Sign in to use this feature.

Years

Between: -

Subjects

remove_circle_outline
remove_circle_outline
remove_circle_outline
remove_circle_outline
remove_circle_outline
remove_circle_outline
remove_circle_outline

Journals

Article Types

Countries / Regions

Search Results (31)

Search Parameters:
Keywords = plethysmograph

Order results
Result details
Results per page
Select all
Export citation of selected articles as:
14 pages, 1977 KB  
Article
Correlation Between Body Plethysmography and Impulse Oscillometry Across Obstructive and Restrictive Lung Diseases: Evidence from an Adult Pilot Study Cohort
by Eugenia Corina Budin, Ioan Vladimir, Ruxandra Mioara Râjnoveanu, Dragoș Huțanu, Mara Andreea Vultur, Corina Mărginean, Sofia Teodora Muntean, Edith Simona Ianoși, Gabriela Jimborean and Ovidiu Simion Cotoi
Diagnostics 2025, 15(23), 3055; https://doi.org/10.3390/diagnostics15233055 - 29 Nov 2025
Viewed by 635
Abstract
Background/Objectives: Despite the complementary insights provided by body plethysmography and impulse oscillometry, direct comparisons across obstructive and restrictive lung diseases remain limited. The aim of this study was to evaluate correlations between plethysmographic and oscillometric parameters, with a particular focus on hyperinflation [...] Read more.
Background/Objectives: Despite the complementary insights provided by body plethysmography and impulse oscillometry, direct comparisons across obstructive and restrictive lung diseases remain limited. The aim of this study was to evaluate correlations between plethysmographic and oscillometric parameters, with a particular focus on hyperinflation and small airway dysfunction. Methods: We retrospectively analyzed 69 adult patients (35 obstructive, 34 restrictive) hospitalized in the Pulmonology Department of Mureș Clinical Hospital. All patients underwent body plethysmography (sRaw, Rtot, FRC, RV, TLC, RV/TLC) and impulse oscillometry (R5, R20, R5-20, X5, Fres, AX). Non-parametric tests were used to compare groups, and associations were assessed using Spearman’s correlation. Results: Higher airway resistance (sRaw 124 vs. 62, p < 0.001; R5 0.55 vs. 0.38, p < 0.01) and greater hyperinflation (RV 124 vs. 99, p < 0.001) were observed in patients with obstructed airways. Impulse oscillometry reactance markers (X5, Fres, AX) significantly differentiated obstructive from restrictive pathophysiology (p < 0.02). In the obstructive group, sRaw correlated with R5 (p = 0.01) and R5-20 (r = 0.58, p < 0.001), while AX correlated with RV (r = 0.59, p < 0.001). Restrictive patients revealed negative correlations between AX and static volumes (RV, TLC, RV/TLC; all p < 0.05). DLCO was higher in obstructive patients (75 vs. 62, p = 0.01). Conclusions: Our study demonstrates that body plethysmography and impulse oscillometry provide complementary information on respiratory mechanics and that the results obtained with the two methods correlate significantly, especially in obstructive diseases. Full article
(This article belongs to the Section Clinical Diagnosis and Prognosis)
Show Figures

Figure 1

10 pages, 304 KB  
Article
Evaluation of Pleth Variability Index in the Lithotomy Position in Geriatric Patients Undergoing Transurethral Resection of the Prostate
by Leyla Kazancıoğlu and Şule Batçık
Diagnostics 2025, 15(15), 1877; https://doi.org/10.3390/diagnostics15151877 - 26 Jul 2025
Viewed by 918
Abstract
Background/Objectives: The Pleth Variability Index (PVI) is a non-invasive parameter used to guide fluid management by reflecting respiratory-induced variations in the plethysmographic waveform. While PVI’s reliability in various positions has been studied, data on its behavior in geriatric patients undergoing transurethral resection of [...] Read more.
Background/Objectives: The Pleth Variability Index (PVI) is a non-invasive parameter used to guide fluid management by reflecting respiratory-induced variations in the plethysmographic waveform. While PVI’s reliability in various positions has been studied, data on its behavior in geriatric patients undergoing transurethral resection of the prostate (TUR-P) in the lithotomy position remain limited. This study aimed to evaluate the effect of the lithotomy position on PVI in geriatric versus non-geriatric patients under spinal anesthesia. Methods: This prospective observational study included 90 patients undergoing elective TUR-P in the lithotomy position under spinal anesthesia. Patients were divided into geriatric (≥65 years, n = 48) and non-geriatric (<65 years, n = 42) groups. PVI and Perfusion Index (PI) were recorded at baseline, in the supine position, and in the lithotomy position. Fluid and vasopressor requirements, along with hemodynamic parameters, were also analyzed. Results: PVI values at the 5th minute in the lithotomy position were significantly higher in the geriatric group compared to the non-geriatric group (p = 0.019). No significant differences were observed in PI values or intraoperative hypotension rates between the groups. Neurological comorbidities were more prevalent in the geriatric group (p = 0.025). Conclusions: PVI appears to be a more sensitive indicator of fluid responsiveness in elderly patients under spinal anesthesia in the lithotomy position. Its age-dependent variability suggests clinical utility in guiding fluid management in geriatric populations, while the stable hypotension rates support the effectiveness of PVI-guided goal-directed therapy. Full article
(This article belongs to the Special Issue Clinical Diagnosis and Management in Anesthesia and Pain Medicine)
Show Figures

