Sign in to use this feature.

Years

Between: -

Subjects

remove_circle_outline
remove_circle_outline
remove_circle_outline
remove_circle_outline
remove_circle_outline
remove_circle_outline
remove_circle_outline
remove_circle_outline
remove_circle_outline

Journals

Article Types

Countries / Regions

Search Results (206)

Search Parameters:
Keywords = pruning residue

Order results
Result details
Results per page
Select all
Export citation of selected articles as:
18 pages, 4806 KB  
Article
Solarized Auger Reactor for Organic Waste Upgrading Through Pyrolysis
by Ernesto Anguera Romero, Nidia Aracely Cisneros-Cárdenas, Arturo Aspiazu-Méndez, Heidi Isabel Villafán Vidales, Pablo Pizarro Medina and Claudio A. Estrada
Processes 2025, 13(10), 3216; https://doi.org/10.3390/pr13103216 - 9 Oct 2025
Viewed by 360
Abstract
This study reports the initial thermal and thermochemical performance of a novel solarized Auger-type reactor for Pyrolysis (SARP), specifically developed for the valorization of organic solid waste into solar-derived fuels. A key innovation of this system lies in its integration with a high-flux, [...] Read more.
This study reports the initial thermal and thermochemical performance of a novel solarized Auger-type reactor for Pyrolysis (SARP), specifically developed for the valorization of organic solid waste into solar-derived fuels. A key innovation of this system lies in its integration with a high-flux, point-focus solar concentrator that enables controlled delivery of concentrated solar radiation to drive endothermic processes. At the front of the reactor, the thermal evaluation under solar irradiation shows that surface temperatures reached up to approximately 750 °C on the exterior, while the hottest section of the interior briefly reached approximately 700 °C, in the pyrolysis zone. In contrast, the preheating zone inside the reactor exhibits temperatures ranging from 160 °C to 306 °C, indicating a non-uniform thermal profile for the incoming feedstock. The campaign focused on thermochemical pyrolysis, in which pecan walnut tree pruning residue biomass was processed under controlled semicontinuous operation. Batches of 600 g were pyrolyzed, yielding approximately 390 g of biochar and achieving a peak hydrogen concentration of 14.5% vol in the product gases. These findings demonstrate the reactor’s potential for solar-driven waste-to-fuel conversion. Full article
(This article belongs to the Special Issue Advances in Solid Waste Treatment and Design (2nd Edition))
Show Figures

Figure 1

21 pages, 741 KB  
Article
A DH-KSVD Algorithm for Efficient Compression of Shock Wave Data
by Jiarong Liu, Yonghong Ding and Wenbin You
Appl. Sci. 2025, 15(19), 10640; https://doi.org/10.3390/app151910640 - 1 Oct 2025
Viewed by 268
Abstract
To address low training efficiency and poor reconstruction in traditional K Singular Value Decomposition (KSVD) for compressive sensing of shock wave signals, this study proposes an improved algorithm, DH-KSVD, integrating dynamic pruning and hybrid coding. The dynamic pruning mechanism eliminates redundant atoms according [...] Read more.
To address low training efficiency and poor reconstruction in traditional K Singular Value Decomposition (KSVD) for compressive sensing of shock wave signals, this study proposes an improved algorithm, DH-KSVD, integrating dynamic pruning and hybrid coding. The dynamic pruning mechanism eliminates redundant atoms according to their contributions and adaptive thresholds, while incorporating residual features to enhance dictionary compactness and training efficiency. The hybrid sparse constraint integrates the sparsity of 0-Orthogonal Matching Pursuit (OMP) with the noise robustness of 1-Least Absolute Shrinkage and Selection Operator (LASSO), dynamically adjusting their relative weights to enhance both coding quality and reconstruction stability. Experiments on typical shock wave datasets show that, compared with Discrete Cosine Transform (DCT), KSVD, and feature-based segmented dictionary methods (termed CC-KSVD), DH-KSVD reduces average training time by 46.4%, 31%, and 13.7%, respectively. At a Compression Ratio (CR) of 0.7, the Root Mean Square Error (RMSE) decreases by 67.1%, 65.7%, and 36.2%, while the Peak Signal-to-Noise Ratio (PSNR) increases by 35.5%, 39.8%, and 11.8%, respectively. The proposed algorithm markedly improves training efficiency and achieves lower RMSE and higher PSNR under high compression ratios, providing an effective solution for compressing long-duration, transient shock wave signals. Full article
Show Figures

