Sign in to use this feature.

Years

Between: -

Subjects

remove_circle_outline
remove_circle_outline
remove_circle_outline

Journals

Article Types

Countries / Regions

Search Results (5)

Search Parameters:
Keywords = poly(hydroxamic acid)

Order results
Result details
Results per page
Select all
Export citation of selected articles as:
20 pages, 4445 KB  
Article
Waste Fiber-Based Poly(hydroxamic acid) Ligand for Toxic Metals Removal from Industrial Wastewater
by Md. Lutfor Rahman, Zhi-Jian Wong, Mohd Sani Sarjadi, Collin G. Joseph, Sazmal E. Arshad, Baba Musta and Mohd Harun Abdullah
Polymers 2021, 13(9), 1486; https://doi.org/10.3390/polym13091486 - 6 May 2021
Cited by 9 | Viewed by 3820
Abstract
Toxic metals in the industrial wastewaters have been liable for drastic pollution hence a powerful and economical treatment technology is needed for water purification. For this reason, some pure cellulosic materials were derived from waste fiber to obtain an economical adsorbent for wastewater [...] Read more.
Toxic metals in the industrial wastewaters have been liable for drastic pollution hence a powerful and economical treatment technology is needed for water purification. For this reason, some pure cellulosic materials were derived from waste fiber to obtain an economical adsorbent for wastewater treatment. Conversion of cellulose into grafting materials such as poly(methyl acrylate)-grafted cellulose was performed by free radical grafting process. Consequently, poly(hydroxamic acid) ligand was produced from the grafted cellulose. The intermediate products and poly(hydroxamic acid) ligand were analyzed by FT-IR, FE-SEM, TEM, EDX, and XPS spectroscopy. The adsorption capacity (qe) of some toxic metals ions by the polymer ligand was found to be excellent, e.g., copper capacity (qe) was 346.7 mg·g−1 at pH 6. On the other hand, several metal ions such as cobalt chromium and nickel also demonstrated noteworthy sorption capacity at pH 6. The adsorption mechanism obeyed the pseudo second-order rate kinetic model due to the satisfactory correlated experimental sorption values (qe). Langmuir model isotherm study showed the significant correlation coefficient with all metal ions (R2 > 0.99), indicating that the single or monolayer adsorption was the dominant mode on the surface of the adsorbent. This polymer ligand showed good properties on reusability. The result shows that the adsorbent may be recycled for 6 cycles without any dropping of starting sorption capabilities. This polymeric ligand showed outstanding toxic metals removal magnitude, up to 90–99% of toxic metal ions can be removed from industrial wastewater. Full article
(This article belongs to the Special Issue Feature Papers of Green and Sustainable Chemistry in Polymer Science)
Show Figures

