Sign in to use this feature.

Years

Between: -

Subjects

remove_circle_outline
remove_circle_outline
remove_circle_outline
remove_circle_outline
remove_circle_outline
remove_circle_outline

Journals

Article Types

Countries / Regions

Search Results (67)

Search Parameters:
Keywords = poly-miRNA

Order results
Result details
Results per page
Select all
Export citation of selected articles as:
21 pages, 3012 KB  
Article
Integrated Plasma and Glial Cell Evidence Indicates a Functional Role for hsa-miR-342-5p in Spinocerebellar Ataxia Type 7 and Its Potential Use as a Biomarker
by Verónica M. Borgonio-Cuadra, Aranza Meza-Dorantes, José Manuel Rodríguez-Pérez, Ian A. García-Aguirre, Nadia Mireya Murillo-Melo, Nonanzit Pérez-Hernández, Oscar Hernández-Hernández, Marcela Hernández-Ortega, Zazil Herrera-Carrillo, Bulmaro Cisneros and Jonathan J. Magaña
Int. J. Mol. Sci. 2026, 27(2), 683; https://doi.org/10.3390/ijms27020683 - 9 Jan 2026
Viewed by 137
Abstract
Spinocerebellar ataxia type 7 (SCA7) is a neurodegenerative disease characterized by cerebellar ataxia and retinal degeneration, caused by an abnormal expansion of CAG repeats at the ATXN7 gene. Disease onset and progression vary among patients, underscoring the need for novel tools to improve [...] Read more.
Spinocerebellar ataxia type 7 (SCA7) is a neurodegenerative disease characterized by cerebellar ataxia and retinal degeneration, caused by an abnormal expansion of CAG repeats at the ATXN7 gene. Disease onset and progression vary among patients, underscoring the need for novel tools to improve disease monitoring. Circulating miRNAs represent a promising prognostic tool, due to their minimally invasive sampling and high stability. The aim of this study was to assess the expression of twelve circulating miRNAs associated with neurodegeneration in plasma samples from SCA7 patients and in an inducible SCA7 glial cell model. A comparison of SCA7 patients and controls revealed that nine miRNAs exhibited significantly higher expression. Furthermore, comparison of patients with different SCA7 phenotypes to controls revealed that most miRNAs were overexpressed in plasma from early-onset patients corresponding to the clinically more severe phenotype. Regarding the cell model, we identified three miRNAs that were dysregulated; however, only hsa-miR-342-5p displayed a pattern consistent with that observed in the plasma of patient. Our findings indicate that hsa-miR-342-5p is differentially expressed in the plasma of patients and the SCA7 cellular model, implying that it can serve as a biomarker and facilitate the identification of novel processes involved in SCA7. Full article
(This article belongs to the Special Issue Molecular Research on Ataxia)
Show Figures

Figure 1

30 pages, 530 KB  
Review
DNA Damage and Repair in Ovarian Cancer: Focus on MicroRNAs
by Katarzyna D. Arczewska and Agnieszka Piekiełko-Witkowska
Cancers 2025, 17(18), 3011; https://doi.org/10.3390/cancers17183011 - 15 Sep 2025
Cited by 1 | Viewed by 1700
Abstract
Ovarian cancer (OvCa) is one of the most life-threatening female malignancies that affects 300,000 women annually worldwide. Impaired mechanisms of DNA repair are the leading cause of mutations underlying the OvCa development. microRNAs are short non-coding RNAs that regulate the expression of genes [...] Read more.
Ovarian cancer (OvCa) is one of the most life-threatening female malignancies that affects 300,000 women annually worldwide. Impaired mechanisms of DNA repair are the leading cause of mutations underlying the OvCa development. microRNAs are short non-coding RNAs that regulate the expression of genes by binding to their transcripts and inducing mRNA degradation or inhibition of translation. Here, we review the miRNA-mediated dysregulation of genes involved in DNA damage response (DDR) and DNA repair pathways in OvCa. Apparently, miRNAs are capable of targeting the crucial mediators of DDR (e.g., miR-203a-3p targeting ATM (Ataxia Telangiectasia Mutated)), homologous repair (such as BRCA1 targeted by miR-9, miR-1255b, miR-193b, and miR-148b), non-homologous end joining (with RNF8 being regulated by miR-214), nucleotide excision repair (involving DDB2 targeted by miR-328-3p), or translesion DNA synthesis (involving RAD18, participating also in homologous repair and targeted by miR-379-5p). We also discuss miRNAs (such as miR-519a-3p, let-7e, miR-216b), which affect responses to OvCa therapy by targeting PARP1 (Poly(ADP-Ribose) Polymerase-1). Finally, we also discuss why, despite the identification of multiple miRNAs capable of regulating DNA repair genes, as well as those involved in the response to therapy, no miRNA-based drugs have been approved for OvCa treatment in clinics. Full article
Show Figures