Figure 1

15 pages, 773 KB  
Review
Evolutionary Trajectory of Plasmodium falciparum: From Autonomous Phototroph to Dedicated Parasite
by Damian Pikor, Mikołaj Hurla, Alicja Drelichowska and Małgorzata Paul
Biomedicines 2025, 13(9), 2287; https://doi.org/10.3390/biomedicines13092287 - 17 Sep 2025
Viewed by 482
Abstract
Malaria persists as a paradigmatic model of co-evolutionary complexity, emerging from the dynamic interplay among a human host, Anopheles vectors, and Plasmodium falciparum parasites. In human populations, centuries of selective pressures have sculpted an intricate and heterogeneous immunogenetic landscape. Classical adaptations, such as [...] Read more.
Malaria persists as a paradigmatic model of co-evolutionary complexity, emerging from the dynamic interplay among a human host, Anopheles vectors, and Plasmodium falciparum parasites. In human populations, centuries of selective pressures have sculpted an intricate and heterogeneous immunogenetic landscape. Classical adaptations, such as hemoglobinopathies, are complemented by a diverse array of genetic polymorphisms that modulate innate and adaptive immune responses. These genetic traits, along with the acquisition of functional immunity following repeated exposures, mitigate disease severity but are continually challenged by the parasite’s highly evolved mechanisms of antigenic variation and immunomodulation. Such host adaptations underscore an evolutionary arms race that perpetually shapes the clinical and epidemiological outcomes. Intermediaries in malaria transmission have evolved robust responses to both natural and anthropogenic pressures. Their vector competence is governed by complex polygenic traits that affect physiological barriers and immune responses during parasite development. Recent studies reveal that these mosquitoes exhibit rapid behavioral and biochemical adaptations, including shifts in host-seeking behavior and the evolution of insecticide resistance. Mechanisms such as enhanced metabolic detoxification and target site insensitivity have emerged in response to the widespread use of insecticides, thereby eroding the efficacy of conventional interventions like insecticide-treated bed nets and indoor residual spraying. These adaptations not only sustain transmission dynamics in intervention saturated landscapes but also challenge current vector control paradigms, necessitating the development of innovative, integrated management strategies. At the molecular level, P. falciparum exemplifies evolutionary ingenuity through extensive genomic streamlining and metabolic reconfiguration. Its compact genome, a result of strategic gene loss and pruning, is optimized for an obligate parasitic lifestyle. The repurposing of the apicoplast for critical anabolic functions including fatty acid, isoprenoid, and haem biosynthesis highlights the parasite’s ability to exploit host derived nutrients efficiently. Moreover, the rapid accumulation of mutations, coupled with an elaborate repertoire for antigenic switching and epigenetic regulation, not only facilitates immune escape but also accelerates the emergence of antimalarial drug resistance. Advanced high throughput sequencing and functional genomics have begun to elucidate the metabolic epigenetic nexus that governs virulence gene expression and antigenic diversity in P. falciparum. By integrating insights from molecular biology, genomics, and evolutionary ecology, this study delineates the multifaceted co-adaptive dynamics that render malaria a recalcitrant global health threat. Our findings provide critical insights into the molecular arms race at the heart of host–pathogen vector interactions and underscore promising avenues for the development of next generation therapeutic and vector management strategies aimed at sustainable malaria elimination. Full article
(This article belongs to the Section Microbiology in Human Health and Disease)
Show Figures

