Sign in to use this feature.

Years

Between: -

Subjects

remove_circle_outline
remove_circle_outline
remove_circle_outline
remove_circle_outline
remove_circle_outline
remove_circle_outline
remove_circle_outline

Journals

Article Types

Countries / Regions

Search Results (13)

Search Parameters:
Keywords = public and private universities in China

Order results
Result details
Results per page
Select all
Export citation of selected articles as:
20 pages, 1477 KB  
Article
AI-Powered Insights: How Digital Supply Networks and Public–Private Alliances Shape Socio-Economic Paths to Sustainability
by Khayriyah Almuammari, Kolawole Iyiola, Ahmad Alzubi and Hasan Yousef Aljuhmani
Systems 2025, 13(8), 691; https://doi.org/10.3390/systems13080691 - 13 Aug 2025
Cited by 1 | Viewed by 571
Abstract
By weaving together cutting-edge AI robotics, resilient global supply chains, universal school enrollment, and dynamic public–private energy investments, this study unveils a powerful, integrated blueprint for driving environmental sustainability in the 21st century. In doing so, the study employed advanced machine-learning techniques—specifically, it [...] Read more.
By weaving together cutting-edge AI robotics, resilient global supply chains, universal school enrollment, and dynamic public–private energy investments, this study unveils a powerful, integrated blueprint for driving environmental sustainability in the 21st century. In doing so, the study employed advanced machine-learning techniques—specifically, it introduced an ANN-enhanced wavelet quantile regression framework to uncover the multiscale determinants of China’s ecological footprint. Leveraging quarterly data from 2011/Q1 through 2024/Q4, it reveals dynamic, quantile-specific relationships that conventional approaches often miss. The result from the study demonstrates that robotics, supply-chain integration, public–private energy investments, gender-parity enrolment, and economic growth each exert a positive—and often escalating—upward pressure on the nation’s ecological footprint over short, medium, and long horizons, with the strongest effects in high ecological footprint contexts. The study proposes a significant, tailor-made policy based on these findings. Full article
(This article belongs to the Special Issue Systems Methodology in Sustainable Supply Chain Resilience)
Show Figures

Figure 1

19 pages, 2258 KB  
Article
A Caged Bird in a Communist Pavilion: Chao Tzu-chen and the Remolding of Yenching University’s School of Religion, 1949–1951
by Peter Kwok-Fai Law
Religions 2024, 15(8), 898; https://doi.org/10.3390/rel15080898 - 25 Jul 2024
Viewed by 1779
Abstract
This article examines church–state relations in the early period of the People’s Republic of China (PRC) by scrutinising the thoughts and the administration of Chao Tzu-chen—a prominent Chinese Christian leader—at Yenching University’s School of Religion and its successor organisation. This article largely relies [...] Read more.
This article examines church–state relations in the early period of the People’s Republic of China (PRC) by scrutinising the thoughts and the administration of Chao Tzu-chen—a prominent Chinese Christian leader—at Yenching University’s School of Religion and its successor organisation. This article largely relies on the archives of the Hong Kong Sheng Kung Hui, delving into Chao’s psychological conflicts and the role of the Anglican churches in Chao’s plan for the separation of the School of Religion from the university. It argues that Chao Tzu-chen’s self-contradictions in his public versus private expressions after 1949 signify his disillusionment in fostering the convergence between Christianity and Communism, as demonstrated in his dilemma regarding church–state relations. Although Chao tried to adapt to the new political order by urging Chinese churches to offer practical and concrete social services, he continued his independent, critical theological reflections on the indigenisation of Christianity, as reflected in his private portrayal of the incompatibility between Christianity and Communism, and in his close connection with foreign churches in his fund-raising campaign. Moreover, apart from highlighting the importance of the Hong Kong Anglican church in financially supporting the Yenching School of Religion, this article seeks to contribute to academic research of Chinese higher education in the 1950s through examining how the Chinese Communist Party’s remolding of the School put an end to the emerging public sphere of a civil society. It reveals that this liberal Christian institute, which lost its control over curriculum design and the right to accept foreign funds, was quickly converted into a government-funded, socialist theological college in service of two masters: the Party and the Church. Full article
Show Figures

