as obese. Self-reported data indicated a smoking prevalence of 23%, while diabetes (n = 3), asthma (n = 2), and hypertension (n = 2) were also reported. Our results reveal that a great proportion of EMS professionals demonstrated suboptimal body composition and performance levels, with many failing to meet recommended health and performance standards. Elevated BMI, waist and hip circumferences, and body fat percentages were observed, along with relatively low performance in the strength and endurance tests. Conclusions: These findings highlight the need for targeted interventions among EMS professionals, who are expected to maintain adequate levels of aerobic capacity, flexibility, muscular strength and endurance. Full article
11 pages, 1853 KB  
Case Report
Effective Conservative Management of Severe Scoliosis in a Girl with Prader–Willi Syndrome: A 20-Year Case Study Follow-Up
by Calogero Malfitano, Francesco Negrini, Valentina Palloni, Marcello Meggiolaro, Elena Brevi, Piero Benfatti, Fabio Zaina, Giorgio Ferriero and Stefano Negrini
J. Clin. Med. 2025, 14(20), 7350; https://doi.org/10.3390/jcm14207350 - 17 Oct 2025
Viewed by 875
Abstract
Background: Prader–Willi syndrome (PWS) is a rare syndrome that presents in about 1 in 25,000 newborns. It is characterized by a typical phenotype that includes short stature, hypothyroidism and hypogonadism, cognitive and developmental delays, slow growth, obesity, and, in most patients, scoliosis. [...] Read more.
Background: Prader–Willi syndrome (PWS) is a rare syndrome that presents in about 1 in 25,000 newborns. It is characterized by a typical phenotype that includes short stature, hypothyroidism and hypogonadism, cognitive and developmental delays, slow growth, obesity, and, in most patients, scoliosis. These patients generally have a life expectancy of less than 60 years, with respiratory distress being the leading cause of death; scoliosis is not the primary cause of these respiratory problems, but may contribute to their worsening. Therefore, accurately diagnosing and managing scoliosis is crucial for improving the life expectancy of PWS patients. Previous studies have shown a limited effectiveness of bracing due to a combination of factors, including generalized hypotonia, rapid early progression, poor brace compliance, and thus frequent progression to surgical intervention. Case presentation: This case report presents a 20-year follow-up of a female patient with PWS. Multiple clinical parameters were collected at every follow-up appointment. Throughout this extended observation and treatment period, the patient used two push-up braces of different rigidity, resulting in improvements in the thoracic and lumbar Cobb angle and the thoracic angle of trunk rotation. The treatment protocol was based on a shared decision with the parents and the patient. Conclusions: This case demonstrates how consistent and thorough follow-up can result in a successful, conservative treatment of a severe secondary scoliosis, thereby preventing the need for a major surgical procedure during growth. Full article
(This article belongs to the Section Orthopedics)
Show Figures

Figure 1

14 pages, 845 KB  
Article
Observations with Soil Surfactant Applications to Amenity Turfgrass During Higher-than-Normal Precipitation Conditions
by John Dempsey, Michael Fidanza and Stanley Kostka
Grasses 2025, 4(4), 42; https://doi.org/10.3390/grasses4040042 - 15 Oct 2025
Viewed by 773
Abstract
Soil surfactants are essential tools for enhancing irrigation water efficiency and improving the quality and functionality of amenity turfgrass. They play a crucial role in sports turf management by reducing soil water repellency, which helps prevent dry spots, ensures even moisture distribution, and [...] Read more.
Soil surfactants are essential tools for enhancing irrigation water efficiency and improving the quality and functionality of amenity turfgrass. They play a crucial role in sports turf management by reducing soil water repellency, which helps prevent dry spots, ensures even moisture distribution, and supports water conservation efforts. Most research on soil surfactants and amenity turfgrasses focuses on their effects on soil moisture, infiltration, and addressing localized dry spots during drought conditions, with limited studies on their impact under wet or saturated conditions. This study aimed to evaluate the impact of soil surfactants on the quality and health of turfgrass under wet conditions. Field studies were conducted over a span of five years, beginning in the USA in 2019 and continuing in Ireland from 2020 to 2023. The research in Ireland was conducted at three locations, each featuring different rootzones: a “push-up” green with loam soil, USGA-specification sand, and natural link sand. The site in the USA was a native loam soil. The study compared a commercial soil surfactant (ProWet Evolve; PWE) and a non-treated control (NT) in a randomized complete block design with four replications, with sequential applications starting in June and continuing until mid-September each year. The rootzone volumetric water content (VWC%), turfgrass quality, and normalized difference vegetation index (NDVI) were measured bi-weekly. Environmental conditions, with above-average precipitation each year, significantly influenced results. Although there were no significant or consistent differences in VWC% between the soil surfactant and NT-treated plots, turfgrass quality was significantly enhanced in the soil surfactant-treated plots and supported by higher NDVI values. Even in prolonged wet conditions with high VWC%, improved turfgrass quality was consistently observed in soil surfactant-treated plots across multiple locations in both countries over the five-year study period. Full article
Show Figures

