Sign in to use this feature.

Years

Between: -

Subjects

remove_circle_outline
remove_circle_outline
remove_circle_outline
remove_circle_outline
remove_circle_outline
remove_circle_outline
remove_circle_outline
remove_circle_outline
remove_circle_outline

Journals

Article Types

Countries / Regions

Search Results (113)

Search Parameters:
Keywords = patent transfer

Order results
Result details
Results per page
Select all
Export citation of selected articles as:
21 pages, 1716 KB  
Review
Phage Therapy: A Promising Approach in the Management of Periodontal Disease
by Paulo Juiz, Matheus Porto, David Moreira, Davi Amor and Eron Andrade
Drugs Drug Candidates 2026, 5(1), 6; https://doi.org/10.3390/ddc5010006 - 8 Jan 2026
Viewed by 127
Abstract
Background/Objectives: Periodontal disease is a condition marked by the destruction of tooth-supporting tissues, driven by an exaggerated immune response to an unbalanced dental biofilm. Conventional treatments struggle due to antimicrobial resistance and the biofilm’s protective extracellular matrix. This study evaluates the potential of [...] Read more.
Background/Objectives: Periodontal disease is a condition marked by the destruction of tooth-supporting tissues, driven by an exaggerated immune response to an unbalanced dental biofilm. Conventional treatments struggle due to antimicrobial resistance and the biofilm’s protective extracellular matrix. This study evaluates the potential of bacteriophages as an innovative strategy for managing periodontal disease. Methods: This research employed a qualitative approach using Discursive Textual Analysis, with IRAMUTEQ version 0.8 alpha 7 (Interface de R pour les Analyses Multidimensionnelles de Textes et de Questionnaires) software. The search was conducted in the Orbit Intelligence and PubMed databases, for patents and scholarly articles, respectively. The textual data underwent Descending Hierarchical Classification, Correspondence Factor Analysis, and Similarity Analysis to identify core themes and relationships between words. Results: The analysis revealed an increase in research and patent filings concerning phage therapy for periodontal disease since 2017, emphasizing its market potential. The primary centers for intellectual property activity were identified as China and the United States. The study identified five focus areas: Genomic/Structural Characterization, Patent Formulations, Etiology, Therapeutic Efficacy, and Ecology/Phage Interactions. Lytic phages were shown to be effective against prominent pathogens such as Fusobacterium nucleatum and Enterococcus faecalis. Conversely, the lysogenic phages poses a potential risk, as they may transfer resistance and virulence factors, enhancing pathogenicity. Conclusions: Phage therapy is a promising approach to address antimicrobial resistance and biofilm challenges in periodontitis management. Key challenges include the need for the clinical validation of formulations and stable delivery systems for the subgingival area. Future strategies, such as phage genetic engineering and data-driven cocktail design, are crucial for enhancing efficacy and overcoming regulatory hurdles. Full article
(This article belongs to the Special Issue Microbes and Medicines)
Show Figures