Graphical abstract

15 pages, 1703 KB  
Article
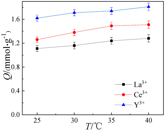
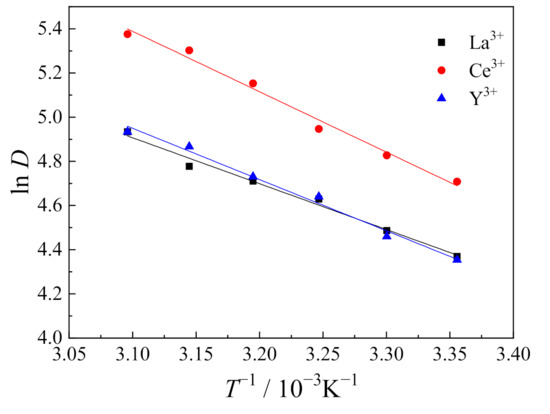
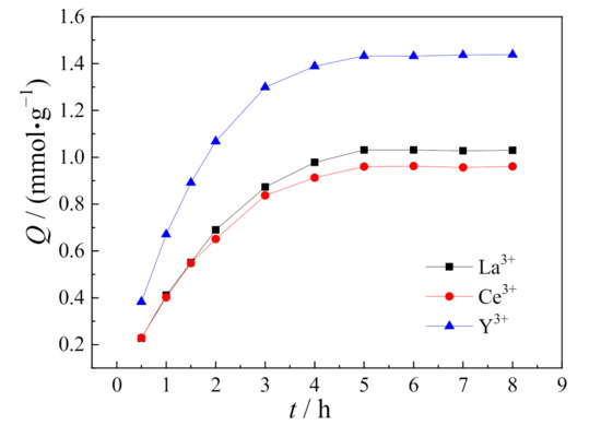
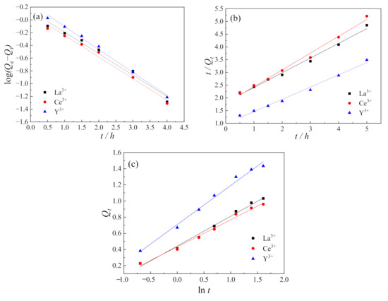
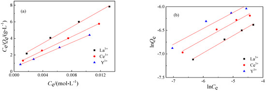
Adsorption Properties for La(III), Ce(III), and Y(III) with Poly(6-acryloylamino-hexyl hydroxamic acid) Resin
by Xiaoyan Cao, Chunjie Zhou, Shuai Wang and Ruilin Man
Polymers 2021, 13(1), 3; https://doi.org/10.3390/polym13010003 - 22 Dec 2020
Cited by 23 | Viewed by 3059
Abstract
Using polyacrylic resin followed by the substitution reaction with 6-aminohexyl hydroxamic acid, poly(6-acryloylamino-hexyl hydroxamic acid) resin (PAMHA) was successfully synthesized. PAMHA, a spherical resin with the particle size of 0.4 mm, is a novel polyamide hydroxamic acid chelating resin containing acylamino and hydroxamic [...] Read more.
Using polyacrylic resin followed by the substitution reaction with 6-aminohexyl hydroxamic acid, poly(6-acryloylamino-hexyl hydroxamic acid) resin (PAMHA) was successfully synthesized. PAMHA, a spherical resin with the particle size of 0.4 mm, is a novel polyamide hydroxamic acid chelating resin containing acylamino and hydroxamic acid functional groups. A series of influences (pH, contact time, temperature, and the initial concentrations of rare earth ions) were investigated to determine the adsorption properties. The adsorption capacity for La(III), Ce(III), and Y(III) ions were 1.030, 0.962, and 1.450 mmol·g−1, respectively. Thermodynamic and kinetic studies were also carried out to show that the uptake of rare earth ions onto PAMHA fitted well the pseudo-second-order model and Langmuir isotherm, and the adsorption process was spontaneous endothermic. In addition, desorption of rare earth ions was achieved by using 2 mol·L−1 HNO3 and desorption efficiencies for La(III), Ce(III), and Y(III) ions were 98.4, 99.1, and 98.8%, respectively. Properties of PAMHA resin were characterized by scanning electron microscope (SEM), Fourier transform infrared spectrometry (FTIR), and X-ray photoelectron spectrometer (XPS). The results showed that there was coordination between the rare earth ions with PAMHA and rare metal ions were chemically adsorbed on the surface of the PAMHA. Full article
(This article belongs to the Section Polymer Applications)
Show Figures