Figure 1

14 pages, 521 KB  
Article
Do Chinese Residential Colleges Narrow the Education Disparity Caused by Socioeconomic Status? A Comparison of Public and Private Universities Using Two Main Approaches to Assess Disparities in Access and Academic Attainment
by Pingping Gui and Gazi Mahabubul Alam
Sustainability 2024, 16(12), 5079; https://doi.org/10.3390/su16125079 - 14 Jun 2024
Cited by 2 | Viewed by 2067
Abstract
Education is acknowledged as vital for a nation’s economic progress, yet socioeconomic status often dictates access to high quality education, endangering the achievement of the United Nations’ Sustainable Development Goal 4 (SDG 4), where equitable learning is paramount. Previous studies suggest that public [...] Read more.
Education is acknowledged as vital for a nation’s economic progress, yet socioeconomic status often dictates access to high quality education, endangering the achievement of the United Nations’ Sustainable Development Goal 4 (SDG 4), where equitable learning is paramount. Previous studies suggest that public residential colleges (RCs) can narrow the gap in achievement among students of varying socioeconomic status (SES). Nonetheless, they do not guarantee participants equal opportunity across all SES levels to attend RCs. Their effectiveness in private higher education institutions, particularly in China, remains underexplored. This study compares RCs in the public and private sectors to examine their role in promoting sustainable education in China. Employing the proportional stratified sampling technique, questionnaires were distributed among 615 RC students from both the public and private sectors. Through descriptive and multiple regression analyses, findings strongly indicate that RCs—whether in public or private universities—cannot guarantee equal access to RCs for learners from various SESs. Particularly, the enrolment disparity in the private sector is more pronounced. Despite these differences, RCs, regardless of institutional affiliation, contribute to narrowing academic discrepancies, as measured by Cumulative Grade Point Average (CGPA), among students from various SES backgrounds. This underscores the significance of RCs in reducing academic attainment disparities across different types of colleges. Consequently, while RCs prove to be effective in narrowing academic discrepancies, there is a pressing need to prioritize equal access to RCs for individuals from disadvantaged SES backgrounds. Addressing this challenge is crucial for tackling issues linked to sustainable education, and in this way, ensure the SDGs are actually achieved. Full article
(This article belongs to the Section Sustainable Education and Approaches)
Show Figures

Figure 1

17 pages, 1132 KB  
Article
How Smart City Construction Affects Digital Inclusive Finance in China: From the Perspective of the Relationship between Government and Large Private Capital
by Jinlong Lin, Xiaoxiao Chen and Guiquan Yan
Sustainability 2023, 15(11), 9035; https://doi.org/10.3390/su15119035 - 2 Jun 2023
Cited by 4 | Viewed by 2611
Abstract
In China, the relationship between smart city policy (SCP) and the development of digital inclusive finance (DIF) partially mirrors the connection between the Chinese government and large private capital. This study examines this relationship using data from the Peking University Digital Financial Inclusion [...] Read more.
In China, the relationship between smart city policy (SCP) and the development of digital inclusive finance (DIF) partially mirrors the connection between the Chinese government and large private capital. This study examines this relationship using data from the Peking University Digital Financial Inclusion Index of China (PKU-DFIIC) and a difference-in-differences method. Results indicate that SCP may indirectly promote DIF in pilot cities, exhibiting statistically significant growth compared to non-SCP pilot cities. This promotion effect appears indirect, as negligible DIF digitization growth in SCP pilot cities suggests that the government’s objective is not to enhance large private capital-related digital infrastructure construction. Moreover, DIF in SCP pilot cities demonstrates a statistically significant increase only in the depth of use, not in coverage. This study implies that, in China, large private capital’s behavioral logic is profit-seeking, and SCP may be employed to facilitate digital financial services development. These findings uncover SCP’s complex impact on DIF in China and the strained government–capital relationship. The Chinese government should prudently manage its relationship with capital in public policies and direct capital toward a more constructive role. Full article
Show Figures