Figure 1

14 pages, 4441 KB  
Article
Towards an Automatic Recognition of Artifacts and Features in Plethysmographic Traces
by Alessandro Breccia, Marco Chiloiro, Riccardo Lui, Konstantinos Panagiotakis, Gianfranco Paternò, Antonino Proto, Angelo Taibi and Alberto Zucchetta
Appl. Sci. 2025, 15(6), 3187; https://doi.org/10.3390/app15063187 - 14 Mar 2025
Cited by 1 | Viewed by 946
Abstract
A plethysmograph is a device that quantitatively assesses volumetric variations in an organ or the entire body, typically resulting from fluctuations in blood flow. In this study, a strain-gauge sensor that measures changes in the volume of the neck was used to detect [...] Read more.
A plethysmograph is a device that quantitatively assesses volumetric variations in an organ or the entire body, typically resulting from fluctuations in blood flow. In this study, a strain-gauge sensor that measures changes in the volume of the neck was used to detect the the cerebral venous outflow in the internal jugular veins. The resulting electronic signal was susceptible to several external factors, complicating the identification of relevant features. A reliable analysis of the waveform, without the need for a manual intervention to analyze the data, is of paramount importance to provide real-time analysis of the vital parameters of the patient. In this work, we demonstrate that specifically designed neural networks can detect artifacts in plethysmographic traces and identify the most important features in the signal with reasonable accuracy, eliminating the need to perform these tasks manually for each patient. Full article
Show Figures

Figure 1

9 pages, 608 KB  
Article
Foot Sole Temperature Correlates with Ankle–Brachial Index, Pulse Wave Velocity, and Arterial Age in Diabetic Patients Without Diagnosis of Peripheral Arterial Disease
by Blanca Estela Ríos-González, Liliana López-Barragán, Ana Miriam Saldaña-Cruz, Sergio Gabriel Gallardo-Moya, Aniel Jessica Leticia Brambila-Tapia, Carlos Eduardo Soto-Ramirez and Elida Berenice Garcia-Calvario
J. Clin. Med. 2024, 13(21), 6383; https://doi.org/10.3390/jcm13216383 - 25 Oct 2024
Cited by 1 | Viewed by 1698
Abstract
Background/Objectives: Some vascular alterations such as peripheral arterial disease (PAD) or arterial stiffness can alter perfusion of the limbs, so we wondered if this is reflected in the temperature of the soles of the feet of diabetic patients who did not have [...] Read more.
Background/Objectives: Some vascular alterations such as peripheral arterial disease (PAD) or arterial stiffness can alter perfusion of the limbs, so we wondered if this is reflected in the temperature of the soles of the feet of diabetic patients who did not have a diagnosis of peripheral arterial disease. Foot sole temperature was correlated with the ankle–brachial index (ABI), carotid—femoral pulse wave velocity (cfPWV), brachial–ankle pulse wave velocity (baPWV), and arterial age. Methods: A total of 175 patients with type 2 diabetes mellitus, without a previous diagnosis of PAD, were recruited. Comorbidities, anthropometry, biochemical analysis results, temperature, ABI, cfPWV, baPWV, and arterial age were recorded. Forty-two temperature records were obtained from the sole of the foot with an FLIR T865 thermal imaging camera. ABI, cfPWV, baPWV, and arterial age were obtained using plethysmographic and oscillometric methods. Statistical analysis was performed with SPSS v.29.0 (correlations and multiple linear regression models). Results: All temperature points analyzed correlated negatively with ABI (p < 0.001) and rho values ranged from −0.168 to −0.210. Likewise, cfPWV, baPWV, and arterial age had similar results, since most temperature records showed low rho values and a negative correlation with these parameters. Four models were developed to explain the variables of interest. Temperature was involved in all of them. The temperature of the first toe was included in the prediction of cfPWV, baPWV, and arterial age. Conclusions: There is an inversely proportional relationship between temperature and ABI, cfPWV, baPWV, and arterial age in diabetic patients without a previous diagnosis of arterial disease. Temperature can be a predictor of these hemodynamic variables. Full article
(This article belongs to the Section Cardiovascular Medicine)
Show Figures