Figure 1

28 pages, 2988 KB  
Review
Circular RNAs as Targets for Developing Anticancer Therapeutics
by Jaewhoon Jeoung, Wonho Kim, Hyein Jo and Dooil Jeoung
Cells 2025, 14(14), 1106; https://doi.org/10.3390/cells14141106 - 18 Jul 2025
Cited by 4 | Viewed by 3451
Abstract
Circular RNA (CircRNA) is a single-stranded RNA arising from back splicing. CircRNAs interact with mRNA, miRNA, and proteins. These interactions regulate various life processes, including transcription, translation, cancer progression, anticancer drug resistance, and metabolism. Due to a lack of cap and poly(A) tails, [...] Read more.
Circular RNA (CircRNA) is a single-stranded RNA arising from back splicing. CircRNAs interact with mRNA, miRNA, and proteins. These interactions regulate various life processes, including transcription, translation, cancer progression, anticancer drug resistance, and metabolism. Due to a lack of cap and poly(A) tails, circRNAs show exceptional stability and resistance to RNase degradation. CircRNAs exhibit dysregulated expression patterns in various cancers and influence cancer progression. Stability and regulatory roles in cancer progression make circRNAs reliable biomarkers and targets for the development of anticancer therapeutics. The dysregulated expression of circRNAs is associated with resistance to anticancer drugs. Enhanced glycolysis by circRNAs leads to resistance to anticancer drugs. CircRNAs have been known to regulate the response to chemotherapy drugs and immune checkpoint inhibitors. Exogenous circRNAs can encode antigens that can induce both innate and adaptive immunity. CircRNA vaccines on lipid nanoparticles have been shown to enhance the sensitivity of cancer patients to immune checkpoint inhibitors. In this review, we summarize the roles and mechanisms of circRNAs in anticancer drug resistance and glycolysis. This review discusses clinical applications of circRNA vaccines to overcome anticancer drug resistance and enhance the efficacy of immune checkpoint inhibitors. The advantages and disadvantages of circRNA vaccines are also discussed. Overall, this review stresses the potential value of circRNAs as new therapeutic targets and diagnostic/prognostic biomarkers for cancer Full article
Show Figures

Figure 1

16 pages, 3450 KB  
Article
Elucidating Regulatory Mechanisms of Genes Involved in Pathobiology of Sjögren’s Disease: Immunostimulation Using a Cell Culture Model
by Daniel D. Kepple, Thomas E. Thornburg, Micaela F. Beckman, Farah Bahrani Mougeot and Jean-Luc C. Mougeot
Int. J. Mol. Sci. 2025, 26(12), 5881; https://doi.org/10.3390/ijms26125881 - 19 Jun 2025
Cited by 1 | Viewed by 1071
Abstract
Sjögren’s disease (SjD) is an autoimmune disease of exocrine tissues. Prior research has shown that ETS proto-oncogene 1 (ETS1), STAT1, and IL33 may contribute to the disease’s pathology. However, the regulatory mechanisms of these genes remain poorly characterized. Our objective was to explore [...] Read more.
Sjögren’s disease (SjD) is an autoimmune disease of exocrine tissues. Prior research has shown that ETS proto-oncogene 1 (ETS1), STAT1, and IL33 may contribute to the disease’s pathology. However, the regulatory mechanisms of these genes remain poorly characterized. Our objective was to explore the mechanisms of SjD pathology and to identify dysfunctional regulators of these genes by immunostimulation of SjD and sicca relevant cell lines. We used immortalized salivary gland epithelial cell lines (iSGECs) from Sjögren’s disease (pSS1) and sicca (nSS2) patients, previously developed in our lab, and control cell line A253 to dose with immunostimulants IFN-γ or poly(I:C) (0 to 1000 ng/mL and 0 to 1000 µg/mL, respectively) over a 72 h time course. Gene expression was determined using qRT-PCR delta-delta-CT method based on glyceraldehyde-3-phosphate dehydrogenase (GAPDH) for mRNA and U6 small nuclear RNA 1 (U6) for miRNA, using normalized relative fold changes 48 h post-immunostimulation. Protein expression was quantified 72 h post-stimulation by Western blotting. Reference-based RNA-seq of immunostimulated pSS1 and nSS2 cells was performed to characterize the reactome of genes conserved across all used doses. The expression of ETS1 and STAT1 protein was upregulated (p < 0.05) in IFN-γ-treated pSS1 and nSS2, as compared to A253 cells. IFN-γ-treated nSS2 cell showed significant IL33 upregulation. Also, IL33 had a correlated (p < 0.01) U-shaped response for low-mid-range doses for IFN-γ- and poly(I:C)-treated pSS1 cells. RNA-seq showed 175 conserved differentially expressed (DE) genes between nSS2 and pSS1 immunostimulated cells. Of these, 44 were shown to interact and 39 were more abundant (p < 0.05) in pSS1 cells. Western blotting demonstrated nSS2 cells expressing ETS1 uniformly across treatments compared to pSS1 cells, despite similar mRNA abundance. miR-145b and miR-193b were significantly under-expressed in IFN-γ-treated nSS2 cells compared to pSS1 cells (p < 0.01). ETS1 and IL33 showed disproportionate mRNA and protein abundances between immunostimulated Sjögren’s disease-derived (pSS1), and sicca-derived (nSS2) cell lines. Such differences could be explained by higher levels of miR-145b and miR-193b present in pSS1 cells. Also, RNA-seq results suggested an increased sensitivity of pSS1 cells to immunostimulation. These results reflect current pathobiology aspects, confirming the relevance of immortalized salivary gland epithelial cell lines. Full article
Show Figures