Figure 1

15 pages, 4131 KB  
Article
Investigating the Relationship between Aquaculture Investments, Training, and Environmental Factors in Guangdong: An Alternative Perspective
by Peiwen Wang, Isabel Mendes and Ramona Franić
Fishes 2023, 8(5), 237; https://doi.org/10.3390/fishes8050237 - 1 May 2023
Cited by 1 | Viewed by 2690
Abstract
This study investigates the interplay between investment, training, and environmental factors in the aquaculture industry in the Guangdong region of China. Using NIPALS regression to address multicollinearity, we identify the factors that significantly impact losses of aquaculture products due to environmental factors. Our [...] Read more.
This study investigates the interplay between investment, training, and environmental factors in the aquaculture industry in the Guangdong region of China. Using NIPALS regression to address multicollinearity, we identify the factors that significantly impact losses of aquaculture products due to environmental factors. Our findings highlight the importance of targeted training and education for fisherfolks and extension staff to enhance environmental management practices and reduce losses. We also emphasize the need to consider regional variability and challenges in developing universal models. Based on our results, we propose using innovative technology, fostering public–private partnerships, and adapting to regional variability to address environmental challenges. Finally, we suggest establishing a comprehensive monitoring and evaluation system to assess the effectiveness of interventions and promote evidence-based decision-making for sustainable development in the region’s aquaculture sector. Full article
(This article belongs to the Special Issue Fisheries and Blue Economy)
Show Figures

Figure 1

14 pages, 901 KB  
Article
The Trend of Scientific Productivity of Chinese, European Union, and United States Universities and Private Companies: Does the Future Belong to E-Technology Companies?
by Mauro G. Carta, Matthias C. Angermeyer and Silvano Tagliagambe
Publications 2021, 9(2), 18; https://doi.org/10.3390/publications9020018 - 26 Apr 2021
Cited by 4 | Viewed by 3473
Abstract
The purpose is to verify trends of scientific production from 2010 to 2020, considering the best universities of the United States, China, the European Union (EU), and private companies. The top 30 universities in 2020 in China, the EU, and the US and [...] Read more.
The purpose is to verify trends of scientific production from 2010 to 2020, considering the best universities of the United States, China, the European Union (EU), and private companies. The top 30 universities in 2020 in China, the EU, and the US and private companies were selected from the SCImago institutions ranking (SIR). The positions in 2020, 2015, and 2010 in SIR and three sub-indicators were analyzed by means of non-parametric statistics, taking into consideration the effect of time and group on rankings. American and European Union universities have lost positions to Chinese universities and even more to private companies, which have improved. In 2020, private companies have surpassed all other groups considering Innovation as a sub-indicator. The loss of leadership of European and partly American universities mainly concerns research linked to the production of patents. This can lead to future risks of monopoly that may elude public control and cause a possible loss of importance of research not linked to innovation. Full article
Show Figures