Figure 1

13 pages, 11466 KB  
Article
Evaluation of Stress Scores of Healthy Adult Cats during Barometric Whole-Body Plethysmography and Its Correlation with Measurement Parameters
by Petra Benz, Yury Zablotski and Bianka Schulz
Animals 2024, 14(15), 2249; https://doi.org/10.3390/ani14152249 - 2 Aug 2024
Viewed by 2776
Abstract
Barometric whole-body plethysmography (BWBP) is considered to be a particularly gentle method of assessing lung function in cats. However, there have been no studies to date investigating the stress experienced by cats during measurements. The prospective study included 48 healthy adult cats. Each [...] Read more.
Barometric whole-body plethysmography (BWBP) is considered to be a particularly gentle method of assessing lung function in cats. However, there have been no studies to date investigating the stress experienced by cats during measurements. The prospective study included 48 healthy adult cats. Each cat was measured in the plethysmographic chamber for a total of 30 min and stress levels were determined every 10 min using a stress ethogram. At the beginning of measurements, 75% of cats were assessed as tense. Over the three time periods, a significant (p < 0.001) reduction in the total stress score was observed. In addition, all measurement parameters correlated significantly with the stress score, with the exception of enhanced pause and tidal volume. It can therefore be assumed that cats will initially experience stress during examination in the plethysmographic chamber, but stress will decrease significantly over time. As the stress level correlates with many measurement parameters, this should be taken into account when interpreting the results. Full article
Show Figures

Figure 1

11 pages, 1400 KB  
Article
The Underlying Mechanism of Poisoning after the Accidental Inhalation of Aerosolised Waterproofing Spray
by Alexander C. Ø. Jensen, Niels E. Ebbehøj, Anja J. Huusom, Keld A. Jensen, Ulla B. Vogel and Jorid B. Sørli
J. Xenobiot. 2024, 14(2), 679-689; https://doi.org/10.3390/jox14020039 - 28 May 2024
Cited by 2 | Viewed by 3179
Abstract
Waterproofing sprays can cause acute respiratory symptoms after inhalation, including coughing and dyspnoea shortly after use. Here, we describe two cases where persons used the same brand of waterproofing spray product. In both cases the persons followed the instructions on the product and [...] Read more.
Waterproofing sprays can cause acute respiratory symptoms after inhalation, including coughing and dyspnoea shortly after use. Here, we describe two cases where persons used the same brand of waterproofing spray product. In both cases the persons followed the instructions on the product and maximized the ventilation by opening windows and doors; however, they still became affected during the application of the product. Products with the same batch number as that used in one case were tested for their effect on respiration patterns of mice in whole-body plethysmographs and lung surfactant function inhibition in vitro. The product was used in spraying experiments to determine the particle size distribution of the aerosol, both using a can from one case and a can with an identical batch number. In addition, the aerosols in the mouse exposure chamber were measured. Aerosol data from a small-scale exposure chamber and data on the physical and temporal dimensions of the spraying during one case were used to estimate the deposited dose during the spraying events. All collected data point to the spraying of the waterproofing product being the reason that two people became ill, and that the inhibition of lung surfactant function was a key component of this illness. Full article
(This article belongs to the Section Emerging Chemicals)
Show Figures