Figure 1

12 pages, 1911 KB  
Article
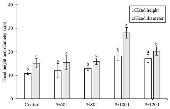
Agrivoltaic Impact on Some Lettuce Quality Attributes and Photovoltaic Power Generation
by Yasin Gunhan and Onur Taskin
Plants 2025, 14(18), 2853; https://doi.org/10.3390/plants14182853 - 12 Sep 2025
Viewed by 478
Abstract
Agrivoltaics represent an innovative approach that enables the simultaneous production of both agriculture and energy on limited lands. The purpose of this study is to evaluate the feasibility of using pruning residues as a sustainable construction material for Agrivoltaic structures and to investigate [...] Read more.
Agrivoltaics represent an innovative approach that enables the simultaneous production of both agriculture and energy on limited lands. The purpose of this study is to evaluate the feasibility of using pruning residues as a sustainable construction material for Agrivoltaic structures and to investigate the different irrigation conditions (control group (open field) with 100% irrigation (I), 60% I, 80% I, 100% I, and 120% I under the Agrivoltaic) on some lettuce (Lactuca sativa L.) quality parameters and PV (photovoltaic) power generation. As a result of the study, the Agrivoltaic system resulted in a 2.92% power loss compared to a conventional PV panel. The average light intensity under the PV panels was recorded as 6500 lux, while it was 47,700 lux in the control group. Therefore, the mean SPAD values of lettuce plants were found at 24.94 SPAD under the Agrivoltaic system, in contrast to 32.49 SPAD measured in the control group. Among the conditions tested, the 100% irrigation (I) condition under the Agrivoltaic system was found to be the most favorable method for lettuce quality in terms of the a* color value, head weight, marketable head weight, head height, head diameter, root length, root width, and root collar diameter. In conclusion, Agrivoltaic systems demonstrate significant potential in the agricultural and energy sectors, contributing to environmental and economic sustainability. Full article
Show Figures

Figure 1

25 pages, 2277 KB  
Article
Circular Economy Assessment of Biochar-Enhanced Compost in Viticulture Using Ecocanvas
by Alexy Apolo-Romero, Nieves García-Casarejos and Pilar Gargallo
Agriculture 2025, 15(18), 1932; https://doi.org/10.3390/agriculture15181932 - 11 Sep 2025
Viewed by 598
Abstract
This study evaluates the application of circular economy principles in the wine sector through a demonstrative case developed within the LIFE Climawin project. The initiative focuses on the local valorization of vineyard residues by producing biochar from vine pruning and using it to [...] Read more.
This study evaluates the application of circular economy principles in the wine sector through a demonstrative case developed within the LIFE Climawin project. The initiative focuses on the local valorization of vineyard residues by producing biochar from vine pruning and using it to enrich compost derived from winemaking by-products and sheep manure. The combined application of these soil amendments aims to improve soil structure, enhance carbon sequestration, and reduce reliance on synthetic fertilizers. A systemic evaluation was conducted using the Ecocanvas methodology—a conceptual framework for mapping circular business models across environmental, economic, and social dimensions. The analysis integrated a targeted literature review, examination of technical data, direct field observations of composting and biochar production, and semi-structured interviews with key stakeholders. Results indicate multiple benefits from localized residue valorization, including improved compost quality, reduced greenhouse gas emissions, potential contributions to long-term soil health, and enhanced resource efficiency. The analysis also highlights economic opportunities, such as reduced dependency on external inputs, and social value creation through local stakeholder engagement. Furthermore, the study identifies factors that enable or constrain the replication and scaling of this model. These findings contribute to frameworks for advancing circular, economically viable, and socially inclusive climate-resilient agricultural systems. Full article
Show Figures

