Sign in to use this feature.

Years

Between: -

Subjects

remove_circle_outline
remove_circle_outline
remove_circle_outline
remove_circle_outline

Journals

Article Types

Countries / Regions

Search Results (6)

Search Parameters:
Keywords = pseudophase change

Order results
Result details
Results per page
Select all
Export citation of selected articles as:
45 pages, 166585 KB  
Review
A Review of the Complex Flow and Heat Transfer Characteristics in Microchannels
by Junqiang Zhang, Zhengping Zou and Chao Fu
Micromachines 2023, 14(7), 1451; https://doi.org/10.3390/mi14071451 - 19 Jul 2023
Cited by 22 | Viewed by 7594
Abstract
Continuously improving heat transfer efficiency is one of the important goals in the field of energy. Compact heat exchangers characterized by microscale flow and heat transfer have successfully provided solutions for this purpose. However, as the characteristic scale of the channels decreases, the [...] Read more.
Continuously improving heat transfer efficiency is one of the important goals in the field of energy. Compact heat exchangers characterized by microscale flow and heat transfer have successfully provided solutions for this purpose. However, as the characteristic scale of the channels decreases, the flow and heat transfer characteristics may differ from those at the conventional scale. When considering the influence of scale effects and changes in special fluid properties, the flow and heat transfer process becomes more complex. The conclusions of the relevant studies have not been unified, and there are even disagreements on some aspects. Therefore, further research is needed to obtain a sufficient understanding of flow structure and heat transfer mechanisms in microchannels. This article systematically reviews the research about microscale flow and heat transfer, focusing on the flow and heat transfer mechanisms in microchannels, which is elaborated in the following two perspectives: one is the microscale single-phase flow and heat transfer that only considers the influence of scale effects, the other is the special heat transfer phenomena brought about by the coupling of microscale flow with special fluids (fluid with phase change (pseudophase change)). The microscale flow and heat transfer mechanisms under the influence of multiple factors, including scale effects (such as rarefaction, surface roughness, axial heat conduction, and compressibility) and special fluids, are investigated, which can meet the specific needs for the design of various microscale heat exchangers. Full article
Show Figures

Figure 1

19 pages, 3190 KB  
Article
Efficiency of δ-Tocopherol in Inhibiting Lipid Oxidation in Emulsions: Effects of Surfactant Charge and of Surfactant Concentration
by Tamara Martínez-Senra, Sonia Losada-Barreiro and Carlos Bravo-Díaz
Antioxidants 2023, 12(6), 1158; https://doi.org/10.3390/antiox12061158 - 26 May 2023
Cited by 4 | Viewed by 2574
Abstract
Charged interfaces may play an important role in the fate of chemical reactions. Alterations in, for instance, the interfacial acidity of emulsions induced by the charge of the surfactant head group and associated counterions may change the ionization status of antioxidants, modifying their [...] Read more.
Charged interfaces may play an important role in the fate of chemical reactions. Alterations in, for instance, the interfacial acidity of emulsions induced by the charge of the surfactant head group and associated counterions may change the ionization status of antioxidants, modifying their effective concentrations. The chemical reactivity between interfacial reactants and charged species of opposite charge (protons, metallic ions, etc.) is usually interpreted in terms of pseudophase ion-exchange models, treating the distribution of charged species in terms of partitioning and ion exchange. Here, we focus on analyzing the effects of charged interfaces on the oxidative stability of soybean oil-in-water (o/w) emulsions prepared with anionic (sodium dodecyl sulfate, SDS), cationic (cetyltrimethylammonium bromide, CTAB) and neutral (Tween 20) surfactants, and some of their mixtures, in the presence and absence of δ-tocopherol (δ-TOC). We have also determined the effective concentrations of δ-TOC in the oil, interfacial and aqueous regions of the intact emulsions. In the absence of δ-TOC, the relative oxidative stability order was CTAB < TW20 ~ TW20/CTAB < SDS. Surprisingly, upon the addition of δ-TOC, the relative order was SDS ≈ TW20 << TW20/CTAB < CTAB. These apparently surprising results can be rationalized in terms of the nice correlation that exists between the relative oxidative stability and the effective interfacial concentrations of δ-TOC in the various emulsions. The results emphasize the importance of considering the effective interfacial concentrations of antioxidants in interpreting their relative efficiency in emulsions. Full article
(This article belongs to the Section Aberrant Oxidation of Biomolecules)
Show Figures