Figure 1

10 pages, 1848 KB  
Article
Speckle Plethysmograph-Based Blood Pressure Assessment
by Floranne T. Ellington, Anh Nguyen, Mao-Hsiang Huang, Tai Le, Bernard Choi and Hung Cao
Technologies 2024, 12(5), 70; https://doi.org/10.3390/technologies12050070 - 18 May 2024
Viewed by 4096
Abstract
Continuous non-invasive blood pressure (CNBP) monitoring is of the utmost importance in detecting and managing hypertension, a leading cause of death in the United States. Extensive research has delved into pioneering methods for predicting systolic and diastolic blood pressure values by leveraging pulse [...] Read more.
Continuous non-invasive blood pressure (CNBP) monitoring is of the utmost importance in detecting and managing hypertension, a leading cause of death in the United States. Extensive research has delved into pioneering methods for predicting systolic and diastolic blood pressure values by leveraging pulse arrival time (PAT), the time difference between the proximal and distal signal peaks. The most widely employed pairing involves electrocardiography (ECG) and photoplethysmography (PPG). Possessing similar characteristics in terms of measuring blood flow changes, a recently investigated optical signal known as speckleplethysmography (SPG) showed its stability and high signal-to-noise ratio compared with PPG. Thus, SPG is a potential surrogate to pair with ECG for CNBP estimation. The present study aims to unlock the untapped potential of SPG as a signal for non-invasive blood pressure monitoring based on PAT. To ascertain SPG’s capabilities, eight subjects were enrolled in multiple recording sessions. A third-party device was employed for ECG and PPG measurements, while a commercial device served as the reference for arterial blood pressure (ABP). SPG measurements were obtained using a prototype smartphone-based system. Following the completion of three scenarios—sitting, walking, and running—the subjects’ signals and ABP were recorded to investigate the predictive capacity of systolic blood pressure. The collected data were processed and prepared for machine learning models, including support vector regression and decision tree regression. The models’ effectiveness was evaluated using root-mean-square error and mean absolute percentage error. In most instances, predictions utilizing PATSPG exhibited comparable or superior performance to PATPPG (i.e., SPG Rest ± 12.4 mmHg vs. PPG Rest ± 13.7 mmHg for RSME, and SPG 8% vs. PPG 9% for MAPE). Furthermore, incorporating an additional feature, namely the previous SBP value, resulted in reduced prediction errors for both signals in multiple model configurations (i.e., SPG Rest ± 12.4 mmHg to ±3.7 mmHg for RSME, and SPG Rest 8% to 3% for MAPE). These preliminary tests of SPG underscore the remarkable potential of this novel signal in PAT-based blood pressure predictions. Subsequent studies involving a larger cohort of test subjects and advancements in the SPG acquisition system hold promise for further improving the effectiveness of this newly explored signal in blood pressure monitoring. Full article
(This article belongs to the Topic Smart Healthcare: Technologies and Applications)
Show Figures