Figure 1

18 pages, 1101 KB  
Article
Innovative and Healthy Cookies Enriched with Blueberry Leaf Powder
by Francesco Antonio Santuccione, Marina Soazo, Emilce Llopart, Matías Rossi, Roxana Andrea Verdini, Paola Pittia and Leonardo Martín Pérez
Molecules 2025, 30(18), 3671; https://doi.org/10.3390/molecules30183671 - 9 Sep 2025
Viewed by 645
Abstract
Blueberry (Vaccinium spp.) leaves, a residual biomass of pruning, are a rich source of polyphenols, fiber, and minerals. In this study, blueberry leaf powder (BBLP) was incorporated into wheat/soy flour-based cookies to develop antioxidant- and fiber-enriched bakery products. BBLP exhibited 8.2% protein, [...] Read more.
Blueberry (Vaccinium spp.) leaves, a residual biomass of pruning, are a rich source of polyphenols, fiber, and minerals. In this study, blueberry leaf powder (BBLP) was incorporated into wheat/soy flour-based cookies to develop antioxidant- and fiber-enriched bakery products. BBLP exhibited 8.2% protein, 44% dietary fiber (predominantly insoluble), and high antioxidant activity (2109 ± 20 mg gallic acid equivalents/100 g sample; 6251 ± 42 µmol Trolox equivalents/100 g). Four cookies’ formulations were prepared by replacing 0%, 2.5%, 5.0%, and 7.5% of the flour blend with BBLP. The total phenolic content, total antioxidant content, physical properties (weight, diameter, thickness, volume, hardness, and color), chemical composition (moisture, ash, minerals, protein, carbohydrate, fat, and fiber content), and sensory properties (taste, texture, aroma, and overall acceptability) were analyzed. All BBLP-enriched cookies qualified as a “source of fiber” according to Codex Alimentarius guidelines and EU Regulation (EC) No 1924/2006 on nutrition and health claims for foods. The addition of BBLP significantly affected the cookies’ diameter, thickness, volume, and hardness, likely due to its high insoluble fiber content. Moreover, as BBLP levels increased, the surface color darkened progressively, with increased redness and decreased yellowness attributed to the presence of anthocyanins. Accordingly, BBLP-enriched cookies showed increased antioxidant capacity, proportional to the amount of BBLP added, indicating good retention of the bioactive compounds after baking. Sensory evaluation using Quantitative Descriptive Analysis revealed that cookies with 2.5% BBLP were rated with the highest acceptability scores, whereas higher concentrations imparted noticeable herbal notes and a darker color, decreasing overall acceptability. In conclusion, BBLP can be effectively incorporated at 2.5% to enhance the nutritional quality and antioxidant potential of cookies without compromising sensory appeal, contributing to sustainable food innovation by valorizing residual agricultural biomass. Full article
Show Figures

Figure 1

15 pages, 638 KB  
Article
Polymeric Applications of Cellulose from Tibouchina lepidota (Bonpl.) Baill Extracted from Sustainable Forest Residues
by Dennis Renato Manzano Vela, Rolando Fabian Zabala Vizuete, Ana Carola Flores Mancheno and Edison Marcelo Salas Castelo
Int. J. Mol. Sci. 2025, 26(17), 8592; https://doi.org/10.3390/ijms26178592 - 4 Sep 2025
Viewed by 578
Abstract
The extraction of cellulose from underutilized forest residues can diversify bio-based material supply chains and reduce pressure on commercial pulps. In this study, cellulose was isolated from Tibouchina lepidota (Bonpl.) Baill pruning residues through an alkaline–acid–oxidative protocol, and its suitability for [...] Read more.
The extraction of cellulose from underutilized forest residues can diversify bio-based material supply chains and reduce pressure on commercial pulps. In this study, cellulose was isolated from Tibouchina lepidota (Bonpl.) Baill pruning residues through an alkaline–acid–oxidative protocol, and its suitability for polymeric applications was evaluated. Two granulometric fractions (250 µm and 125 µm) were used; the yields were 4.73 ± 0.12 g and 3.62 ± 0.11 g per 50 g of biomass, equivalent to 90.5% and 92.8% recovery, respectively (fractional remains as bleached pulp after removal of non-cellulosic components). Fourier Transform Infrared spectroscopy (FTIR) showed the disappearance of lignin and hemicelluloses bands and a pronounced β-glucopyranosic signal at 894 cm−1, indicating high purity. Selective solubility in 17.5% NaOH classified the polymer as β-cellulose, suitable for wet spinning and film regeneration. Optical microscopy revealed smooth fibers of 25–50 µm length and 0.5–1 µm diameter, with aspect ratios ≥ 50, indicating favorable morphology for load transfer in composites. Statistical analysis (Shapiro–Wilk, F-test, and Student’s t-test) confirmed the significant influence of particle size on yield (p < 10−15). Overall, T. lepidota residues constitute a viable source of high-purity β-cellulose, whose molecular integrity and microstructure satisfy the requirements of sustainable polymeric manufacturing. Full article
Show Figures