Graphical abstract

27 pages, 6259 KB  
Article
Polymer Ligands Derived from Jute Fiber for Heavy Metal Removal from Electroplating Wastewater
by Md Lutfor Rahman, Choong Jian Fui, Tang Xin Ting, Mohd Sani Sarjadi, Sazmal E. Arshad and Baba Musta
Polymers 2020, 12(11), 2521; https://doi.org/10.3390/polym12112521 - 29 Oct 2020
Cited by 28 | Viewed by 4270
Abstract
Industrial operations, domestic and agricultural activities worldwide have had major problems with various contaminants caused by environmental pollution. Heavy metal pollution in wastewater also a prominent issue; therefore, a well built and economical treatment technology is demanded for pollution-free wastewater. The present work [...] Read more.
Industrial operations, domestic and agricultural activities worldwide have had major problems with various contaminants caused by environmental pollution. Heavy metal pollution in wastewater also a prominent issue; therefore, a well built and economical treatment technology is demanded for pollution-free wastewater. The present work emphasized pure cellulose extracted from jute fiber and further modification was performed by a free radical grafting reaction, which resulted in poly(methyl acrylate) (PMA)-grafted cellulose and poly(acrylonitrile)-grafted cellulose. Subsequently, poly(hydroxamic acid) and poly(amidoxime) ligands were prepared from the PMA-grafted cellulose and PAN-grafted cellulose, respectively. An adsorption study was performed using the desired ligands with heavy metals such as copper, cobalt, chromium and nickel ions. The binding capacity (qe) with copper ions for poly(hydroxamic acid) is 352 mg g−1 whereas qe for poly(amidoxime) ligand it was exhibited as 310 mg g−1. Other metal ions (chromium, cobalt and nickel) show significance binding properties at pH 6. The Langmuir and Freundlich isotherm study was also performed. The Freundlich isotherm model showed good correlation coefficients for all metal ions, indicating that multiple-layers adsorption was occurred by the polymer ligands. The reusability was evaluated and the adsorbents can be reused for 7 cycles without significant loss of removal performance. Both ligands showed outstanding metals removal capacity from the industrial wastewater as such 98% of copper can be removed from electroplating wastewater and other metals (cobalt, chromium, nickel and lead) can also be removed up to 90%. Full article
(This article belongs to the Special Issue Polymers Materials for Water Treatment)
Show Figures

Figure 1

14 pages, 3301 KB  
Article
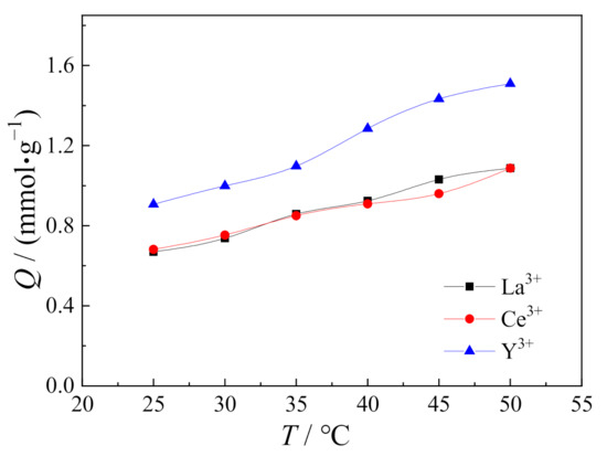
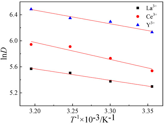
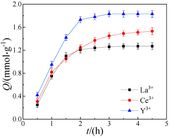
Preparation of a Novel Polystyrene-Poly(hydroxamic Acid) Copolymer and Its Adsorption Properties for Rare Earth Metal Ions
by Xiaoyan Cao, Qing Wang, Shuai Wang and Ruilin Man
Polymers 2020, 12(9), 1905; https://doi.org/10.3390/polym12091905 - 24 Aug 2020
Cited by 20 | Viewed by 3351
Abstract
In this study, a novel polystyrene-poly(hydroxamic acid) copolymer was synthesized as an effective adsorbent for the treatment of rare earth elements. Through the use of elemental analysis as well as FTIR, SEM, XPS, and Brunauer-Emmett-Teller (BET) surface area measurement, the synthesized polymer was [...] Read more.
In this study, a novel polystyrene-poly(hydroxamic acid) copolymer was synthesized as an effective adsorbent for the treatment of rare earth elements. Through the use of elemental analysis as well as FTIR, SEM, XPS, and Brunauer-Emmett-Teller (BET) surface area measurement, the synthesized polymer was found to have a specific surface area of 111.4 m2·g−1. The adsorption performances of rare metal ions were investigated under different pH levels, contact times, initial concentrations of rare earth ions, and temperatures. The adsorption equilibrium for La3+, Ce3+, and Y3+ onto a polystyrene-poly(hydroxamic acid) copolymer is described by the Langmuir model, which confirms the applicability of monolayer coverage of rare earth ions onto a polystyrene-poly(hydroxamic acid) copolymer. The amount of adsorption capacities for La3+, Ce3+, and Y3+ reached 1.27, 1.53, and 1.83 mmol·g−1 within four hours, respectively. The adsorption process was controlled by liquid film diffusion, particle diffusion, and chemical reaction simultaneously. The thermodynamic parameters, including the change of Gibbs free energy (∆G), the change of enthalpy (∆H), and the change of entropy (∆S), were determined. The results indicate that the adsorption of resins for La3+, Ce3+ and Y3+ was spontaneous and endothermic. The polymer was also used as a recyclable adsorbent by the desorption experiment. Full article
(This article belongs to the Section Polymer Applications)
Show Figures