Figure 1

12 pages, 984 KB  
Article
Serum Malondialdehyde-Modified Low-Density Lipoprotein as a Risk Marker for Peripheral Arterial Stiffness in Maintenance Hemodialysis Patients
by Wei-Nung Liu, Yi-Chiung Hsu, Chia-Wen Lu, Ssu-Chin Lin, Tsung-Jui Wu and Gen-Min Lin
Medicina 2024, 60(5), 697; https://doi.org/10.3390/medicina60050697 - 24 Apr 2024
Cited by 6 | Viewed by 2510
Abstract
Background and Objectives: Peripheral arterial stiffness (PAS), assessed by brachial-ankle pulse wave velocity (baPWV), is an independent biomarker of cardiovascular diseases (CVD) in patients on maintenance hemodialysis (HD). Malondialdehyde-modified low-density lipoprotein (MDA-LDL), an oxidative stress marker, has been linked to atherosclerosis and [...] Read more.
Background and Objectives: Peripheral arterial stiffness (PAS), assessed by brachial-ankle pulse wave velocity (baPWV), is an independent biomarker of cardiovascular diseases (CVD) in patients on maintenance hemodialysis (HD). Malondialdehyde-modified low-density lipoprotein (MDA-LDL), an oxidative stress marker, has been linked to atherosclerosis and CVD. However, the association between serum MDA-LDL and PAS among HD patients has not been fully elucidated. This study aimed to examine the association of serum MDA-LDL with PAS in HD patients and to identify the optimal cutoff value of serum MDA-LDL for predicting PAS. Materials and Methods: A cross-sectional study was conducted in 100 HD patients. Serum MDA-LDL was quantified using an enzyme-linked immunosorbent assay (ELISA), and baPWV was measured using a volume plethysmographic device. Patients were divided into the PAS group (baPWV > 18.0 m/s) and the non-PAS group (baPWV ≤ 18.0 m/s). The associations of baPWV and other clinical and biochemical parameters with serum MDA-LDL were assessed by multivariable logistic regression analyses. A receiver operating characteristic (ROC) curve analysis was performed to determine the optimal cutoff value of serum MDA-LDL for predicting PAS. Results: In multivariable logistic regression analysis, higher serum MDA-LDL, older age, and higher serum C-reactive protein [odds ratios (ORs) and 95% confidence intervals: 1.014 (1.004–1.025), 1.044 (1.004–1.085) and 3.697 (1.149–11.893)] were significantly associated with PAS. In the ROC curve analysis, the optimal cutoff value of MDA-LDL for predicting PAS was 80.91 mg/dL, with a sensitivity of 79.25% and a specificity of 59.57%. Conclusions: Greater serum MDA-LDL levels, particularly ≥80.91 mg/dL, were independently associated with PAS in HD patients. The findings suggest that oxidative stress plays a crucial role in the pathogenesis of PAS, and targeting MDA-LDL may be a potential therapeutic strategy for reducing cardiovascular risk in HD patients. Full article
(This article belongs to the Special Issue Chronic Kidney Disease and Cardiovascular Disease)
Show Figures

Figure 1

17 pages, 6671 KB  
Article
Impact of Serotonergic 5HT1A and 5HT2A Receptor Activation on the Respiratory Response to Hypercapnia in a Rat Model of Parkinson’s Disease
by Kryspin Andrzejewski, Magdalena E. Orłowska, Małgorzata Zaremba, Ilona Joniec-Maciejak and Katarzyna Kaczyńska
Int. J. Mol. Sci. 2024, 25(8), 4403; https://doi.org/10.3390/ijms25084403 - 17 Apr 2024
Cited by 5 | Viewed by 2552
Abstract
In Parkinson’s disease (PD), along with typical motor dysfunction, abnormal breathing is present; the cause of which is not well understood. The study aimed to analyze the effects of stimulation of the serotonergic system with 5-HT1A and 5-HT2A agonists in a [...] Read more.
In Parkinson’s disease (PD), along with typical motor dysfunction, abnormal breathing is present; the cause of which is not well understood. The study aimed to analyze the effects of stimulation of the serotonergic system with 5-HT1A and 5-HT2A agonists in a model of PD induced by injection of 6-hydroxydopamine (6-OHDA). To model PD, bilateral injection of 6-OHDA into both striata was performed in male Wistar rats. Respiratory disturbances in response to 7% hypercapnia (CO2 in O2) in the plethysmographic chamber before and after stimulation of the serotonergic system and the incidence of apnea were studied in awake rats 5 weeks after 6-OHDA or vehicle injection. Administration of 6-OHDA reduced the concentration of serotonin (5-HT), dopamine (DA) and norepinephrine (NA) in the striatum and the level of 5-HT in the brainstem of treated rats, which have been associated with decreased basal ventilation, impaired respiratory response to 7% CO2 and increased incidence of apnea compared to Sham-operated rats. Intraperitoneal (i.p.) injection of the 5-HT1AR agonist 8-OH-DPAT and 5-HT2AR agonist NBOH-2C-CN increased breathing during normocapnia and hypercapnia in both groups of rats. However, it restored reactivity to hypercapnia in 6-OHDA group to the level present in Sham rats. Another 5-HT2AR agonist TCB-2 was only effective in increasing normocapnic ventilation in 6-OHDA rats. Both the serotonergic agonists 8-OH-DPAT and NBOH-2C-CN had stronger stimulatory effects on respiration in PD rats, compensating for deficits in basal ventilation and hypercapnic respiration. We conclude that serotonergic stimulation may have a positive effect on respiratory impairments that occur in PD. Full article
Show Figures