Graphical abstract

31 pages, 3764 KB  
Article
Design and Fabrication of a Compact Evaporator–Absorber Unit with Mechanical Enhancement for LiBr–H2O Vertical Falling Film Absorption, Part II: Control-Volume Modeling and Thermodynamic Performance Analysis
by Genis Díaz-Flórez, Teodoro Ibarra-Pérez, Carlos Alberto Olvera-Olvera, Santiago Villagrana-Barraza, Ma. Auxiliadora Araiza-Esquivel, Hector A. Guerrero-Osuna, Ramón Jaramillo-Martínez, Mayra A. Torres-Hernández and Germán Díaz-Flórez
Technologies 2026, 14(1), 33; https://doi.org/10.3390/technologies14010033 - 4 Jan 2026
Viewed by 236
Abstract
This study reports the thermodynamic performance of a patented compact vertical evaporator–absorber unit for LiBr–H2O absorption cooling, extending Part I by translating validated prototype data into a rigorous control-volume assessment of coupled transport. Coolant-side calorimetry was used to determine the absorption [...] Read more.
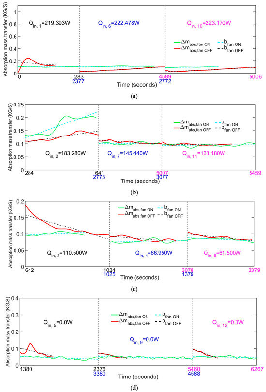
This study reports the thermodynamic performance of a patented compact vertical evaporator–absorber unit for LiBr–H2O absorption cooling, extending Part I by translating validated prototype data into a rigorous control-volume assessment of coupled transport. Coolant-side calorimetry was used to determine the absorption heat-transfer rate (Qabs), while a mass–energy balance provided an estimate of the absorption mass-transfer rate (m˙abs) across twelve manually imposed thermal-load phases with tagged fan-OFF/ON sub-intervals. Linear trend (slope) analysis was applied to quantify phase-resolved dynamic behavior. Fan assistance produced three load-dependent regimes: (i) stabilization of downward trends under low and zero loads, yielding slope-based relative improvements above 100% in the most critical weak-gradient phases; (ii) acceleration of recovery at intermediate loads; and (iii) moderation of strongly positive drifts at high loads. The global thermal resistance (Rth) decreased by more than 30% in passive and low-load phases, and Wilcoxon signed-rank tests confirmed statistically significant reductions in most intervals (p < 0.05). Uncertainty contributions and robustness were quantified through an uncertainty budget decomposition and sensitivity analyses, and a subsystem-level normalization (ηEA = Qabs/Qin) is reported to support comparisons across loads without invoking cycle COP. Overall, active vapor-flow management using a low-power internal fan widens the useful operating envelope of compact absorbers and provides a validated thermodynamic baseline with practical, regime-aware control guidelines for decentralized low-carbon cooling technologies. Full article
Show Figures

Figure 1

25 pages, 2770 KB  
Article
The Third Skin: A Biomimetic Hydronic Conditioning System, a New Direction in Ecologically Sustainable Design
by Mark B. Luther, Richard Hyde, Arosha Gamage and Hung Q. Do
Biomimetics 2025, 10(12), 843; https://doi.org/10.3390/biomimetics10120843 - 16 Dec 2025
Viewed by 413
Abstract
The increasing demand for sustainable climate control has spurred research into our hydronic conditioning system with a patented radiant ceiling panel (AU 2024227462) inspired by biomimetic methodologies. This study develops a framework that utilizes natural systems for heating and cooling, enhancing system performance [...] Read more.
The increasing demand for sustainable climate control has spurred research into our hydronic conditioning system with a patented radiant ceiling panel (AU 2024227462) inspired by biomimetic methodologies. This study develops a framework that utilizes natural systems for heating and cooling, enhancing system performance and environmental sustainability. Biometric analysis was the primary method for testing these systems, focusing on heat transfer mechanisms modeled after human biology. Findings indicate that the proposed hydronic system excels in cooling mode, achieving an average capacity of 95 W/m2 while maintaining thermal comfort levels (PMV) with solar heat gains under 1.5 kW in an 18 m2 space. However, in heating mode, the system shows a capacity of 85 W/m2 but struggles with vertical air-temperature stratification, especially in the radiant ceiling component. This highlights the potential of biomimetic designs to enhance energy efficiency and comfort in sustainable development. The hydronic panel system parallels the human body in energy transfer; both can emit 75–90 W/m2 through radiation. Convection over the panel can increase energy transfer by 50–80%, akin to the human body’s heat loss through convection. Notably, natural perspiration facilitates latent energy transfer of 20–25%. When the conditioned panel operates below the dew point, it generates water vapor, boosting cooling capacity by 5–15% and enhancing latent energy transfer. Overall, the heat transfer processes of the hydronic panel mimic certain aspects of human physiology, distinguishing it from conventional HVAC systems. Full article
(This article belongs to the Section Bioinspired Architecture and Climatisation)
Show Figures