Figure 1

18 pages, 1351 KB  
Article
Healthcare-Seeking Behavior among Chinese Older Adults: Patterns and Predictive Factors
by Yanbing Zeng, Yuanyuan Wan, Zhipeng Yuan and Ya Fang
Int. J. Environ. Res. Public Health 2021, 18(6), 2969; https://doi.org/10.3390/ijerph18062969 - 14 Mar 2021
Cited by 50 | Viewed by 7296
Abstract
This study aimed to investigate the patterns and predictive factors of healthcare-seeking behavior among older Chinese adults. A sample of 10,914 participants aged ≥60 years from the 2011, 2013 and 2015 China Health and Retirement Longitudinal Study (CHARLS) was included. The bivariate analyses [...] Read more.
This study aimed to investigate the patterns and predictive factors of healthcare-seeking behavior among older Chinese adults. A sample of 10,914 participants aged ≥60 years from the 2011, 2013 and 2015 China Health and Retirement Longitudinal Study (CHARLS) was included. The bivariate analyses and Heckman selection model was used to identify predictors of healthcare-seeking behavior. Results shows that the utilization rate of outpatient services increased from 21.61% in 2011 to 32.41% in 2015, and that of inpatient services increased from 12.44% to 17.68%. In 2015, 71.93% and 92.18% chose public medical institutions for outpatient and inpatient services, 57.63% and 17.00% chose primary medical institutions. The individuals who were female, were younger, lived in urban, central or western regions, had medical insurance, had poor self-rated health and exhibited activity of daily living (ADL) impairment were more inclined to outpatient and inpatient services. Transportation, medical expenses, the out-of-pocket ratio and the urgency of the disease were associated with provider selection. The universal medical insurance schemes improved health service utilization for the elderly population but had little impact on the choice of medical institutions. The older adults preferred public institutions to private institutions, preferred primary institutions for outpatient care, and higher-level hospitals for hospitalization. Full article
(This article belongs to the Section Health Behavior, Chronic Disease and Health Promotion)
Show Figures

Figure 1

18 pages, 7671 KB  
Article
Factors Influencing Private Hospitals’ Participation in the Innovation of Biomedical Engineering Industry: A Perspective of Evolutionary Game Theory
by Weiwei Liu, Jianing Yang and Kexin Bi
Int. J. Environ. Res. Public Health 2020, 17(20), 7442; https://doi.org/10.3390/ijerph17207442 - 13 Oct 2020
Cited by 8 | Viewed by 3140
Abstract
The innovation of the biomedical engineering (BME) industry is inseparable from its cooperation with medical institutions. China has considerable medical institutions. Although private hospitals account for more than half of Chinese medical institutions, they rarely participate in biomedical engineering industry innovation. This paper [...] Read more.
The innovation of the biomedical engineering (BME) industry is inseparable from its cooperation with medical institutions. China has considerable medical institutions. Although private hospitals account for more than half of Chinese medical institutions, they rarely participate in biomedical engineering industry innovation. This paper analyzed the collaborative relationship among biomedical engineering enterprises, universities, research institutes, public hospitals and private hospitals through evolutionary game theory and discussed the influence of different factors on the collaborative innovation among them. A tripartite evolutionary game model is established which regards private hospitals as a stakeholder. The results show that (1) the good credit of private hospitals has a positive effect on their participation in collaborative innovation; (2) it is helpful for BME collaborative innovation to enhance the collaborative innovation ability of partners; (3) the novelty of innovation projects has an impact on BME collaborative innovation. The specific impacts depend on the revenue, cost and risk allocation ratio of innovation partners; (4) the higher the practicability of innovation projects, the more conducive to collaborative innovation. Full article
(This article belongs to the Section Environmental Science and Engineering)
Show Figures

Figure 1

19 pages, 828 KB  
Article
Sustainable Development at Higher Education in China: A Comparative Study of Students’ Perception in Public and Private Universities
by Jiawen Wang, Minghui Yang and Petra Maresova
Sustainability 2020, 12(6), 2158; https://doi.org/10.3390/su12062158 - 11 Mar 2020
Cited by 80 | Viewed by 11947
Abstract
This research is implemented in the backdrop of the increasing number of private universities established in China over the last decade, and a growing public concern of sustainable development. The private university has a different reputation and source of funding compared with the [...] Read more.
This research is implemented in the backdrop of the increasing number of private universities established in China over the last decade, and a growing public concern of sustainable development. The private university has a different reputation and source of funding compared with the public one, leading to different perception and practices toward sustainable development. Yet, none of past studies have investigated into public and private universities in the Chinese context, making this study fill this gap through comparing students’ perception in Zhongkai University of Agriculture and Engineering (a public university) and Guangzhou College of South China University of Technology (a private university). By using the five-point Likert scale questionnaire, 393 students from the public university and 347 students from the private university participated in the survey. The results reveal that students have greatest concern with sustainability commitment and their university’s role for promoting sustainable development, and have least concern with sustainability curricula and research. Compared with students from the public university, students in the private one more often agree on the importance of sustainable development, and have a higher level of perception about commitment, knowledge, attitudes, and practices toward sustainability. The study findings assert that the higher level of perception from private university’s students is due to active campus sustainability engagement and positive stakeholder relationship managed by university management. The study implies that higher education needs to decentralize sustainable plans and decision-making to students, staff, and faculty, and public universities need to incorporate more sustainability-related context into curriculum and academic project. Full article
(This article belongs to the Special Issue Promoting Sustainability in Higher Education)
Show Figures