Figure 1

16 pages, 1463 KB  
Article
Eating Event Recognition Using Accelerometer, Gyroscope, Piezoelectric, and Lung Volume Sensors
by Sigert J. Mevissen, Randy Klaassen, Bert-Jan F. van Beijnum and Juliet A. M. Haarman
Sensors 2024, 24(2), 571; https://doi.org/10.3390/s24020571 - 16 Jan 2024
Cited by 2 | Viewed by 2296
Abstract
In overcoming the worldwide problem of overweight and obesity, automatic dietary monitoring (ADM) is introduced as support in dieting practises. ADM aims to automatically, continuously, and objectively measure dimensions of food intake in a free-living environment. This could simplify the food registration process, [...] Read more.
In overcoming the worldwide problem of overweight and obesity, automatic dietary monitoring (ADM) is introduced as support in dieting practises. ADM aims to automatically, continuously, and objectively measure dimensions of food intake in a free-living environment. This could simplify the food registration process, thereby overcoming frequent memory, underestimation, and overestimation problems. In this study, an eating event detection sensor system was developed comprising a smartwatch worn on the wrist containing an accelerometer and gyroscope for eating gesture detection, a piezoelectric sensor worn on the jaw for chewing detection, and a respiratory inductance plethysmographic sensor consisting of two belts worn around the chest and abdomen for food swallowing detection. These sensors were combined to determine to what extent a combination of sensors focusing on different steps of the dietary cycle can improve eating event classification results. Six subjects participated in an experiment in a controlled setting consisting of both eating and non-eating events. Features were computed for each sensing measure to train a support vector machine model. This resulted in F1-scores of 0.82 for eating gestures, 0.94 for chewing food, and 0.58 for swallowing food. Full article
(This article belongs to the Section Wearables)
Show Figures

Figure 1

13 pages, 955 KB  
Article
Schnider and Eleveld Models for Propofol Target-Controlled Infusion Anesthesia: A Clinical Comparison
by Federico Linassi, Paolo Zanatta, Leonardo Spano, Paolo Burelli, Antonio Farnia and Michele Carron
Life 2023, 13(10), 2065; https://doi.org/10.3390/life13102065 - 16 Oct 2023
Cited by 12 | Viewed by 9295
Abstract
Background: Various pharmacokinetic/pharmacodynamic (PK/PD) models have been developed to accurately dose propofol administration during total intravenous anesthesia with target-controlled infusion (TIVA-TCI). We aim to clinically compare the performance of the Schnider model and the new and general-purpose Eleveld PK/PD model during TIVA-TCI. Methods: [...] Read more.
Background: Various pharmacokinetic/pharmacodynamic (PK/PD) models have been developed to accurately dose propofol administration during total intravenous anesthesia with target-controlled infusion (TIVA-TCI). We aim to clinically compare the performance of the Schnider model and the new and general-purpose Eleveld PK/PD model during TIVA-TCI. Methods: We conducted a prospective observational study at a single center, enrolling 78 female patients, including 37 adults (aged < 65 years) and 41 elderly patients (aged ≥ 65 years). These patients underwent breast surgery with propofol-remifentanil TIVA-TCI guided by the bispectral index (BIS) for depth of anesthesia monitoring (target value 40–60) and the surgical plethysmographic index (SPI) for antinociception monitoring (target value 20–50) without neuromuscular blockade. The concentration at the effect site of propofol (CeP) at loss of responsiveness (LoR) during anesthesia maintenance (MA) and at return of responsiveness (RoR), the duration of surgery and anesthesia (min), the time to RoR (min), the propofol total dose (mg), the deepening of anesthesia events (DAEs), burst suppression events (BSEs), light anesthesia events (LAEs) and unwanted spontaneous responsiveness events (USREs) were considered to compare the two PK/PD models. Results: Patients undergoing BIS-SPI-guided TIVA-TCI with the Eleveld PK/PD model showed a lower CeP at LoR (1.7 (1.36–2.25) vs. 3.60 (3.00–4.18) μg/mL, p < 0.001), higher CePMA (2.80 (2.55–3.40) vs. 2.30 (1.80–2.50) μg/mL, p < 0.001) and at RoR (1.48 (1.08–1.80) vs. 0.64 (0.55–0.81) μg/mL, p < 0.001) than with the Schnider PK/PD model. Anesthetic hysteresis was observed only in the Schnider PK/PD model group (p < 0.001). DAEs (69.2% vs. 30.8%, p = 0.001) and BSEs (28.2% vs. 5.1%, p = 0.013) were more frequent with the Eleveld PK/PD model than with the Schnider PK/PD model in the general patient population. DAEs (63.2% vs. 27.3%, p = 0.030) and BSEs (31.6% vs. 4.5%, p = 0.036) were more frequent with the Eleveld PK/PD model than with the Schnider PK/PD model in the elderly. Conclusions: The Schnider and Eleveld PK/PD models impact CePs differently. A greater incidence of DAEs and BSEs in the elderly suggests more attention is necessary in this group of patients undergoing BIS-SPI-guided TIVA-TCI with the Eleveld PK/PD than with the Schnider model. Full article
(This article belongs to the Section Medical Research)
Show Figures