Graphical abstract

28 pages, 895 KB  
Article
Smart City Innovations: The Role of Local and Global Collaborations
by Ekaterina Turkina, Nasrin Sultana and Boris Oreshkin
Urban Sci. 2025, 9(12), 505; https://doi.org/10.3390/urbansci9120505 - 28 Nov 2025
Viewed by 628
Abstract
This paper integrates research on smart cities, innovation ecosystems, and networks to examine how collaboration shapes the development of smart city technologies. It addresses a critical gap in the literature by investigating the roles of both local and global partnerships in driving innovation. [...] Read more.
This paper integrates research on smart cities, innovation ecosystems, and networks to examine how collaboration shapes the development of smart city technologies. It addresses a critical gap in the literature by investigating the roles of both local and global partnerships in driving innovation. Drawing on a negative binomial regression analysis of global patent data, the study evaluates the impact of domestic and international collaborations on smart city innovation. Next, to uncover the underlying mechanisms through which these partnerships influence innovation, the paper combines thematic analysis of interviews with network analysis. The findings identify three key pathways through which collaboration fosters innovation: knowledge transfer and adoption, co-development and experimentation, and standardization and scalability. The study underscores the complementary roles of local and global ties—while local collaborations provide the foundation for implementation, global linkages introduce new ideas and practices that enrich local innovation efforts. The paper concludes with policy recommendations for promoting effective multi-level collaboration in smart city development. Full article
Show Figures

Figure 1

16 pages, 9654 KB  
Article
Network Evolution of Digital Technology Transfers and Implications for Urban Digital Innovation Governance: Evidence from Chinese Patent Transactions
by Haining Wang and Wanglai Cui
Sustainability 2025, 17(21), 9584; https://doi.org/10.3390/su17219584 - 28 Oct 2025
Viewed by 734
Abstract
Digital technology transfer plays a pivotal role in reshaping innovation landscapes and fueling the growth of the digital economy. To investigate this phenomenon, this study draws on data on digital technology transfers from the China National Intellectual Property Administration (CNIPA). Using tools such [...] Read more.
Digital technology transfer plays a pivotal role in reshaping innovation landscapes and fueling the growth of the digital economy. To investigate this phenomenon, this study draws on data on digital technology transfers from the China National Intellectual Property Administration (CNIPA). Using tools such as Gephi 0.10.1 and ArcGIS 10.8, we construct an inter-city digital technology transfer network and develop a quantitative model to analyse the mechanisms by which it impacts urban digital innovation across multiple geographic scales. The main findings are as follows: (1) The inter-city digital technology transfer network in China forms a “diamond-shaped” spatial structure centred on Beijing, Shanghai, Guangzhou, and Shenzhen, with several regional hubs sustaining its connectivity and organisation. (2) Despite a decline in the proportion of intra-city transfers, the number of participating cities continues to rise, revealing a spatial pattern of diffusion from core cities toward inland provincial capitals. (3) Benchmark regression results show that both inter- and intra-city transfers significantly enhance urban digital innovation capacity, with inter-city transfers exhibiting a more substantial effect than their intra-city counterparts. This finding holds after a series of robustness tests. (4) Heterogeneity analysis, based on categorising cities into higher-tier (municipalities, sub-provincial cities, and provincial capitals) and lower-tier groups, indicates that the effect of digital technology transfer on innovation is more pronounced in lower-tier cities. Full article
Show Figures

Figure 1

31 pages, 946 KB  
Article
Performance Analysis of a Floating Seawater Desalination Structure Based on Heat Pipes
by Juan J. Vallejo Tejero, María Martínez Gómez, Francisco J. Muñoz Gutiérrez and Alejandro Rodríguez Gómez
Inventions 2025, 10(4), 72; https://doi.org/10.3390/inventions10040072 - 14 Aug 2025
Viewed by 1217
Abstract
This study presents a comprehensive numerical simulation and thermal performance analysis of a novel modular floating solar still system, featuring integrated heat-pipe vacuum tube collectors, designed for seawater desalination. This innovative system—subject of International Patent Application WO 2023/062261 A1—not only aims to enhance [...] Read more.
This study presents a comprehensive numerical simulation and thermal performance analysis of a novel modular floating solar still system, featuring integrated heat-pipe vacuum tube collectors, designed for seawater desalination. This innovative system—subject of International Patent Application WO 2023/062261 A1—not only aims to enhance efficiency and scalability beyond traditional solar stills, but also addresses the significant environmental challenge of concentrated brine discharge inherent in conventional desalination methods. The study evolved from an initial theoretical model to a rigorous dynamic thermal model, validated using real hourly meteorological data from Málaga, Andalusia, Spain. This modelling approach was developed to quantify heat transfer mechanisms and accurately predict system performance. The refined hourly simulation forecasts an annual freshwater production of approximately 174 L per unit. Notably, a preliminary economic assessment estimates the Cost of Produced Water per Litre (CPL) at 0.7509 EUR/litre, establishing a valuable baseline for future optimisation. These findings underscore the critical importance of dynamic hourly simulations for realistic performance prediction and validate the technical and preliminary economic feasibility of this novel approach. The system’s projected output, modular floating design, and significant environmental advantages position it as a promising and sustainable solution for freshwater production, particularly in coastal regions and sensitive marine ecosystems. This work provides a solid foundation for future experimental validation, cost optimisation, and scalable implementation of renewable energy-driven desalination. Full article
Show Figures