Figure 1

26 pages, 2535 KB  
Article
Pharmacognosy and Antioxidant Activity of Pruned Leaves from the Unexplored Olea europaea L. ‘Lavagnina’ (Liguria, Italy)
by Federica Betuzzi, Paola Malaspina, Flavio Polito, Giovanni Bottino, Vincenzo De Feo, Laura De Martino and Laura Cornara
Molecules 2025, 30(17), 3605; https://doi.org/10.3390/molecules30173605 - 3 Sep 2025
Viewed by 1099
Abstract
Olea europaea L. ‘Lavagnina’ is cultivated in the Eastern Ligurian coast (Italy), and during the pruning process a huge amount of pruning residues is produced. This by-product is generally disposed of by burning, despite still containing bioactive compounds. In particular, olive leaves are [...] Read more.
Olea europaea L. ‘Lavagnina’ is cultivated in the Eastern Ligurian coast (Italy), and during the pruning process a huge amount of pruning residues is produced. This by-product is generally disposed of by burning, despite still containing bioactive compounds. In particular, olive leaves are indeed rich in secondary metabolites, which can vary both in quality and quantity in relation to the cultivar considered and the area of cultivation. For this reason, we aimed to carry out a pharmacognostic study of the pruned leaves of the unexplored local cultivar ‘Lavagnina’, evaluating the possibility of reusing this by-product for new health applications. The micromorphological characterization was conducted by light and scanning electron microscopy. ‘Lavagnina’ leaf was micromorphologically similar to that of other olive cultivars; however, it differed in terms of midrib structure. Leaf extracts were obtained using solvents of increasing polarity (petroleum ether, chloroform, methanol) and the food-grade solvent, 70% ethanol. A high antioxidant activity was found only for the methanolic (ME) and hydroalcoholic (HAE) extracts, and, therefore, they were then characterized from a phytochemical point of view by LC-ESI-HR-MS. Such analysis allowed the identification of secondary metabolites belonging mainly to secoiridoids, flavonoids, and iridoids. Overall, the HAE had the highest antioxidant activity (17.3 ± 0.6 μg/mL), and it is, therefore, the best candidate for health applications related to a protective effect on a variety of inflammation-related diseases, also considering that inflammation may play a role in cancer progression. Full article
(This article belongs to the Special Issue Chemopreventive Activity of Natural Products)
Show Figures

Figure 1

23 pages, 13164 KB  
Article
A Spatial Co-Location Pattern Mining Method Based on Hausdorff Distance Alignment
by Xichen Liu, Yajie Li and Muquan Zou
ISPRS Int. J. Geo-Inf. 2025, 14(9), 331; https://doi.org/10.3390/ijgi14090331 - 26 Aug 2025
Viewed by 781
Abstract
Spatial co-location patterns are used to describe the spatial associations between features, finding wide applications in geographic information systems, urban planning, and other fields. Traditional frameworks for mining spatial features typically consist of two stages: constructing spatial proximity relationships and discovering frequent patterns. [...] Read more.
Spatial co-location patterns are used to describe the spatial associations between features, finding wide applications in geographic information systems, urban planning, and other fields. Traditional frameworks for mining spatial features typically consist of two stages: constructing spatial proximity relationships and discovering frequent patterns. However, existing methods have limitations: the construction of proximity relationships relies on fixed distance thresholds or clustering centers, making it difficult to adapt to spatial density heterogeneity; meanwhile, frequency metrics overly depend on participation indices, lacking quantitative analysis of the strength of geometric associations between features. To address these issues, a spatial co-location pattern mining method based on Hausdorff distance is proposed. Drawing on the concept of Hausdorff distance, this method employs Voronoi tessellation to achieve data-adaptive partitioning of the spatial domain. Combined with a K-dimensional tree, it adopts an iterative strategy of direct allocation, proportional allocation, and residual allocation to align instances, generating a spatial proximity relationship graph. Additionally, a new frequency metric based on instance distribution—alignment rate—is introduced, leveraging the decreasing trend of alignment rate in conjunction with a pruning optimization algorithm. Experimental results demonstrate that this method excels in handling noise points, effectively addressing the challenges of uneven data density distribution while enhancing the identification of weakly associated yet potentially valuable patterns. Full article
Show Figures