Figure 1

28 pages, 1532 KB  
Review
Therapeutic Applications of Poly-miRNAs and miRNA Sponges
by Cynthia Avendaño-Portugal, Mariela Montaño-Samaniego, Raquel Guttman-Bazbaz, Diana M. Bravo-Estupiñan and Miguel Ibáñez-Hernández
Int. J. Mol. Sci. 2025, 26(10), 4535; https://doi.org/10.3390/ijms26104535 - 9 May 2025
Cited by 7 | Viewed by 2985
Abstract
MicroRNAs (miRNAs) are small, non-coding RNA molecules that play crucial roles in regulating gene expression, and their dysregulation is implicated in various human diseases. Over the years, several research groups have identified miRNAs as promising therapeutic targets for intervention. Therapeutic strategies involve either [...] Read more.
MicroRNAs (miRNAs) are small, non-coding RNA molecules that play crucial roles in regulating gene expression, and their dysregulation is implicated in various human diseases. Over the years, several research groups have identified miRNAs as promising therapeutic targets for intervention. Therapeutic strategies involve either overexpression or knockdown of specific miRNAs. This review aims to provide a comprehensive overview of synthetic poly-miRNAs and miRNA sponges, highlighting their therapeutic applications. It begins with an introduction to miRNAs and their role in human diseases, followed by a detailed discussion on synthetic poly-miRNAs and miRNA sponges by exploring their application in cardiovascular, inflammatory, autoimmune, and metabolic disorders, as well as in cancer therapy. Additionally, strategies for targeted delivery, challenges, and limitations of these therapies are addressed. Full article
(This article belongs to the Special Issue Role of MicroRNAs in Human Diseases: 2nd Edition)
Show Figures

Figure 1

18 pages, 5915 KB  
Article
In Silico Analysis of miRNA-Regulated Pathways in Spinocerebellar Ataxia Type 7
by Verónica Marusa Borgonio-Cuadra, Aranza Meza-Dorantes, Nonanzit Pérez-Hernández, José Manuel Rodríguez-Pérez and Jonathan J. Magaña
Curr. Issues Mol. Biol. 2025, 47(3), 170; https://doi.org/10.3390/cimb47030170 - 2 Mar 2025
Cited by 1 | Viewed by 1683
Abstract
Spinocerebellar ataxia type 7 (SCA7) is an inherited neurodegenerative disease characterized by cerebellar ataxia and retinal degeneration, caused by an abnormal expansion of the CAG trinucleotide in the coding region of the ATXN7 gene. Currently, in silico analysis is used to explore mechanisms [...] Read more.
Spinocerebellar ataxia type 7 (SCA7) is an inherited neurodegenerative disease characterized by cerebellar ataxia and retinal degeneration, caused by an abnormal expansion of the CAG trinucleotide in the coding region of the ATXN7 gene. Currently, in silico analysis is used to explore mechanisms and biological processes through bioinformatics predictions in various neurodegenerative diseases. Therefore, the aim of this study was to identify candidate human gene targets of four miRNAs (hsa-miR-29a-3p, hsa-miR-132-3p, hsa-miR-25-3p, and hsa-miR-92a-3p) involved in pathways that could play an important role in SCA7 pathogenesis through comprehensive in silico analysis including the prediction of miRNA target genes, Gen Ontology enrichment, identification of core genes in KEGG pathways, transcription factors and validated miRNA target genes with the mouse SCA7 transcriptome data. Our results showed the participation of the following pathways: adherens junction, focal adhesion, neurotrophin signaling, endoplasmic reticulum processing, actin cytoskeleton regulation, RNA transport, and apoptosis and dopaminergic synapse. In conclusion, unlike previous studies, we highlight using a bioinformatics approach the core genes and transcription factors involved in the different biological pathways and which ones are targets for the four miRNAs, which, in addition to being associated with neurodegenerative diseases, are also de-regulated in the plasma of patients with SCA7. Full article
Show Figures

