Sign in to use this feature.

Years

Between: -

Subjects

remove_circle_outline
remove_circle_outline
remove_circle_outline
remove_circle_outline
remove_circle_outline

Journals

Article Types

Countries / Regions

Search Results (6)

Search Parameters:
Keywords = planar underactuated manipulator

Order results
Result details
Results per page
Select all
Export citation of selected articles as:
24 pages, 9404 KB  
Article
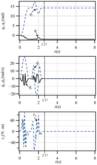
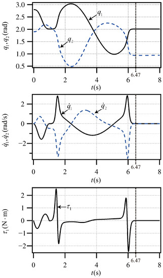
Safety-Critical End-Effector Formation Control for Planar Underactuated Manipulators
by Zhiyu Peng and Xin Xin
Actuators 2025, 14(10), 475; https://doi.org/10.3390/act14100475 - 28 Sep 2025
Abstract
While networked multi-agent systems have been widely explored, the challenges introduced by underactuation still impede safety-critical cooperative control of multiple underactuated manipulators. This paper introduces a distributed framework for end-effector formation control and obstacle avoidance in planar n-link manipulators with a passive [...] Read more.
While networked multi-agent systems have been widely explored, the challenges introduced by underactuation still impede safety-critical cooperative control of multiple underactuated manipulators. This paper introduces a distributed framework for end-effector formation control and obstacle avoidance in planar n-link manipulators with a passive first joint and active remaining joints—termed PAn−1 manipulators. By exploiting the integrability of each PAn−1 manipulator’s second-order nonholonomic constraint, we reformulate the dynamics into a cascaded structure and derive a reduced-order model driven solely by active joint velocities. Building on this reduced-order model, we design safety-critical distributed formation control laws for the reduced-order dynamics, which serve as the manipulators’ desired active joint velocities. Then, we employ the backstepping method to obtain control inputs for the full-order dynamics. To guarantee safety, we treat backstepping tracking errors as matched disturbances and address them within a robust control barrier function framework. Numerical simulations and comparative studies confirm the effectiveness of the proposed approach. Full article
(This article belongs to the Section Control Systems)
Show Figures

Figure 1

15 pages, 1795 KB  
Article
Minimum-Energy Trajectory Planning for an Underactuated Serial Planar Manipulator
by Domenico Dona’, Jason Bettega, Iacopo Tamellin, Paolo Boscariol and Roberto Caracciolo
Robotics 2025, 14(7), 98; https://doi.org/10.3390/robotics14070098 - 18 Jul 2025
Cited by 1 | Viewed by 547
Abstract
Underactuated robotic systems are appealing for industrial use due to their reduced actuator number, which lowers energy consumption and system complexity. Underactuated systems are, however, often affected by residual vibrations. This paper addresses the challenge of generating energy-optimal trajectories while imposing theoretical null [...] Read more.
Underactuated robotic systems are appealing for industrial use due to their reduced actuator number, which lowers energy consumption and system complexity. Underactuated systems are, however, often affected by residual vibrations. This paper addresses the challenge of generating energy-optimal trajectories while imposing theoretical null residual (and yet practical low) vibration in underactuated systems. The trajectory planning problem is cast as a constrained optimal control problem (OCP) for a two-degree-of-freedom revolute–revolute planar manipulator. The proposed method produces energy-efficient motion while limiting residual vibrations under motor torque limitations. Experiments compare the proposed trajectories to input shaping techniques (ZV, ZVD, NZV, NZVD). Results show energy savings that range from 12% to 69% with comparable and negligible residual oscillations. Full article
(This article belongs to the Special Issue Adaptive and Nonlinear Control of Robotics)
Show Figures

Figure 1

30 pages, 15227 KB  
Review
A Survey of Planar Underactuated Mechanical System
by Zixin Huang, Chengsong Yu, Ba Zeng, Xiangyu Gong and Hongjian Zhou
Machines 2024, 12(12), 829; https://doi.org/10.3390/machines12120829 - 21 Nov 2024
Cited by 3 | Viewed by 1446
Abstract
Planar underactuated mechanical systems have been a popular research issue in the area of mechanical systems and nonlinear control. This paper reviews the current research status of control methods for a class of planar underactuated manipulator (PUM) systems containing a single passive joint. [...] Read more.
Planar underactuated mechanical systems have been a popular research issue in the area of mechanical systems and nonlinear control. This paper reviews the current research status of control methods for a class of planar underactuated manipulator (PUM) systems containing a single passive joint. Firstly, the general dynamics model and kinematics model of the PUM are given, and its control characteristics are introduced; secondly, according to the distribution position characteristics of the passive joints, the PUM is classified into the passive first joint system, the passive last joint system, and the passive intermediate joint system, and the analysis and discussion are carried out in respect to the existing intelligent control methods. Finally, in response to the above discussion, we provide a brief theoretical analysis and summarize the challenges faced by PUM, i.e., uncertainty and robustness of the system, unified control methods and research on underactuated systems with uncontrollable multi-passive joints; at the same time, the practical applications have certain limitations that need to be implemented subsequently, i.e., anti-jamming, multi-planar underactuated robotic arm co-control and spatial underactuated robotic arm system development. Aiming at the above challenges and problems in the control of PUM systems, we elaborate on them in points, and put forward the research directions and related ideas for future work, taking into account the contributions of the current work. Full article
(This article belongs to the Section Machine Design and Theory)
Show Figures