Figure 1

10 pages, 1204 KB  
Case Report
Ultrasonographic Diagnosis and Computed Tomographic Confirmation of a Scapular Body Stress Fracture in an Elite Boxer: A Case Report
by Yonghyun Yoon, King Hei Stanley Lam, Jihyo Hwang, Seonghwan Kim, Jangkeun Kye, Hyeeun Kim, Junhan Kang, Jaeyoung Lee, Daniel Chiung-Jui Su, Teinny Suryadi, Anwar Suhaimi and Kenneth Dean Reeves
Diagnostics 2025, 15(20), 2565; https://doi.org/10.3390/diagnostics15202565 - 11 Oct 2025
Viewed by 960
Abstract
Background and Clinical Significance: Scapular stress fractures are exceptionally rare in athletes and are notoriously difficult to diagnose due to their subtle presentation and poor sensitivity on initial radiographs. This case report describes the diagnostic challenge of a scapular body stress fracture [...] Read more.
Background and Clinical Significance: Scapular stress fractures are exceptionally rare in athletes and are notoriously difficult to diagnose due to their subtle presentation and poor sensitivity on initial radiographs. This case report describes the diagnostic challenge of a scapular body stress fracture in an elite boxer who initially presented with wrist pain. Case Presentation: A 19-year-old right-hand-dominant female elite boxer presented with a three-month history of bilateral wrist pain. Initial examination and MRI were consistent with a triangular fibrocartilage complex (TFCC) injury. Despite conservative management, her symptoms persisted, and she subsequently developed mechanical right shoulder pain and a sensation of instability. Physical examination revealed scapular dyskinesis, with a positive push-up test and weakness on punch protraction. Plain radiographs of the scapula were unremarkable. Point-of-care musculoskeletal ultrasound (MSK US) identified a cortical irregularity at the medial scapular border. A subsequent computed tomography (CT) scan obtained at three-month follow-up definitively confirmed a stress fracture at this site. Treatment focused on scapular stabilization via prolotherapy and activity modification, leading to symptomatic resolution and a successful return to sport. Conclusions: This case underscores the importance of evaluating the entire kinetic chain in athletes presenting with focal complaints. It demonstrates the utility of MSK US as an effective initial screening tool for cortical stress fractures and highlights the necessity of CT for definitive confirmation. Clinicians should maintain a high index of suspicion for scapular stress injuries in overhead athletes with unexplained shoulder dysfunction. Full article
(This article belongs to the Section Medical Imaging and Theranostics)
Show Figures