Figure 1

21 pages, 2021 KB  
Article
Patent Licensing Strategy for Supply Chain Reshaping Under Sudden Disruptive Events
by Jianxin Zhu, Xinying Wang, Nengmin Zeng and Huijian Zhong
Systems 2025, 13(8), 672; https://doi.org/10.3390/systems13080672 - 7 Aug 2025
Viewed by 1065
Abstract
Supply chains are increasingly exposed to sudden disruptive events (SDEs) such as natural disasters and trade wars. We develop a multi-stage game-theoretical model to investigate a novel coping mechanism: when a firm is forced to exit the market because of SDEs, the firm [...] Read more.
Supply chains are increasingly exposed to sudden disruptive events (SDEs) such as natural disasters and trade wars. We develop a multi-stage game-theoretical model to investigate a novel coping mechanism: when a firm is forced to exit the market because of SDEs, the firm can regain profits by licensing its proprietary production tech to a competitor. We find that, compared with the scenario before SDEs, such events can even increase the profit of each manufacturer under certain conditions. Under certain conditions, the cooperative strategy (i.e., supply chain reshaping) yields a higher supply chain system profit than the non-cooperative strategy. After SDEs, the common manufacturer may either accept or reject cooperation, depending on the customer transfer rate and the cooperation cost. Notably, under the cooperation strategy, the high-tech manufacturer extracts part of the common manufacturer’s profit through patent licensing, and the existence of cooperation cost further contributes to a misalignment between the common manufacturer’s optimal decision and the supply chain system optimum. These findings contribute to the literature by identifying a novel supply chain reshaping mechanism driven by patent licensing and offer strategic guidance for firms and policymakers navigating SDE-induced market exits. Full article
(This article belongs to the Special Issue Operation and Supply Chain Risk Management)
Show Figures

Figure 1

23 pages, 658 KB  
Article
Green Innovation Quality in Center Cities and Economic Growth in Peripheral Cities: Evidence from the Yangtze River Delta Urban Agglomeration
by Sijie Duan, Hao Chen and Jie Han
Systems 2025, 13(8), 642; https://doi.org/10.3390/systems13080642 - 1 Aug 2025
Cited by 3 | Viewed by 992
Abstract
Improving the green innovation quality (GIQ) of center cities is crucial to achieve sustainable urban agglomeration development. Utilizing data on green patent citations and economic indicators across cities in the Yangtze River Delta urban agglomeration (YRD) from 2003 to 2022, this research examines [...] Read more.
Improving the green innovation quality (GIQ) of center cities is crucial to achieve sustainable urban agglomeration development. Utilizing data on green patent citations and economic indicators across cities in the Yangtze River Delta urban agglomeration (YRD) from 2003 to 2022, this research examines the influence of center cities’ GIQ on the economic performance of peripheral municipalities. The results show the following: (1) Center cities’ GIQ exerts a significant suppressive effect on peripheral cities’ economic growth overall. Heterogeneity analysis uncovers a distance-dependent duality. GIQ stimulates growth in proximate cities (within 300 km) but suppresses it beyond this threshold. This spatial siphoning effect is notably amplified in national-level center cities. (2) Mechanisms suggest that GIQ accelerates the outflow of skilled labor in peripheral cities through factor agglomeration and industry transfer mechanisms. Concurrently, it impedes the gradient diffusion of urban services, collectively hindering peripheral development. (3) Increased government green attention (GGA) and industry–university–research cooperation (IURC) in centers can mitigate these negative impacts. This paper contributes to the theoretical discourse on center cities’ spatial externalities within agglomerations and offers empirical support and policy insights for the exertion of spillover effects of high-quality green innovation from center cities and the sustainable development of urban agglomeration. Full article
(This article belongs to the Section Systems Practice in Social Science)
Show Figures