Figure 1

22 pages, 11470 KB  
Article
Comprehensive Stable Control Strategy for a Typical Underactuated Manipulator Considering Several Uncertainties
by Zixin Huang, Wei Wang, Ba Zeng, Chengsong Yu and Yaosheng Zhou
Appl. Sci. 2024, 14(9), 3663; https://doi.org/10.3390/app14093663 - 25 Apr 2024
Cited by 1 | Viewed by 1147
Abstract
This article proposes a comprehensive stable control strategy for the planar multi-link underactuated manipulator (PMLUM), considering several uncertainties. According to the nilpotent approximation property, the control procedure is split into two stages. In the first stage of control, we postulate the idea of [...] Read more.
This article proposes a comprehensive stable control strategy for the planar multi-link underactuated manipulator (PMLUM), considering several uncertainties. According to the nilpotent approximation property, the control procedure is split into two stages. In the first stage of control, we postulate the idea of model degradation, reducing the PMLUM to a planar virtual Pendubot (PVP). This occurs by controlling the active link (AL) to a specific desired position and the passive link (PL) moves along with it. When the AL moves to the desired position, the second phase of control is entered. Meanwhile, all ALs are regarded as a whole, so the PMLUM can be regarded as a mechanical arm with 2-DOF. In the second stage of control, due to the nilpotent approximation feature of the PVP, the PVP is guided to the desired angle using the iterative steering technique. Simulation experiments are carried out on active–active–passive (AAP) and active–active–active–passive (AAAP) systems under major uncertainties, which contain initial velocity and torque disturbances. The final results validate the effectiveness of the method proposed. Full article
(This article belongs to the Section Robotics and Automation)
Show Figures

Figure 1

16 pages, 850 KB  
Article
A General Stable Control Method for R-Type Underactuated Robot with Three Different Initial Situations
by Zixin Huang, Mengyu Hou, Yong Hua, Chengsong Yu and Lejun Wang
Appl. Sci. 2023, 13(9), 5565; https://doi.org/10.3390/app13095565 - 30 Apr 2023
Cited by 5 | Viewed by 2004
Abstract
In this paper, we propose a general control method via the intelligent algorithm for a planar R-type underactuated robot. This control method solves the unified control problem of R-type underactuated manipulator. Meanwhile, the proposed method is also applicable to cases of nonzero initial [...] Read more.
In this paper, we propose a general control method via the intelligent algorithm for a planar R-type underactuated robot. This control method solves the unified control problem of R-type underactuated manipulator. Meanwhile, the proposed method is also applicable to cases of nonzero initial velocity and interference rejection. Our total control program includes two stages. In the first stage, we design the trajectory based on the states of the actuated link, and then the controller is designed to track the planned trajectory to realize the objective of the actuated link. In the second stage, the trajectory with adjustable parameters is planned for the actuated link. Then, the adjustable parameters are calculated by the intelligent algorithm based on the underactuated constraints. Subsequently, the controller is designed to track the second trajectory to realize the objective of the actuated manipulator and the underactuated manipulator. Finally, the performance of the proposed method is verified through simulations. Full article
Show Figures

Figure 1

11 pages, 835 KB  
Article
Continuous Control Strategy of Planar 3-Linkage Underactuated Manipulator Based on Broad Neural Network
by Siyu Chen, Yawu Wang, Pan Zhang and Chun-Yi Su
Actuators 2021, 10(10), 249; https://doi.org/10.3390/act10100249 - 27 Sep 2021
Cited by 5 | Viewed by 2804
Abstract
For the position control of a planar 3-linkage underactuated manipulator (PTUM) with a passive first linkage, a continuous control strategy is developed in this paper. In particular, a broad neural network (BNN)-based model is first established to accurately describe the motion coupling relationship [...] Read more.
For the position control of a planar 3-linkage underactuated manipulator (PTUM) with a passive first linkage, a continuous control strategy is developed in this paper. In particular, a broad neural network (BNN)-based model is first established to accurately describe the motion coupling relationship between the passive linkage and the second linkage. Based on this model, by using the particle swarm optimization algorithm, the target angles of all linkages are calculated combining the start states of all linkages and the target position of the PTUM. Then, the target angles of the active linkages are directly achieved by their respective actuators, and that of the passive linkage is also achieved by the rotation of the second linkage. By carrying out several experiments, the effectiveness of the above strategy is verified. Full article
(This article belongs to the Special Issue Learning and Control of Underactuated Mechanical System)
Show Figures

Figure 1

Back to TopTop