Figure 1

19 pages, 4218 KB  
Article
Circular RNA ZNF277 Sponges miR-378d to Inhibit the Intracellular Survival of Mycobacterium tuberculosis by Upregulating Rab10
by Yifan Zhu, Lei Zhang, Zijian Wang, Ting Li, Yingyu Chen, Lu Lu, Han Liu, Delai Kong, Yongchong Peng, Xi Chen, Changmin Hu, Huanchun Chen and Aizhen Guo
Cells 2025, 14(4), 262; https://doi.org/10.3390/cells14040262 - 12 Feb 2025
Cited by 1 | Viewed by 1612
Abstract
Circular RNAs (circRNAs) are covalently closed non-coding RNAs formed by back-splicing, lacking a 5′ cap and poly-A tail. They could act as important regulatory factors in the host’s anti-tuberculosis immune process, but only a few have been identified, and their molecular mechanisms remain [...] Read more.
Circular RNAs (circRNAs) are covalently closed non-coding RNAs formed by back-splicing, lacking a 5′ cap and poly-A tail. They could act as important regulatory factors in the host’s anti-tuberculosis immune process, but only a few have been identified, and their molecular mechanisms remain largely unclear. Here, we identified a novel circRNA, circ-ZNF277, which responds to Mycobacterium tuberculosis (Mtb) infection in THP-1 cells. Circ-ZNF277 binds microRNA-378d (miR-378d) in vivo. The expression level of circ-ZNF277 affects the clearance of the intracellular Mtb in THP-1 cells. Mechanistically, more circ-ZNF277 molecules could absorb more miR-378d, thereby competitively activating the NF-κB signaling pathway, promoting the release of pro-inflammatory cytokines including interleukins IL-1β and IL-6, and tumor necrosis factor-α (TNF-α), and inhibiting the survival of intracellular Mtb. Expressing miR-378d or si-Rab10 targeting the transcription of Rab10 could antagonize the effects of overexpression of circ-ZNF277, resulting in the reduced intracellular survival of Mtb. In summary, circ-ZNF277 inhibits the intracellular survival of Mtb via the miR-378d/Rab10 axis. This finding represents a novel mechanism of circular RNA in regulating host immune responses during Mtb infection. Full article
Show Figures

Figure 1

17 pages, 3800 KB  
Article
miR-217-5p NanomiRs Inhibit Glioblastoma Growth and Enhance Effects of Ionizing Radiation via EZH2 Inhibition and Epigenetic Reprogramming
by Jack Korleski, Sweta Sudhir, Yuan Rui, Christopher A. Caputo, Sophie Sall, Amanda L. Johnson, Harmon S. Khela, Tanmaya Madhvacharyula, Anisha Rasamsetty, Yunqing Li, Bachchu Lal, Weiqiang Zhou, Karen Smith-Connor, Stephany Y. Tzeng, Jordan J. Green, John Laterra and Hernando Lopez-Bertoni
Cancers 2025, 17(1), 80; https://doi.org/10.3390/cancers17010080 - 30 Dec 2024
Viewed by 2617
Abstract
Background/Objectives: CSCs are critical drivers of the tumor and stem cell phenotypes of glioblastoma (GBM) cells. Chromatin modifications play a fundamental role in driving a GBM CSC phenotype. The goal of this study is to further our understanding of how stem cell-driving [...] Read more.
Background/Objectives: CSCs are critical drivers of the tumor and stem cell phenotypes of glioblastoma (GBM) cells. Chromatin modifications play a fundamental role in driving a GBM CSC phenotype. The goal of this study is to further our understanding of how stem cell-driving events control changes in chromatin architecture that contribute to the tumor-propagating phenotype of GBM. Methods: We utilized computational analyses to identify a subset of clinically relevant genes that were predicted to be repressed in a Polycomb repressive complex 2 (PRC2)-dependent manner in GBM upon induction of stem cell-driving events. These associations were validated in patient-derived GBM neurosphere models using state-of-the-art molecular techniques to express, silence, and measure microRNA (miRNA) and gene expression changes. Advanced Poly(β-amino ester) nanoparticle formulations (PBAEs) were used to deliver miRNAs in vivo to orthotopic human GBM tumor models. Results: We show that glioma stem cell (GSC) formation and tumor propagation involve the crosstalk between multiple epigenetic mechanisms, resulting in the repression of the miRNAs that regulate PRC2 function and histone H3 lysine 27 tri-methylation (H3K27me3). We also identified miR-217-5p as an EZH2 regulator repressed in GSCs and showed that miR-217-5p reconstitution using advanced nanoparticle formulations re-activates the PRC2-repressed genes, inhibits GSC formation, impairs tumor growth, and enhances the effects of ionizing radiation in an orthotopic model of GBM. Conclusions: These findings suggest that inhibiting PRC2 function by targeting EZH2 with miR-217-5p advanced nanoparticle formulations could have a therapeutic benefit in GBM. Full article
Show Figures