Figure 1

27 pages, 1919 KB  
Article
An Italian Patent Multi-Label Classification System to Support the Innovation Demand and Supply Matching
by Nicola Amoroso, Annamaria Demarinis Loiotile, Ester Pantaleo, Giuseppe Conti, Shiva Loccisano, Sabina Tangaro, Alfonso Monaco and Roberto Bellotti
Sustainability 2025, 17(14), 6425; https://doi.org/10.3390/su17146425 - 14 Jul 2025
Viewed by 1162
Abstract
The innovation demand and supply matching requires an accurate and time-consuming analysis of patents and the identification of their technological domains; since these tasks can be particularly challenging, this is why recent studies have evaluated the possibility of adopting Artificial Intelligence based on [...] Read more.
The innovation demand and supply matching requires an accurate and time-consuming analysis of patents and the identification of their technological domains; since these tasks can be particularly challenging, this is why recent studies have evaluated the possibility of adopting Artificial Intelligence based on NLP techniques. Here, we present an automated workflow for patent analysis and classification devoted to the Italian patent scenario. High-quality data from the online platform KnowledgeShare (KS) were investigated: KS is the first patent management platform on the Italian innovation scene. A not secondary aspect consisted in determining which words mostly influenced patent classification, thus characterizing the corresponding research areas. Several models were compared to ensure the workflow’s robustness; Logistic Regression (LR) resulted in the best-performing model, and its performance compared well with the State of the Art. For each technological domain in the KS database, we evaluated and discussed its characteristic words; furthermore, a further analysis was focused on explaining why some domains, such as “Packaging” and “Environment,” were particularly confounding. This last aspect is of paramount importance to identify cross-contamination effects among research areas. Full article
Show Figures

Figure 1

45 pages, 2664 KB  
Review
Converging Electrospinning and 3D-Printing Technologies: From Innovative Design for Tissue Engineering to Global Patent Trends and Technology Transfer
by Karen J. Juarez-Navarro, Vincenzo Guarino and Marco A. Alvarez-Perez
Fibers 2025, 13(6), 83; https://doi.org/10.3390/fib13060083 - 19 Jun 2025
Cited by 2 | Viewed by 5243
Abstract
Electrospinning is a technique that enables the production of nano- and microfibrillar patterns that mimic the native extracellular matrix. However, these nanofibrous structures often lack mechanical properties suitable for reproducing the behavior of structurally complex tissues. Therefore, achieving more accurate and precise geometric [...] Read more.
Electrospinning is a technique that enables the production of nano- and microfibrillar patterns that mimic the native extracellular matrix. However, these nanofibrous structures often lack mechanical properties suitable for reproducing the behavior of structurally complex tissues. Therefore, achieving more accurate and precise geometric structures be-comes a key challenge. In this context, additive manufacturing techniques such as 3D printing may allow for the development of tailored structures with highly controlled ar-chitecture and improved mechanical strength. However, in contrast with electrospinning, these techniques are commonly considered “low-resolution” techniques, unable to ma-nipulate structural details at the submicrometric scale. Hence, this review aims to intro-duce and discuss recent technological approaches based on combining these technologies for scaffold development in tissue engineering, detailing some distinct integration strate-gies correlating the outcomes to the benefits and drawbacks. Finally, a comprehensive analysis of the current state of the art in the registered intellectual property related to these integrated approaches will be proposed, assessing their distribution by geographic region and analyzing the main trends over time and future fallouts. Full article
Show Figures