Graphical abstract

16 pages, 3343 KB  
Article
Unexpected Antioxidant Efficiency of Chlorogenic Acid Phenolipids in Fish Oil-in-Water Nanoemulsions: An Example of How Relatively Low Interfacial Concentrations Can Make Antioxidants to Be Inefficient
by Marlene Costa, Sonia Losada-Barreiro, António Vicente, Carlos Bravo-Díaz and Fátima Paiva-Martins
Molecules 2022, 27(3), 861; https://doi.org/10.3390/molecules27030861 - 27 Jan 2022
Cited by 6 | Viewed by 2978
Abstract
Selecting effective antioxidants is challenging since their efficiency in inhibiting lipid oxidation depends on the rate constants of the chemical reactions involved and their concentration at the reaction site, i.e., at the interfacial region. Accumulation of antioxidants at the interface of emulsions is [...] Read more.
Selecting effective antioxidants is challenging since their efficiency in inhibiting lipid oxidation depends on the rate constants of the chemical reactions involved and their concentration at the reaction site, i.e., at the interfacial region. Accumulation of antioxidants at the interface of emulsions is key to modulate their efficiency in inhibiting lipid oxidation but its control was not well understood, especially in emulsions. It can be optimized by modifying the physicochemical properties of antioxidants or the environmental conditions. In this work, we analyze the effects of surfactant concentration, droplet size, and oil to water ratio on the effective interfacial concentration of a set of chlorogenic acid (CGA) esters in fish oil-in-water (O/W) emulsions and nanoemulsions and on their antioxidant efficiency. A well-established pseudophase kinetic model is used to determine in the intact emulsified systems the effective concentrations of the antioxidants (AOs). The relative oxidative stability of the emulsions is assessed by monitoring the formation of primary oxidation products with time. Results show that the concentration of all AOs at the interfacial region is much higher (20–90 fold) than the stoichiometric one but is much lower than those of other phenolipid series such as caffeic or hydroxytyrosol derivatives. The main parameter controlling the interfacial concentration of antioxidants is the surfactant volume fraction, ΦI, followed by the O/W ratio. Changes in the droplet sizes (emulsions and nanoemulsions) have no influence on the interfacial concentrations. Despite the high radical scavenging capacity of CGA derivatives and their being concentrated at the interfacial region, the investigated AOs do not show a significant effect in inhibiting lipid oxidation in contrast with what is observed using other series of homologous antioxidants with similar reactivity. Results are tentatively interpreted in terms of the relatively low interfacial concentrations of the antioxidants, which may not be high enough to make the rate of the inhibition reaction faster than the rate of radical propagation. Full article
(This article belongs to the Special Issue Antioxidants in Multiphase Systems)
Show Figures

Graphical abstract

13 pages, 2296 KB  
Article
Phase Inversion and Interfacial Layer Microstructure in Emulsions Stabilized by Glycosurfactant Mixtures
by Rodolfo Esposito, Domenico Cavasso, Marcella Niccoli and Gerardino D’Errico
Nanomaterials 2021, 11(2), 331; https://doi.org/10.3390/nano11020331 - 27 Jan 2021
Cited by 8 | Viewed by 3450
Abstract
Identification of strategies to prolong emulsion kinetic stability is a fundamental challenge for many scientists and technologists. We investigated the relationship between the emulsion stability and the surfactant supramolecular organization at the oil–water interface. The pseudo-phase diagrams of emulsions formed by water and, [...] Read more.
Identification of strategies to prolong emulsion kinetic stability is a fundamental challenge for many scientists and technologists. We investigated the relationship between the emulsion stability and the surfactant supramolecular organization at the oil–water interface. The pseudo-phase diagrams of emulsions formed by water and, alternatively, a linear or a branched oil, stabilized by mixtures of two sugar-based surfactants, Span80 and Tween80, are presented. The surfactant ordering and dynamics were analyzed by electron paramagnetic resonance (EPR) spectroscopy. In Oil-in-Water (O/W) emulsions, which are stable for more than four days, disordered surfactant tails formed a compact and viscous layer. In Water-in-Oil (W/O) emulsions, whose stability is much lower, surfactants formed an ordered layer of extended tails pointing toward the continuous apolar medium. If linear oil was used, a narrow range of surfactant mixture composition existed, in which emulsions did not demix in the whole range of water/oil ratio, thus making it possible to study the phase inversion from O/W to W/O structures. While conductometry showed an abrupt inversion occurring at a well-defined water/oil ratio, the surfactant layer microstructure changed gradually between the two limiting situations. Overall, our results demonstrate the interconnection between the emulsion stability and the surfactant layer microstructuring, thus indicating directions for their rational design. Full article
(This article belongs to the Special Issue Micro/Nano Emulsions: Smart Colloids for Multiple Applications)
Show Figures