Figure 1

14 pages, 3800 KB  
Article
Whole-Transcriptome Analysis Reveals the Regulatory Network of Immune Response in Dapulian Pig
by Tao Wang, Zhe Tian, Mubin Yu, Shuer Zhang, Min Zhang, Xiangwei Zhai, Wei Shen and Junjie Wang
Animals 2024, 14(23), 3546; https://doi.org/10.3390/ani14233546 - 8 Dec 2024
Cited by 1 | Viewed by 1848
Abstract
There is a consensus that indigenous pigs in China are more resistant than modern commercial pigs in terms of disease resistance. Generally, the immune response is an important part of anti-disease capability; however, the related mechanism in pigs is largely puzzling. Here, the [...] Read more.
There is a consensus that indigenous pigs in China are more resistant than modern commercial pigs in terms of disease resistance. Generally, the immune response is an important part of anti-disease capability; however, the related mechanism in pigs is largely puzzling. Here, the public transcriptome data of peripheral blood mononuclear cells (PBMCs) from Dapulian (Chinese local breed) and Landrace (Commercial breed) pigs after stimulation with polyinosinic-polycytidylic acid (poly I:C, a conventional reagent used for simulation of the viral infection) were reanalyzed, and the immune response mechanism in different pig breeds was investigated from a transcriptomic perspective. Of note, through comparative analyses of Dapulian and Landrace pigs, the candidate genes involved in swine broad-spectrum resistance were identified, such as TIMD4, RNF128 and VCAM1. In addition, after differential gene expression, target gene identification and functional enrichment analyses, a potential regulatory network of miRNA genes associated with immune response was obtained in Dapulian pigs, including five miRNAs and 12 genes (such as ssc-miR-181a, ssc-miR-486, IL1R1 and NFKB2). This work provides new insights into the immune response regulation of antiviral responses in indigenous and modern commercial pigs. Full article
(This article belongs to the Section Pigs)
Show Figures

Figure 1

19 pages, 4790 KB  
Article
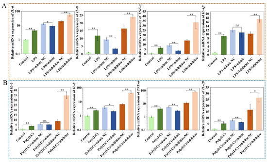
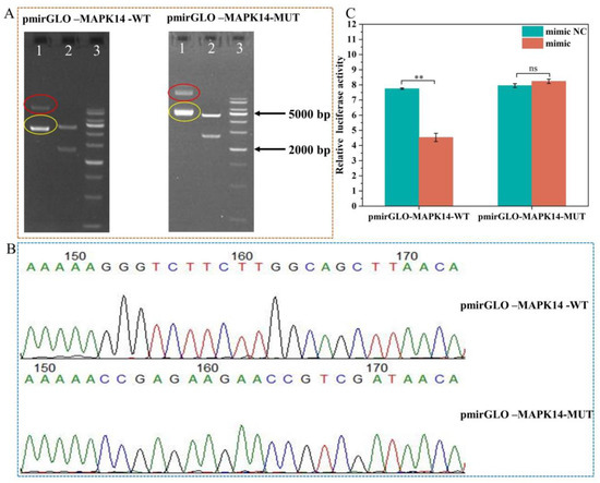
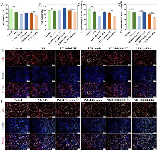
Pig Milk Exosome Packaging ssc-miR-22-3p Alleviates Pig Intestinal Epithelial Cell Injury and Inflammatory Response by Targeting MAPK14
by Jie Li, Huihui Hu, Panpan Fu, Qiaoli Yang, Pengfei Wang, Xiaoli Gao, Jiaojiao Yang, Shuangbao Gun and Xiaoyu Huang
Int. J. Mol. Sci. 2024, 25(19), 10715; https://doi.org/10.3390/ijms251910715 - 5 Oct 2024
Cited by 4 | Viewed by 2292
Abstract
Inflammatory diseases of the intestinal tract in piglets severely impair the economic performance of pig farms. Pig milk exosomes can encapsulate miRNAs which can then enter the piglet intestine to play an immunomodulatory role. Previously, we comparatively analyzed and identified exosomal miRNAs in [...] Read more.
Inflammatory diseases of the intestinal tract in piglets severely impair the economic performance of pig farms. Pig milk exosomes can encapsulate miRNAs which can then enter the piglet intestine to play an immunomodulatory role. Previously, we comparatively analyzed and identified exosomal miRNAs in the colostrum and mature milk of Bamei and Landrace pigs, and we screened for ssc-miR-22-3p, which is associated with inflammation and immune response; however, the role played by ssc-miR-22-3p in the immune response in IPEC-J2 cells is not yet clear. In this study, we first constructed a pig intestinal inflammatory response model using Lipopolysaccharide (LPS) and Polyinosinic-polycytidylic acid (Poly (I:C)), and we investigated the role of ssc-miR-22-3p targeting MAPK14 in the regulation of LPS and Poly (I:C)-induced inflammatory injury in IPEC-J2 cells by RT-qPCR, cell counting kit-8 (CCK-8), EdU staining, lactate dehydrogenase (LDH) activity assay, and dual luciferase reporter gene assay. We successfully established LPS and Poly (I:C)-induced cell damage models in IPEC-J2 cells. The immune response of IPEC-J2 cells was stimulated by induction of IPEC-J2 cells at 10 μg/mL LPS and 20 μg/mL Poly (I:C) for 24 h. Overexpression of ssc-miR-22-3p decreased cytokine expression and promoted cell viability and proliferation. The functional enrichment analysis revealed that ssc-miR-22-3p targets genes enriched in the pathways of negative regulation of inflammatory response and bacterial invasion of epithelial cells. The validity of the binding site of ssc-miR-22-3p to MAPK14 was tested by a dual luciferase reporter gene. Pig milk exosome ssc-miR-22-3p promotes cell viability and proliferation by targeting MAPK14, and it alleviates LPS and Poly (I:C)-induced inflammatory responses in IPEC-J2 cells. Full article
(This article belongs to the Section Molecular Pathology, Diagnostics, and Therapeutics)
Show Figures