Figure 1

11 pages, 3253 KB  
Article
Cardioprotective Effects of Sodium Glucose Cotransporter 2 Inhibition in Angiotensin II-Dependent Hypertension Are Mediated by the Local Reduction of Sympathetic Activity and Inflammation
by Giovanna Castoldi, Raffaella Carletti, Silvia Ippolito, Massimiliano Colzani, Sara Pelucchi, Gianpaolo Zerbini, Gianluca Perseghin, Giovanni Zatti and Cira R. T. di Gioia
Int. J. Mol. Sci. 2023, 24(13), 10710; https://doi.org/10.3390/ijms241310710 - 27 Jun 2023
Cited by 16 | Viewed by 2046
Abstract
The cardioprotective effects of sodium glucose cotrasponter 2 (SGLT2) inhibitors seem to be independent from the effects on glycemic control, through little-known mechanisms. In this study, we investigate whether the cardioprotective effects of empagliflozin, a SGLT2 inhibitor, may be associated with myocardial sympathetic [...] Read more.
The cardioprotective effects of sodium glucose cotrasponter 2 (SGLT2) inhibitors seem to be independent from the effects on glycemic control, through little-known mechanisms. In this study, we investigate whether the cardioprotective effects of empagliflozin, a SGLT2 inhibitor, may be associated with myocardial sympathetic activity and inflammatory cell infiltration in an experimental model of angiotensin II-dependent hypertension. Angiotensin II (Ang II), Ang II plus Empagliflozin, physiological saline, or physiological saline plus empagliflozin were administered to Sprague Dawley rats for two weeks. Blood pressure was measured by plethysmographic method. Myocardial hypertrophy and fibrosis were analysed by histomorphometry, and inflammatory cell infiltration and tyrosine hydroxylase expression, implemented as a marker of sympathetic activity, were evaluated by immunohistochemistry. Ang II increased blood pressure, myocardial hypertrophy, fibrosis, inflammatory infiltrates and tyrosine hydroxylase expression, as compared to the control group. Empagliflozin administration prevented the development of myocardial hypertrophy, fibrosis, inflammatory infiltrates and tyrosine hydroxylase overexpression in Ang II-treated rats, without affecting blood glucose and the Ang II-dependent increase in blood pressure. These data demonstrate that the cardioprotective effects of SGLT2 inhibition in Ang II-dependent hypertension may result from the myocardial reduction of sympathetic activity and inflammation and are independent of the modulation of blood pressure and blood glucose levels. Full article
Show Figures

Figure 1

11 pages, 1414 KB  
Article
The Annoying Nature of Snoring Sounds Is Not Only about Intensity: A Pilot Study on Exposed Test Subjects
by Zhengfei Huang, Ghizlane Aarab, Madeline J. L. Ravesloot, Nico de Vries, Antonius A. J. Hilgevoord and Frank Lobbezoo
J. Clin. Med. 2023, 12(7), 2630; https://doi.org/10.3390/jcm12072630 - 31 Mar 2023
Cited by 3 | Viewed by 3068
Abstract
This study aims to assess (i) which acoustic characteristics of snoring sounds are associated with the annoying nature of snoring sounds; (ii) whether listeners’ heart rates correlate with their perceived annoyance; and (iii) whether perceived annoyance is different between listeners with different experiences [...] Read more.
This study aims to assess (i) which acoustic characteristics of snoring sounds are associated with the annoying nature of snoring sounds; (ii) whether listeners’ heart rates correlate with their perceived annoyance; and (iii) whether perceived annoyance is different between listeners with different experiences with their bedpartners’ snoring sounds. Six snoring epochs with distinct acoustic characteristics (viz., reference, high pitch, high intensity, short interval, irregular intensity, and irregular intervals) were collected from snoring patients. Twenty physicians and technicians were involved in the healthcare of snoring patients, and were divided into three groups based on personal experience with their bedpartners’ snoring sounds (viz., non-snoring, snoring but not annoying, and snoring and annoying). The test subjects listened to each epoch and rated its level of annoyance. Listeners’ heart rates were also recorded during the test using a finger plethysmograph. Within the limitations of this study, it was found that, compared with other snoring sounds, snoring sounds with high intensity and irregularity were associated with higher perceived annoyance. However, higher perceived annoyance of snoring sound was not reflected in heart rate-related parameters. In addition, listeners’ personal experiences do not seem to affect their perceived annoyance. Full article
(This article belongs to the Section Respiratory Medicine)
Show Figures