Figure 1

23 pages, 9454 KB  
Article
Industrial-AdaVAD: Adaptive Industrial Video Anomaly Detection Empowered by Edge Intelligence
by Jie Xiao, Haocheng Shen, Yasan Ding and Bin Guo
Mathematics 2025, 13(17), 2711; https://doi.org/10.3390/math13172711 - 22 Aug 2025
Viewed by 874
Abstract
The rapid advancement of Artificial Intelligence of Things (AIoT) has driven an urgent demand for intelligent video anomaly detection (VAD) to ensure industrial safety. However, traditional approaches struggle to detect unknown anomalies in complex and dynamic environments due to the scarcity of abnormal [...] Read more.
The rapid advancement of Artificial Intelligence of Things (AIoT) has driven an urgent demand for intelligent video anomaly detection (VAD) to ensure industrial safety. However, traditional approaches struggle to detect unknown anomalies in complex and dynamic environments due to the scarcity of abnormal samples and limited generalization capabilities. To address these challenges, this paper presents an adaptive VAD framework powered by edge intelligence tailored for resource-constrained industrial settings. Specifically, a lightweight feature extractor is developed by integrating residual networks with channel attention mechanisms, achieving a 58% reduction in model parameters through dense connectivity and output pruning. A multidimensional evaluation strategy is introduced to dynamically select optimal models for deployment on heterogeneous edge devices. To enhance cross-scene adaptability, we propose a multilayer adversarial domain adaptation mechanism that effectively aligns feature distributions across diverse industrial environments. Extensive experiments on a real-world coal mine surveillance dataset demonstrate that the proposed framework achieves an accuracy of 86.7% with an inference latency of 23 ms per frame on edge hardware, improving both detection efficiency and transferability. Full article
Show Figures

Figure 1

25 pages, 2365 KB  
Article
Decentralized Model for Sustainable Aviation Fuel (SAF) Production from Residual Biomass Gasification in Spain
by Carolina Santamarta Ballesteros, David Bolonio, María-Pilar Martínez-Hernando, David León, Enrique García-Franco and María-Jesús García-Martínez
Resources 2025, 14(9), 133; https://doi.org/10.3390/resources14090133 - 22 Aug 2025
Viewed by 1402
Abstract
Decarbonizing air transport is a major challenge in the global energy transition since electrification is not yet feasible. Sustainable aviation fuel (SAF) is a promising solution because it can reduce CO2 emissions without major infrastructure changes. This study proposes a decentralized model [...] Read more.
Decarbonizing air transport is a major challenge in the global energy transition since electrification is not yet feasible. Sustainable aviation fuel (SAF) is a promising solution because it can reduce CO2 emissions without major infrastructure changes. This study proposes a decentralized model for producing SAF in Spain through the gasification of residual lignocellulosic biomass followed by a refinement process using Fischer–Tropsch (FT) synthesis. The model uses underexploited agricultural residues such as cereal straw, vine pruning, and olive pruning, converting them into syngas in medium-scale facilities situated near biomass sources. The syngas is then transported to a central upgrading unit to produce SAF compliant with ASTM D7566 standards. The following two configurations were evaluated: one with a single gasification plant and upgrading unit and another with three gasification plants supplying one central FT facility. Energy yields, capital and operational expenditures (CAPEX and OPEX), logistic costs, and the levelized cost of fuel (LCOF) were assessed. Under a conservative scenario using one-third of the available certain types of biomass from three regions of Spain, annual SAF production could reach 517.6 million liters, with unit costs ranging from 1.63 to 1.24 EUR/L and up to 47,060 tonnes of CO2 emissions avoided per year. The findings support the model’s technical and economic viability and its alignment with circular economy principles and climate policy goals. This approach offers a scalable and replicable pathway for decarbonizing the aviation sector using local renewable resources. Full article
Show Figures