Figure 1

13 pages, 3706 KB  
Article
Anti-Warburg Mechanism of Ginsenoside F2 in Human Cervical Cancer Cells via Activation of miR193a-5p and Inhibition of β-Catenin/c-Myc/Hexokinase 2 Signaling Axis
by Nari Shin, Hyo-Jung Lee, Deok Yong Sim, Chi-Hoon Ahn, Su-Yeon Park, Wonil Koh, Jaeho Khil, Bum-Sang Shim, Bonglee Kim and Sung-Hoon Kim
Int. J. Mol. Sci. 2024, 25(17), 9418; https://doi.org/10.3390/ijms25179418 - 30 Aug 2024
Cited by 5 | Viewed by 2151
Abstract
Though Ginsenoside F2 (GF2), a protopanaxadiol saponin from Panax ginseng, is known to have an anticancer effect, its underlying mechanism still remains unclear. In our model, the anti-glycolytic mechanism of GF2 was investigated in human cervical cancer cells in association with miR193a-5p and [...] Read more.
Though Ginsenoside F2 (GF2), a protopanaxadiol saponin from Panax ginseng, is known to have an anticancer effect, its underlying mechanism still remains unclear. In our model, the anti-glycolytic mechanism of GF2 was investigated in human cervical cancer cells in association with miR193a-5p and the β-catenin/c-Myc/Hexokinase 2 (HK2) signaling axis. Here, GF2 exerted significant cytotoxicity and antiproliferation activity, increased sub-G1, and attenuated the expression of pro-Poly (ADPribose) polymerase (pro-PARP) and pro-cysteine aspartyl-specific protease (procaspase3) in HeLa and SiHa cells. Consistently, GF2 attenuated the expression of Wnt, β-catenin, and c-Myc and their downstream target genes such as HK2, pyruvate kinase isozymes M2 (PKM2), and lactate dehydrogenase A (LDHA), along with a decreased production of glucose and lactate in HeLa and SiHa cells. Moreover, GF2 suppressed β-catenin and c-Myc stability in the presence and absence of cycloheximide in HeLa cells, respectively. Additionally, the depletion of β-catenin reduced the expression of c-Myc and HK2 in HeLa cells, while pyruvate treatment reversed the ability of GF2 to inhibit β-catenin, c-Myc, and PKM2 in GF2-treated HeLa cells. Notably, GF2 upregulated the expression of microRNA139a-5p (miR139a-5p) in HeLa cells. Consistently, the miR139a-5p mimic enhanced the suppression of β-catenin, c-Myc, and HK2, while the miR193a-5p inhibitor reversed the ability of GF2 to attenuate the expression of β-catenin, c-Myc, and HK2 in HeLa cells. Overall, these findings suggest that GF2 induces apoptosis via the activation of miR193a-5p and the inhibition of β-catenin/c-Myc/HK signaling in cervical cancer cells. Full article
Show Figures