Figure 1

12 pages, 1296 KB  
Article
Prediction of Health Problems Using Deep Learning Images and Bio-Signals
by Min-Hye Lee, Hyung-Jin Mun and Sun-Kyoung Kang
Appl. Sci. 2022, 12(23), 12457; https://doi.org/10.3390/app122312457 - 5 Dec 2022
Viewed by 2692
Abstract
We propose a study to predict health abnormalities by analyzing body temperature and the heart rate variability parameters of pulse waves. The research method firstly selects fever by applying a deep learning model to thermal images, and secondly, extracts heart rate variability from [...] Read more.
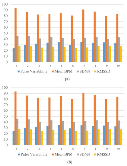
We propose a study to predict health abnormalities by analyzing body temperature and the heart rate variability parameters of pulse waves. The research method firstly selects fever by applying a deep learning model to thermal images, and secondly, extracts heart rate variability from pulse waves through a photo-plethysmograph sensor. It analyzes the relevance of body temperature and health status by dividing the presence or absence of fever cases and comparing parameters related to autonomic nerves and stress cases. As a result of the experiment, the control group with normal body temperature had a mean pulse variability of 37.65, SDNN of 64.83, and RMSSD of 42.24. In contrast, in the experimental group, which consisted of individuals with fever, the average pulse variability was 31.91, the SDNN was 42.34, and the RMSSD was 26.80. Our research expects to be applicable to a thermal imaging system that can measure body temperature and bio-signals together and show the predicted results of health status for fever cases. Full article
(This article belongs to the Section Computing and Artificial Intelligence)
Show Figures

Figure 1

19 pages, 7640 KB  
Article
Development of a Low-Cost Pulse Oximeter for Taking Medical-Scientific Parameters to Monitor Remote Patients
by Sandra Viciano-Tudela, Sandra Sendra, Jaime Lloret, Jesus Tomas and Jose Belda-Ramirez
Electronics 2022, 11(19), 3061; https://doi.org/10.3390/electronics11193061 - 26 Sep 2022
Cited by 10 | Viewed by 9772
Abstract
The development of low-cost systems for measuring medical parameters is currently an important issue since this type of system ensures that any sector of the population can access these technologies. Likewise, pandemic situations, such as the one experienced some months ago due to [...] Read more.
The development of low-cost systems for measuring medical parameters is currently an important issue since this type of system ensures that any sector of the population can access these technologies. Likewise, pandemic situations, such as the one experienced some months ago due to SARS-CoV-2, require the rapid availability of diagnostic devices. One of the devices, which has turned out to be the most relevant in the early detection of respiratory problems, is the finger pulse oximeter. However, the default information that these devices offer is limited. This paper presents the process carried out to analyze the data measured by a commercial pulse oximeter and takes advantage of them to extract relevant information about the vital parameters of the patient that is being monitored, such as peripheral oxygen saturation (SpO2), pulse rate (bpm) (PR), respiratory rate (RR/min), perfusion index (%) (Pi), plethysmography wave, plethysmographic variation index (%) (PVi), the shape of the dicrotic fissure, and the area under the curve. To do this, the Bluetooth frames generated by the device are analyzed through reverse engineering and processed to obtain the aforementioned parameters. Finally, an application for Android devices is developed in order to facilitate the collection and reading of the parameters. The system is tested with different patients whose results are validated by a physician. Full article
Show Figures

Figure 1

Back to TopTop