Figure 1

17 pages, 989 KB  
Article
Evaluation of Plant-Available Water in Degraded Alfisol Using Biomass Copyrolyzed with Plastic
by Jonathan Henríquez-Arevalo, Cristina Muñoz, Marco Sandoval and Winfred Espejo
Agronomy 2025, 15(8), 1985; https://doi.org/10.3390/agronomy15081985 - 19 Aug 2025
Viewed by 630
Abstract
The exponential increase in global plastic production, reaching over 380 million tons in recent years, has exacerbated environmental problems, particularly in agriculture. Agricultural residues, such as hazel (Corylus avellana L.) pruning and plastic wastes, are underutilized resources that can be transformed via [...] Read more.
The exponential increase in global plastic production, reaching over 380 million tons in recent years, has exacerbated environmental problems, particularly in agriculture. Agricultural residues, such as hazel (Corylus avellana L.) pruning and plastic wastes, are underutilized resources that can be transformed via pyrolysis into biochar. This study focuses on copyrolyzed biochar produced from hazel biomass and polyethylene and aims to evaluate its effect on the water retention properties of degraded Alfisol. Van Genuchten’s hydrological model was used to analyze parameters such as rapid drainage pores, plant-available water pores, and air capacity (AC) under varying particle sizes (small and large) and application rates (1% and 5% w/w). The results revealed that fine particles at higher doses (5%), especially in P-5%-large and P-5%-small, considerably improved plant-available water retention, particularly within micropores and mesopores. Microstructural modifications induced during pyrolysis enhanced the water retention capabilities of biochar copyrolyzed with plastic. However, its effects on AC and pore connectivity warrant further investigation to assess long-term soil functionality. By integrating waste valorization with improved agricultural practices, this study underscores the potential of biochar copyrolyzed with plastic as an amendment for degraded soil. However, the long-term stability of this amendment requires further study. Full article
Show Figures

Figure 1

20 pages, 1924 KB  
Article
Olive Tree (Olea europaea) Pruning: Chemical Composition and Valorization of Wastes Through Liquefaction
by Idalina Domingos, Miguel Ferreira, José Ferreira and Bruno Esteves
Sustainability 2025, 17(15), 6739; https://doi.org/10.3390/su17156739 - 24 Jul 2025
Viewed by 808
Abstract
Olive tree branches (OB) and leaves (OL) from the Viseu region (Portugal) were studied for their chemical composition and liquefaction behavior using polyalcohols. Chemical analysis revealed that OL contained higher ash content (4.08%) and extractives, indicating more bioactive compounds, while OB had greater [...] Read more.
Olive tree branches (OB) and leaves (OL) from the Viseu region (Portugal) were studied for their chemical composition and liquefaction behavior using polyalcohols. Chemical analysis revealed that OL contained higher ash content (4.08%) and extractives, indicating more bioactive compounds, while OB had greater α-cellulose (30.47%) and hemicellulose (27.88%). Lignin content was higher in OL (21.64%) than OB (16.40%). Liquefaction experiments showed that increasing the temperature from 140 °C to 180 °C improved conversion, with OB showing a larger increase (52.5% to 80.9%) compared to OL (66% to 72%). OB reached peak conversion faster, and the optimal particle size for OB was 40–60 mesh, while OL performed better at finer sizes. OL benefited more from higher solvent ratios, whereas OB achieved high conversion with less solvent. FTIR analysis confirmed that acid-catalyzed liquefaction breaks down lignocellulosic structures, depolymerizes cellulose and hemicellulose, and modifies lignin, forming hydroxyl, aliphatic, and carbonyl groups. These changes reflect progressive biomass degradation and the incorporation of polyalcohol components, converting solid biomass into a reactive, polyol-rich liquid. The study highlights the distinct chemical and processing characteristics of olive branches and leaves, informing their potential industrial applications. Full article
Show Figures