Figure 1

12 pages, 1241 KB  
Review
Specific Biomarkers in Spinocerebellar Ataxia Type 3: A Systematic Review of Their Potential Uses in Disease Staging and Treatment Assessment
by Alexandra E. Soto-Piña, Caroline C. Pulido-Alvarado, Jaroslaw Dulski, Zbigniew K. Wszolek and Jonathan J. Magaña
Int. J. Mol. Sci. 2024, 25(15), 8074; https://doi.org/10.3390/ijms25158074 - 24 Jul 2024
Cited by 3 | Viewed by 3960
Abstract
Spinocerebellar ataxia type 3 (SCA3) is the most common type of disease related to poly-glutamine (polyQ) repeats. Its hallmark pathology is related to the abnormal accumulation of ataxin 3 with a longer polyQ tract (polyQ-ATXN3). However, there are other mechanisms related to SCA3 [...] Read more.
Spinocerebellar ataxia type 3 (SCA3) is the most common type of disease related to poly-glutamine (polyQ) repeats. Its hallmark pathology is related to the abnormal accumulation of ataxin 3 with a longer polyQ tract (polyQ-ATXN3). However, there are other mechanisms related to SCA3 progression that require identifying trait and state biomarkers for a more accurate diagnosis and prognosis. Moreover, the identification of potential pharmacodynamic targets and assessment of therapeutic efficacy necessitates valid biomarker profiles. The aim of this review was to identify potential trait and state biomarkers and their potential value in clinical trials. Our results show that, in SCA3, there are different fluid biomarkers involved in neurodegeneration, oxidative stress, metabolism, miRNA and novel genes. However, neurofilament light chain NfL and polyQ-ATXN3 stand out as the most prevalent in body fluids and SCA3 stages. A heterogeneity analysis of NfL revealed that it may be a valuable state biomarker, particularly when measured in plasma. Nonetheless, since it could be a more beneficial approach to tracking SCA3 progression and clinical trial efficacy, it is more convenient to perform a biomarker profile evaluation than to rely on only one. Full article
Show Figures

Figure 1

14 pages, 2675 KB  
Article
Downregulation of miR-1388 Regulates the Expression of Antiviral Genes via Tumor Necrosis Factor Receptor (TNFR)-Associated Factor 3 Targeting Following poly(I:C) Stimulation in Silver Carp (Hypophthalmichthys molitrix)
by Kun Gao, Meng Liu, Huan Tang, Zhenhua Ma, Hanyu Pan, Xiqing Zhang, Muhammad Inam, Xiaofeng Shan, Yunhang Gao and Guiqin Wang
Biomolecules 2024, 14(6), 694; https://doi.org/10.3390/biom14060694 - 14 Jun 2024
Cited by 2 | Viewed by 1658
Abstract
MicroRNAs (miRNAs) are highly conserved endogenous single-stranded non-coding RNA molecules that play a crucial role in regulating gene expression to maintain normal physiological functions in fish. Nevertheless, the specific physiological role of miRNAs in lower vertebrates, particularly in comparison to mammals, remains elusive. [...] Read more.
MicroRNAs (miRNAs) are highly conserved endogenous single-stranded non-coding RNA molecules that play a crucial role in regulating gene expression to maintain normal physiological functions in fish. Nevertheless, the specific physiological role of miRNAs in lower vertebrates, particularly in comparison to mammals, remains elusive. Additionally, the mechanisms underlying the control of antiviral responses triggered by viral stimulation in fish are still not fully understood. In this study, we investigated the regulatory impact of miR-1388 on the signaling pathway mediated by IFN regulatory factor 3 (IRF3). Our findings revealed that following stimulation with the viral analog poly(I:C), the expression of miR-1388 was significantly upregulated in primary immune tissues and macrophages. Through a dual luciferase reporter assay, we corroborated a direct targeting relationship between miR-1388 and tumor necrosis factor receptor (TNFR)-associated factor 3 (TRAF3). Furthermore, our study demonstrated a distinct negative post-transcriptional correlation between miR-1388 and TRAF3. We observed a significant negative post-transcriptional regulatory association between miR-1388 and the levels of antiviral genes following poly(I:C) stimulation. Utilizing reporter plasmids, we elucidated the role of miR-1388 in the antiviral signaling pathway activated by TRAF3. By intervening with siRNA-TRAF3, we validated that miR-1388 regulates the expression of antiviral genes and the production of type I interferons (IFN-Is) through its interaction with TRAF3. Collectively, our experiments highlight the regulatory influence of miR-1388 on the IRF3-mediated signaling pathway by targeting TRAF3 post poly(I:C) stimulation. These findings provide compelling evidence for enhancing our understanding of the mechanisms through which fish miRNAs participate in immune responses. Full article
Show Figures