Figure 1

20 pages, 2889 KB  
Article
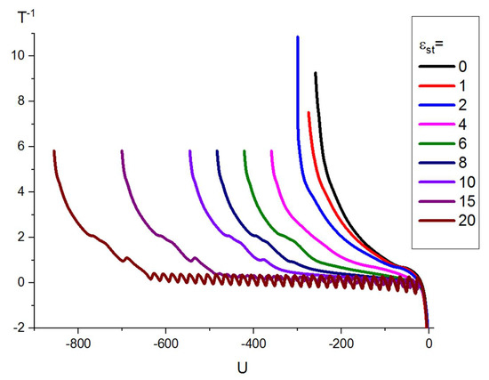
Diagrams of States of Single Flexible-Semiflexible Multi-Block Copolymer Chains: A Flat-Histogram Monte Carlo Study
by Daria Maltseva, Sergey Zablotskiy, Julia Martemyanova, Viktor Ivanov, Timur Shakirov and Wolfgang Paul
Polymers 2019, 11(5), 757; https://doi.org/10.3390/polym11050757 - 30 Apr 2019
Cited by 4 | Viewed by 3278
Abstract
The combination of flexibility and semiflexibility in a single molecule is a powerful design principle both in nature and in materials science. We present results on the conformational behavior of a single multiblock-copolymer chain, consisting of equal amounts of Flexible (F) and Semiflexible [...] Read more.
The combination of flexibility and semiflexibility in a single molecule is a powerful design principle both in nature and in materials science. We present results on the conformational behavior of a single multiblock-copolymer chain, consisting of equal amounts of Flexible (F) and Semiflexible (S) blocks with different affinity to an implicit solvent. We consider a manifold of macrostates defined by two terms in the total energy: intermonomer interaction energy and stiffness energy. To obtain diagrams of states (pseudo-phase diagrams), we performed flat-histogram Monte Carlo simulations using the Stochastic Approximation Monte Carlo algorithm (SAMC). We have accumulated two-Dimensional Density of States (2D DoS) functions (defined on the 2D manifold of macrostates) for a SF-multiblock-copolymer chain of length N = 64 with block lengths b = 4, 8, 16, and 32 in two different selective solvents. In an analysis of the canonical ensemble, we calculated the heat capacity and determined its maxima and the most probable morphologies in different regions of the state diagrams. These are rich in various, non-trivial morphologies, which are formed without any specific interactions, and depend on the block length and the type of solvent selectivity (preferring S or F blocks, respectively). We compared the diagrams with those for the non-selective solvent and reveal essential changes in some cases. Additionally, we implemented microcanonical analysis in the “conformational” microcanonical ( N V U , where U is the potential energy) and the true microcanonical ( N V E , where E is the total energy) ensembles with the aim to reveal and classify pseudo-phase transitions, occurring under the change of temperature. Full article
Show Figures

Figure 1

60 pages, 481 KB  
Review
Microheterogeneous Catalysis
by Eva Bernal, María Marchena and Francisco Sánchez
Molecules 2010, 15(7), 4815-4874; https://doi.org/10.3390/molecules15074815 - 9 Jul 2010
Cited by 8 | Viewed by 11358
Abstract
The catalytic effect of micelles, polymers (such as DNA, polypeptides) and nanoparticles, saturable receptors (cyclodextrins and calixarenes) and more complex systems (mixing some of the above mentioned catalysts) have been reviewed. In these microheterogeneous systems the observed changes in the rate constants have [...] Read more.
The catalytic effect of micelles, polymers (such as DNA, polypeptides) and nanoparticles, saturable receptors (cyclodextrins and calixarenes) and more complex systems (mixing some of the above mentioned catalysts) have been reviewed. In these microheterogeneous systems the observed changes in the rate constants have been rationalized using the Pseudophase Model. This model produces equations that can be derived from the Brönsted equation, which is the basis for a more general formulation of catalytic effects, including electrocatalysis. When, in the catalyzed reaction one of the reactants is in the excited state, the applicability (at least formally) of the Pseudophase Model occurs only in two limiting situations: the lifetime of the fluorophore and the distributions of the quencher and the probe are the main properties that define the different situations. Full article
(This article belongs to the Special Issue Heterogeneous Catalysis)
Show Figures

Figure 1

Back to TopTop