Figure 1

16 pages, 804 KB  
Article
From Data Scarcity to Strategic Action: A Managerial Framework for Circular Economy Implementation in Mediterranean Small Towns
by Antonio Licastro, Carlotta D’Alessandro, Katarzyna Szopik-Depczyńska, Roberta Arbolino and Giuseppe Ioppolo
Sustainability 2025, 17(14), 6474; https://doi.org/10.3390/su17146474 - 15 Jul 2025
Cited by 1 | Viewed by 493
Abstract
Data scarcity hampers the implementation of circular economy (CE) in rural historical small towns (HSTs) where traditional agricultural practices persist outside formal monitoring systems. In this regard, this study proposes and tests an estimation framework to quantify agricultural waste flows and energy recovery [...] Read more.
Data scarcity hampers the implementation of circular economy (CE) in rural historical small towns (HSTs) where traditional agricultural practices persist outside formal monitoring systems. In this regard, this study proposes and tests an estimation framework to quantify agricultural waste flows and energy recovery potential. The methodology combines waste generation coefficients from peer-reviewed literature with administrative data to generate actionable CE assessments. Application to four Sicilian HSTs within the Local Action Group (LAG) “Terre dell’Etna e dell’Alcantara” exhibits substantial waste generation potential despite their small size. The agricultural enterprises generate an estimated 6930–7130 tons of annual agricultural waste under moderate production scenarios, comprising grape pomace (3250 tons), pruning residues (3030 tons), and mixed processing wastes (650–850 tons). The energy recovery potential ranges from 20–30 TJ through direct combustion to 4.9–8.1 TJ via anaerobic digestion. Sensitivity analysis indicates balanced contributions from all three key parameters (enterprise density, yields, and waste coefficients), each accounting for 31–35% of output variance. The framework provides resource-constrained municipalities with a cost-effective tool for preliminary CE assessment, enabling identification of priority interventions without expensive primary data collection. From a managerial perspective, local administrators can leverage this tool to transform routine administrative data into actionable CE strategies. Full article
(This article belongs to the Section Economic and Business Aspects of Sustainability)
Show Figures

Figure 1

27 pages, 6448 KB  
Article
Valorization of Olive Tree Pruning and By-Products from the Truck Industry in the Manufacture of Low-Environmental-Impact Particleboard
by Juan José Valenzuela Expósito, Elena Picazo Camilo, Griselda Elisabeth Perea Toledo and Francisco Antonio Corpas Iglesias
Materials 2025, 18(14), 3258; https://doi.org/10.3390/ma18143258 - 10 Jul 2025
Viewed by 695
Abstract
This study presents the development of particleboards made from olive tree pruning (OTP) residues and truck industry by-products (RCM), using PUR resin as a binder. Five formulations with different OTP/RCM ratios were designed and physical, thermal, mechanical, chemical and microstructural properties were evaluated. [...] Read more.
This study presents the development of particleboards made from olive tree pruning (OTP) residues and truck industry by-products (RCM), using PUR resin as a binder. Five formulations with different OTP/RCM ratios were designed and physical, thermal, mechanical, chemical and microstructural properties were evaluated. The results showed that increasing the RCM content improves the dimensional stability, reduces water absorption and swelling and decreases thermal conductivity, reaching 0.061 W/mK. At the mechanical level, MOR, MOE and IB values of 7.11, 630 and 0.134 MPa, respectively, were obtained. A higher OTP content allows a reduction in the density of the particleboard (752.67 kg/m3) due to the granulometry of the material. FTIR and SEM analyses confirmed the good integration of the materials with the resin, highlighting a lower porosity and higher compaction in formulations with a high RCM content. These results demonstrate that the combination of agricultural and industrial by-products is feasible to manufacture a sustainable particleboard with customizable properties, promoting the circular economy and reducing the dependence on virgin raw materials in the construction sector. Full article
(This article belongs to the Special Issue Research on Recycling/Reuse of Polymers and Composites)
Show Figures

Figure 1

Back to TopTop