Figure 1

22 pages, 4432 KB  
Article
Distinct Effects of Respiratory Viral Infection Models on miR-149-5p, IL-6 and p63 Expression in BEAS-2B and A549 Epithelial Cells
by Nafeesa Shahdab, Christopher Ward, Philip M. Hansbro, Stephen Cummings, John S. Young and Fatemeh Moheimani
Cells 2024, 13(11), 919; https://doi.org/10.3390/cells13110919 - 26 May 2024
Cited by 2 | Viewed by 3975
Abstract
Respiratory viruses cause airway inflammation, resulting in epithelial injury and repair. miRNAs, including miR-149-5p, regulate different pathological conditions. We aimed to determine how miR-149-5p functions in regulating pro-inflammatory IL-6 and p63, key regulators of airway epithelial wound repair, in response to viral proteins [...] Read more.
Respiratory viruses cause airway inflammation, resulting in epithelial injury and repair. miRNAs, including miR-149-5p, regulate different pathological conditions. We aimed to determine how miR-149-5p functions in regulating pro-inflammatory IL-6 and p63, key regulators of airway epithelial wound repair, in response to viral proteins in bronchial (BEAS-2B) and alveolar (A549) epithelial cells. BEAS-2B or A549 cells were incubated with poly (I:C, 0.5 µg/mL) for 48 h or SARS-CoV-2 spike protein-1 or 2 subunit (S1 or S2, 1 μg/mL) for 24 h. miR-149-5p was suppressed in BEAS-2B challenged with poly (I:C), correlating with IL-6 and p63 upregulation. miR-149-5p was down-regulated in A549 stimulated with poly (I:C); IL-6 expression increased, but p63 protein levels were undetectable. miR-149-5p remained unchanged in cells exposed to S1 or S2, while S1 transfection increased IL-6 expression in BEAS-2B cells. Ectopic over-expression of miR-149-5p in BEAS-2B cells suppressed IL-6 and p63 mRNA levels and inhibited poly (I:C)-induced IL-6 and p63 mRNA expressions. miR-149-5p directly suppressed IL-6 mRNA in BEAS-2B cells. Hence, BEAS-2B cells respond differently to poly (I:C), S1 or S2 compared to A549 cells. Thus, miR-149-5p dysregulation may be involved in poly (I:C)-stimulated but not S1- or S2-stimulated increased IL-6 production and p63 expression in BEAS-2B cells. Full article
Show Figures

Figure 1

14 pages, 6176 KB  
Article
Poly (I:C)-Induced microRNA-30b-5p Negatively Regulates the JAK/STAT Signaling Pathway to Mediate the Antiviral Immune Response in Silver Carp (Hypophthalmichthys molitrix) via Targeting CRFB5
by Meng Liu, Huan Tang, Kun Gao, Xiqing Zhang, Zhenhua Ma, Yunna Jia, Zihan Yang, Muhammad Inam, Yunhang Gao, Guiqin Wang and Xiaofeng Shan
Int. J. Mol. Sci. 2024, 25(11), 5712; https://doi.org/10.3390/ijms25115712 - 24 May 2024
Cited by 3 | Viewed by 1753
Abstract
In aquaculture, viral diseases pose a significant threat and can lead to substantial economic losses. The primary defense against viral invasion is the innate immune system, with interferons (IFNs) playing a crucial role in mediating the immune response. With advancements in molecular biology, [...] Read more.
In aquaculture, viral diseases pose a significant threat and can lead to substantial economic losses. The primary defense against viral invasion is the innate immune system, with interferons (IFNs) playing a crucial role in mediating the immune response. With advancements in molecular biology, the role of non-coding RNA (ncRNA), particularly microRNAs (miRNAs), in gene expression has gained increasing attention. While the function of miRNAs in regulating the host immune response has been extensively studied, research on their immunomodulatory effects in teleost fish, including silver carp (Hyphthalmichthys molitrix), is limited. Therefore, this research aimed to investigate the immunomodulatory role of microRNA-30b-5p (miR-30b-5p) in the antiviral immune response of silver carp (Hypophthalmichthys molitrix) by targeting cytokine receptor family B5 (CRFB5) via the JAK/STAT signaling pathway. In this study, silver carp were stimulated with polyinosinic-polycytidylic acid (poly (I:C)), resulting in the identification of an up-regulated miRNA (miR-30b-5p). Through a dual luciferase assay, it was demonstrated that CRFB5, a receptor shared by fish type I interferon, is a novel target of miR-30b-5p. Furthermore, it was found that miR-30b-5p can suppress post-transcriptional CRFB5 expression. Importantly, this study revealed for the first time that miR-30b-5p negatively regulates the JAK/STAT signaling pathway, thereby mediating the antiviral immune response in silver carp by targeting CRFB5 and maintaining immune system stability. These findings not only contribute to the understanding of how miRNAs act as negative feedback regulators in teleost fish antiviral immunity but also suggest their potential therapeutic measures to prevent an excessive immune response. Full article
(This article belongs to the Special Issue Recent Progress in Molecular Biology of RNA 2.0)
Show Figures

Figure 1

Back to TopTop