Figure 1

21 pages, 1068 KB  
Article
Potential Analysis of Technological Value in the Intelligent Connected Vehicles Field from the Patent Licensing Perspective
by Jiaxin Yuan, Xianhui Zong, Guiyang Zhang and Yong Qi
Sustainability 2025, 17(11), 5104; https://doi.org/10.3390/su17115104 - 2 Jun 2025
Viewed by 1464
Abstract
Patent licensing is essential for sustainable technological diffusion, fostering innovation and strengthening industrial resilience. However, the determinants influencing patent licensing decisions remain underexplored. This study investigates these factors at both the enterprise and patent levels, emphasizing their role in promoting sustainable industrial innovation [...] Read more.
Patent licensing is essential for sustainable technological diffusion, fostering innovation and strengthening industrial resilience. However, the determinants influencing patent licensing decisions remain underexplored. This study investigates these factors at both the enterprise and patent levels, emphasizing their role in promoting sustainable industrial innovation and knowledge transfer. Given the low proportion of licensed patents, this research proposes a measurement framework to identify thematically similar but unlicensed patents and applies a conditional logistic regression model to analyze the factors affecting licensing decisions. Using patent abstracts from the intelligent connected vehicles (ICVs) sector, topic modeling is conducted to classify technological themes, and Kullback–Leibler divergence is applied to measure differences between licensed and unlicensed patents. The results indicate that technological prestige and depth negatively influence licensing, whereas technological breadth, advancement, and stability have a positive effect. From a sustainability perspective, enterprises should optimize technology management to support responsible knowledge transfer and green innovation. Universities should enhance patent quality and innovation impact to contribute more effectively to sustainable development. Policymakers should refine patent licensing frameworks to foster an efficient, inclusive, and sustainable intellectual property ecosystem, thereby facilitating cross-sectoral technology diffusion, advancing eco-friendly industrial transformation, and promoting sustainable economic growth. Full article
Show Figures

Figure 1

26 pages, 380 KB  
Article
Evaluating the Wallet-Based DCEP: Regulatory Innovations and Implementation Strategies in China’s Retail CBDC
by Zhenyong Li and Jianxing Li
Laws 2025, 14(3), 38; https://doi.org/10.3390/laws14030038 - 31 May 2025
Viewed by 4450
Abstract
In pursuit of a higher-quality post-pandemic economic recovery, Chinese authorities have accelerated the development of the e-CNY. This study posits that the e-CNY distinguishes itself from other payment instruments through its controlled anonymity, programmability, and non-interest-bearing attributes. By analyzing patents filed by the [...] Read more.
In pursuit of a higher-quality post-pandemic economic recovery, Chinese authorities have accelerated the development of the e-CNY. This study posits that the e-CNY distinguishes itself from other payment instruments through its controlled anonymity, programmability, and non-interest-bearing attributes. By analyzing patents filed by the Digital Currency Research Institute of the People’s Bank of China between 2016 and 2023, the paper elucidates potential implementation strategies for these distinctive features. The findings suggest that the e-CNY may facilitate a zero-interest accrual model within the prevailing legal framework. Restricted authority access and the anonymity ensured by encrypted data further allow users to maintain a high degree of confidentiality. Additionally, conditional automatic transfers—a prominent function in the e-CNY’s smart contracts—mirror traditional automatic transfers for directed fund utilization without impeding the circulation of fiat currency. The People’s Bank of China has sought to thoughtfully integrate these functionalities into its Central Bank Digital Currency framework, aiming to minimize potential conflicts with existing legal standards. Instead of relying solely on extensive legislative revisions, China’s experience illustrates how deliberate and incremental CBDC design choices can reconcile regulatory compliance with innovative technological advancements. Full article
Show Figures