Graphical abstract

15 pages, 4456 KB  
Article
Rosmarinic Acid, a Component of Rosemary Tea, Induced the Cell Cycle Arrest and Apoptosis through Modulation of HDAC2 Expression in Prostate Cancer Cell Lines
by Yin-Gi Jang, Kyung-A Hwang and Kyung-Chul Choi
Nutrients 2018, 10(11), 1784; https://doi.org/10.3390/nu10111784 - 16 Nov 2018
Cited by 108 | Viewed by 8912
Abstract
Rosmarinic acid (RA), a main phenolic compound contained in rosemary which is used as tea, oil, medicine and so on, has been known to present anti-inflammatory, anti-oxidant and anti-cancer effects. Histone deacetylases (HDACs) are enzymes that play important roles in gene expression by [...] Read more.
Rosmarinic acid (RA), a main phenolic compound contained in rosemary which is used as tea, oil, medicine and so on, has been known to present anti-inflammatory, anti-oxidant and anti-cancer effects. Histone deacetylases (HDACs) are enzymes that play important roles in gene expression by removing the acetyl group from histone. The aberrant expression of HDAC in human tumors is related with the onset of human cancer. Especially, HDAC2, which belongs to HDAC class I composed of HDAC 1, 2, 3 and 8, has been reported to be highly expressed in prostate cancer (PCa) where it downregulates the expression of p53, resulting in an inhibition of apoptosis. The purpose of this study is to investigate the effect of RA in comparison with suberoylanilide hydroxamic acid (SAHA), an HDAC inhibitor used as an anti-cancer agent, on survival and apoptosis of PCa cell lines, PC-3 and DU145, and the expression of HDAC. RA decreased the cell proliferation in cell viability assay, and inhibited the colony formation and tumor spheroid formation. Additionally, RA induced early- and late-stage apoptosis of PC-3 and DU145 cells in Annexin V assay and terminal deoxynucleotidyl transferase dUTP nick end labeling (TUNEL) assay, respectively. In western blot analysis, RA inhibited the expression of HDAC2, as SAHA did. Proliferating cell nuclear antigen (PCNA), cyclin D1 and cyclin E1 were downregulated by RA, whereas p21 was upregulated. In addition, RA modulated the protein expression of intrinsic mitochondrial apoptotic pathway-related genes, such as Bax, Bcl-2, caspase-3 and poly (ADP-ribose) polymerase 1 (PARP-1) (cleaved) via the upregulation of p53 derived from HDAC2 downregulation, leading to the increased apoptosis of PC-3 and DU145 cells. Taken together, treatment of RA to PCa cell lines inhibits the cell survival and induces cell apoptosis, and it can be used as a novel therapeutic agent toward PCa. Full article
(This article belongs to the Special Issue Tea in Health and Disease)
Show Figures

Graphical abstract

Back to TopTop