Figure 1

15 pages, 295 KB  
Review
Diagnosing Plantar Plate Injuries: A Narrative Review of Clinical and Imaging Approaches
by Jeong-Jin Park, Hyun-Gyu Seok and Chul Hyun Park
Diagnostics 2025, 15(17), 2188; https://doi.org/10.3390/diagnostics15172188 - 29 Aug 2025
Viewed by 2138
Abstract
Background: Plantar plate injuries represent a common yet frequently underdiagnosed etiology of forefoot pain and metatarsophalangeal joint instability. Diagnostic accuracy is often compromised by nonspecific clinical presentations and significant symptom overlap with other forefoot pathologies, including Morton’s neuroma and synovitis. Early and accurate [...] Read more.
Background: Plantar plate injuries represent a common yet frequently underdiagnosed etiology of forefoot pain and metatarsophalangeal joint instability. Diagnostic accuracy is often compromised by nonspecific clinical presentations and significant symptom overlap with other forefoot pathologies, including Morton’s neuroma and synovitis. Early and accurate identification is essential to prevent progression to irreversible deformity. Methods: This narrative review synthesizes recent literature on the clinical evaluation, imaging modalities, and differential diagnosis of plantar plate injuries. A comprehensive literature search in a narrative review format of key databases and relevant journals was performed to critically appraise the diagnostic accuracy, advantages, limitations, and clinical implications of various diagnostic techniques. Results: Physical examination maneuvers—including the drawer test, toe purchase test, and Kelikian push-up test—provide important diagnostic insights but are constrained by operator dependency and lack of standardization. Among imaging modalities, MRI and dynamic ultrasound offer high diagnostic utility, with MRI providing superior specificity and ultrasound enabling functional, real-time assessment. Emerging techniques such as dorsiflexion-stress MRI and dual-energy CT show promising diagnostic potential, though broader clinical validation is lacking. Differential diagnosis remains a major challenge, given the clinical and radiological similarities shared with other forefoot conditions. Conclusions: Accurate diagnosis of plantar plate injuries necessitates a multimodal strategy that combines clinical suspicion, structured physical examination, and advanced imaging. Acknowledging the limitations of each diagnostic modality and integrating findings within the broader clinical context are essential for timely and accurate diagnosis. Future research should prioritize validation of diagnostic criteria, enhanced access to dynamic imaging, and the development of consensus-based grading systems to improve diagnostic precision and patient outcomes. Full article
(This article belongs to the Special Issue Advances in Foot and Ankle Surgery: Diagnosis and Management)
18 pages, 1039 KB  
Article
In Vivo (In)Stability Shoulder Assessment in Healthy Active Adults Using Force Plates and a Motion Capture System: A Cross-Sectional Study
by Laura Ramírez-Pérez, Eric Yung-Sheng Su, Antonio Ignacio Cuesta-Vargas and Graham K. Kerr
Sensors 2025, 25(17), 5333; https://doi.org/10.3390/s25175333 - 27 Aug 2025
Cited by 1 | Viewed by 1307
Abstract
The assessment of shoulder stability is a great challenge in sports medicine. There is a lack of objective tools to assess functional shoulder stability in sports with high demands on the upper limb. This cross-sectional study recruited twenty healthy adults to analyze the [...] Read more.
The assessment of shoulder stability is a great challenge in sports medicine. There is a lack of objective tools to assess functional shoulder stability in sports with high demands on the upper limb. This cross-sectional study recruited twenty healthy adults to analyze the use of a force platform in a push-up analysis as a valid tool for estimating glenohumeral stability. For this purpose, the subjects performed one strength task based on a maximum lateral abduction against a dynamometer. They also performed three variations of a push-up task on force plates with movements recorded by a 3D motion capture system. The results showed that healthy adults present similar movement patterns during push-ups, without differences in terms of stability between sexes, although males showed greater values in lateral abduction strength (left: 63.2 vs. 36.8; p < 0.001; right: 64.2 vs. 38.9; p < 0.001) and ground reaction force peak in the three push-up tasks (p < 0.005). Moreover, four prediction models were developed based on the use of force plate data to estimate kinematics concerning humerus acceleration (p < 0.001). In conclusion, this research demonstrated that force plates are a valid tool for upper-limb assessment with significant correlations with dynamometer and 3D motion capture measures. Full article
(This article belongs to the Special Issue Novel Optical Biosensors in Biomechanics and Physiology)
Show Figures

Figure 1

23 pages, 1642 KB  
Article
Neuromuscular and Psychological Performance Monitoring During One Season in Spanish Marine Corps
by Beltrán Cáceres-Diego, Pedro E. Alcaraz and Cristian Marín-Pagán
J. Funct. Morphol. Kinesiol. 2025, 10(3), 324; https://doi.org/10.3390/jfmk10030324 - 21 Aug 2025
Cited by 2 | Viewed by 1124
Abstract
Background: Training planning in military environments is complex due to diverse operational demands and constant exposure to stressors. When combined with high training volumes and insufficient recovery, this can result in physical and mental overload. Regular assessments are crucial to monitor the condition [...] Read more.
Background: Training planning in military environments is complex due to diverse operational demands and constant exposure to stressors. When combined with high training volumes and insufficient recovery, this can result in physical and mental overload. Regular assessments are crucial to monitor the condition of personnel and adjust training accordingly, though more research is needed to effectively track performance in real operational settings. Objectives: This study aims to monitor neuromuscular and psychological performance in relation to training load in a military school, addressing the research gap in tracking performance in operational settings. Methods: Overall, 27 marines (age: 27.9 ± 4.8 years; height: 178.1 ± 6.3 cm; weight: 79.1 ± 7.8 kg) were monitored over a 13-week academic-military training period to assess neuromuscular performance and psychological fatigue. Results: Laboratory tests included the countermovement jump (p = 0.002), isometric mid-thigh pull (p = 0.001), and handgrip strength for both dominant (p = 0.947) and non-dominant hands (p = 0.665). Field tests involved maximum pull-ups (p = 0.015), push-ups (p = 0.001), and the medicine ball throw (p = 0.334). Psychological evaluation via the POMS questionnaire showed the highest negative mood scores in Tension–Anxiety, Depression–Melancholia, and Fatigue–Inertia, while Vigor–Activity was the highest positive state. RESTQ-Sport results indicated total recovery was 68.9% greater than total stress. Conclusions: Despite improvements in some field tests, no significant neuromuscular gains were observed, likely due to excessive training loads, limited recovery, and sustained stress. Full article
(This article belongs to the Section Athletic Training and Human Performance)
Show Figures

Figure A1

Back to TopTop