Figure 1

6 pages, 454 KB  
Editorial
Optimal Transition toward Innovation-led Sustainable Governance under the 2020 Paris Regime
by Yongrok Choi
Sustainability 2020, 12(4), 1538; https://doi.org/10.3390/su12041538 - 18 Feb 2020
Cited by 2 | Viewed by 2357
Abstract
This Special Issue consists of selected papers from the 2019 Sustainable Asia Conference (SAC), an annual international conference held at the Anhui University of Finance and Economics, Bengbu, China, in June of 2019, and the 12th Sustainable Asia Conference held at Inha University, [...] Read more.
This Special Issue consists of selected papers from the 2019 Sustainable Asia Conference (SAC), an annual international conference held at the Anhui University of Finance and Economics, Bengbu, China, in June of 2019, and the 12th Sustainable Asia Conference held at Inha University, Incheon, Korea, in October of 2019. SAC is one of the leading international conferences for presenting novel and fundamental advances in sustainable development issues for Asia. Evidently, sustainable development urgently requires public and private cooperation for the challenges faced across diverse fields of activities because of the complex procedure of enactment. Northeast Asian countries are very sensitive to this matter because of the strong leadership of their governments, and thus, it is of utmost importance to develop sustainable governance mechanisms. Government-led political regulations could be much more important in Asia, but without the strong support of the private sector, they cannot be sustainable. We have already seen many policy failures in Asian countries during this initial stage of ecological civilization. Therefore, this Special Issue proposes the workable mechanism for sustainable development in diverse perspectives. This Special Issue focuses on diverse yet unique issues for sustainable development and its governance under the Paris regime in 2020. Full article
Show Figures

Figure 1

15 pages, 4108 KB  
Article
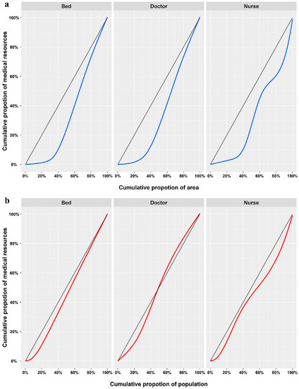
Assessing Spatial Accessibility to Medical Resources at the Community Level in Shenzhen, China
by Lei Zhu, Shuang Zhong, Wei Tu, Jing Zheng, Shenjing He, Junzhe Bao and Cunrui Huang
Int. J. Environ. Res. Public Health 2019, 16(2), 242; https://doi.org/10.3390/ijerph16020242 - 16 Jan 2019
Cited by 58 | Viewed by 8107
Abstract
Spatial accessibility to medical resources is an integral component of universal health coverage. However, research evaluating the spatial accessibility of healthcare services at the community level in China remains limited. We assessed the community-level spatial access to beds, doctors, and nurses at general [...] Read more.
Spatial accessibility to medical resources is an integral component of universal health coverage. However, research evaluating the spatial accessibility of healthcare services at the community level in China remains limited. We assessed the community-level spatial access to beds, doctors, and nurses at general hospitals and identified the shortage areas in Shenzhen, one of the fastest growing cities in China. Based on hospital and population data from 2016, spatial accessibility was analyzed using several methods: shortest path analysis, Gini coefficient, and enhanced 2-step floating catchment area (E2SFCA). The study found that 99.9% of the residents in Shenzhen could get to the nearest general hospital within 30 min. Healthcare supply was much more equitable between populations than across communities in the city. E2SFCA scores showed that the communities with the best and worst hospital accessibility were found in the southwest and southeast of the city, respectively. State-owned public hospitals still dominated the medical resources supply market and there was a clear spatial accessibility disparity between private and public healthcare resources. The E2SFCA scores supplement more details about resource disparity over space than do crude provider-to-population ratios (PPR) and can help improve the efficiency of the distribution of medical resources. Full article
(This article belongs to the Section Health Economics)
Show Figures