Figure 1

18 pages, 2153 KB  
Article
Catalytic Biorefining of Cigarette Butts Recycling Waste
by Eric Borges Ribeiro, Maria Betânia d’Heni Teixeira, Thérèse Hofmann Gatti, Romulo Davi Albuquerque Andrade and Paulo Anselmo Ziani Suarez
Chemistry 2025, 7(3), 86; https://doi.org/10.3390/chemistry7030086 - 23 May 2025
Cited by 1 | Viewed by 1294
Abstract
Urban solid waste (USW) is a promising alternative source of valuable chemical compounds. It is considered an adsorbent material due to its chemical structure, porosity and electronic charge available to form chemical bonds and can be recovered or transformed for use in bioprocesses [...] Read more.
Urban solid waste (USW) is a promising alternative source of valuable chemical compounds. It is considered an adsorbent material due to its chemical structure, porosity and electronic charge available to form chemical bonds and can be recovered or transformed for use in bioprocesses and industrial applications. This is the case with cigarette butts (CBs), which consist of thousands of substances that can be chemically converted for various purposes. This work showed high efficiency in the production of cellulose mass from the recycling of CBs, a patented technology in operation at the company Poiato Recicla—SP. The lignin-like solid (LLS)—a material obtained from the recycling of cigarette butts (CBs) by catalytic transfer hydrogenation (CTH), under non-rigorous conditions—showed high efficiency in its conversion into molecules of great interest. In the bio-oil obtained, characterized by analyses such as GCMS and RMN 2D HSQC, a mixture of predominantly hydrocarbons (many of them with cyclic and/or branched chains) was identified in almost all the experiments. This method demonstrates the potential of the TCH process for SSLs and completes the recycling chain designed for CBs, promoting their complete conversion into chemical compounds of greater interest. Full article
(This article belongs to the Topic Green and Sustainable Chemical Processes)
Show Figures

Graphical abstract

23 pages, 1480 KB  
Article
Do Spatial Spillovers of Technology Transfer Networks Impact Urban Innovation Capacity? Evidence from Chinese Cities
by Zilin Wen and Xiaoyu Shao
Reg. Sci. Environ. Econ. 2025, 2(2), 12; https://doi.org/10.3390/rsee2020012 - 20 May 2025
Cited by 1 | Viewed by 1766
Abstract
As the flow of innovation elements breaks through geographical boundaries, patent transfer and the resulting spatial knowledge spillovers have become a crucial pathway for cities to enhance their competitive advantages and foster collaborative innovation. This study crawls technology transfer data through Big Data [...] Read more.
As the flow of innovation elements breaks through geographical boundaries, patent transfer and the resulting spatial knowledge spillovers have become a crucial pathway for cities to enhance their competitive advantages and foster collaborative innovation. This study crawls technology transfer data through Big Data mining and uses social network analysis to construct an intercity technology transfer network among 286 Chinese cities at the prefecture-level and above between 2000 and 2020. The study explores the influence of technology transfer networks and their spatial spillovers on urban innovation capacity. The results are as follows: (1) Moran’s I results indicate that technology transfer and innovation activities among Chinese cities exhibit significant spatial dependence. (2) The Markov chain analysis reveals that the technology transfer networks among Chinese cities exhibit significant spatial spillovers. (3) Spatial econometric analysis and effect decomposition demonstrate that technology transfer networks exhibit significant spatial dependence and spillover effects. Through the induced spatial knowledge spillovers, technology transfer networks contribute to enhancing the innovation capabilities of neighboring cities. Full article
Show Figures

Figure 1

24 pages, 797 KB  
Article
How Does University Innovation Respond to Local Industrial Development?
by Huasheng Song and Mengxia Yang
Systems 2025, 13(5), 386; https://doi.org/10.3390/systems13050386 - 16 May 2025
Cited by 1 | Viewed by 1184
Abstract
University innovation plays an increasingly significant role in regional industrial development. In this paper, we study how local industrial initiatives affect the university innovation activities. We link preferred initiatives from Chinese provincial Five-Year Plans to university–industry patent data. Using difference-in-differences design, we document [...] Read more.
University innovation plays an increasingly significant role in regional industrial development. In this paper, we study how local industrial initiatives affect the university innovation activities. We link preferred initiatives from Chinese provincial Five-Year Plans to university–industry patent data. Using difference-in-differences design, we document that local preferred industrial initiatives significantly enhance university innovation. These initiatives increase public Research and Development (R&D) funding (government-push effect) and facilitate regional university–industry collaboration (market-pull effect). The effects exhibit heterogeneity across university administrative affiliation, university research capacity, and industry technology intensity. Furthermore, regional industrial comparative advantages and university technology transfer capabilities strengthen the innovation-enhancing effects. Finally, this paper demonstrates that university research capacity strengthens the effectiveness of industrial initiatives on firm output. These findings underscore the synergy among industrial initiatives, university innovation, and local development. Full article
(This article belongs to the Section Systems Practice in Social Science)
Show Figures

Figure 1

Back to TopTop