Figure 1

8 pages, 190 KB  
Review
Oral Health Care in Hong Kong
by Sherry Shiqian Gao, Kitty Jieyi Chen, Duangporn Duangthip, Edward Chin Man Lo and Chun Hung Chu
Healthcare 2018, 6(2), 45; https://doi.org/10.3390/healthcare6020045 - 11 May 2018
Cited by 25 | Viewed by 8047
Abstract
Hong Kong, as a special administrative region of the People’s Republic of China, is a metropolitan city in Asia with a population of approximately 7.4 million. This paper reflects the oral health care situation in Hong Kong. Water fluoridation was introduced in 1961 [...] Read more.
Hong Kong, as a special administrative region of the People’s Republic of China, is a metropolitan city in Asia with a population of approximately 7.4 million. This paper reflects the oral health care situation in Hong Kong. Water fluoridation was introduced in 1961 as the primary strategy for the prevention of dental caries. The fluoride level is currently 0.5 parts per million. Dental care is mainly provided by private dentists. The government’s dentists primarily serve civil servants and their dependents, with limited emergency dental service for pain relief offered to the general public. Nevertheless, the government runs the school dental care service, which provides dental treatments to primary school children through dental therapists. They also set up an oral health education unit to promote oral health in the community. Hong Kong had 2280 registered dentists in 2017, and the dentist-to-population ratio was about 1:3200. The Faculty of Dentistry at the University of Hong Kong is the only institution to provide basic and advanced dentistry training programs in Hong Kong. Dental hygienists, dental surgery assistants, dental therapists, and dental technicians receive training as paradental staff through the university or the government. Full article
(This article belongs to the Special Issue Dental Care)
25 pages, 642 KB  
Article
An Analysis of the United Nations Conference on Sustainable Development (Rio +20) Discourse Using an Ability Expectation Lens
by Jacqueline Noga and Gregor Wolbring
Sustainability 2013, 5(9), 3615-3639; https://doi.org/10.3390/su5093615 - 22 Aug 2013
Cited by 14 | Viewed by 12545
Abstract
The United Nations Conference on Sustainable Development (Rio +20) was hosted in Rio de Janeiro, Brazil, from June 20–22, 2012, 20 years after the first Earth Summit, with the intention of creating solutions to current global environmental issues. In this paper we present [...] Read more.
The United Nations Conference on Sustainable Development (Rio +20) was hosted in Rio de Janeiro, Brazil, from June 20–22, 2012, 20 years after the first Earth Summit, with the intention of creating solutions to current global environmental issues. In this paper we present the results of an analysis of academic and newspaper articles that covered the Rio +20 summit, using an ability expectation lens. Articles were collected from academic databases such as EBSCO, as well as from newspapers such as the Globe and Mail (Canada) and China Daily; the articles collected were coded for ability expectations using an extensive list of codes which has been designed to identify ability expectations. Analysis of the discourse has revealed a number of ability expectations, such as the ability to produce and consume, the ability to work, and the ability to control. These ability expectations reveal what is seen as a necessary part of development. The opportunities and challenges which occur during development may be related to the expectations of the public, academic, private and not-for-profit sectors. The authors submit that in order to move forward towards universal sustainable development, it is critical to consider the ability expectations which are both explicitly and implicitly included in the Rio +20 discourse. Full article
Back to TopTop