Sign in to use this feature.

Years

Between: -

Subjects

remove_circle_outline
remove_circle_outline
remove_circle_outline
remove_circle_outline
remove_circle_outline
remove_circle_outline
remove_circle_outline
remove_circle_outline
remove_circle_outline

Journals

remove_circle_outline
remove_circle_outline
remove_circle_outline
remove_circle_outline
remove_circle_outline
remove_circle_outline
remove_circle_outline
remove_circle_outline
remove_circle_outline
remove_circle_outline
remove_circle_outline
remove_circle_outline

Article Types

Countries / Regions

remove_circle_outline
remove_circle_outline
remove_circle_outline
remove_circle_outline
remove_circle_outline
remove_circle_outline

Search Results (791)

Search Parameters:
Keywords = partial angle

Order results
Result details
Results per page
Select all
Export citation of selected articles as:
22 pages, 13473 KB  
Article
Ship Ranging Method in Lake Areas Based on Binocular Vision
by Tengwen Zhang, Xin Liu, Mingzhi Shao, Yuhan Sun and Qingfa Zhang
Sensors 2025, 25(20), 6477; https://doi.org/10.3390/s25206477 - 20 Oct 2025
Abstract
The unique hollowed-out catamaran hulls and complex environmental conditions in lake areas hinder traditional ranging algorithms (combining target detection and stereo matching) from accurately obtaining depth information near the center of ships. This not only impairs the navigation of electric tourist boats but [...] Read more.
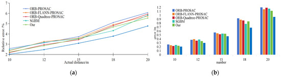
The unique hollowed-out catamaran hulls and complex environmental conditions in lake areas hinder traditional ranging algorithms (combining target detection and stereo matching) from accurately obtaining depth information near the center of ships. This not only impairs the navigation of electric tourist boats but also leads to high computing resource consumption. To address this issue, this study proposes a ranging method integrating improved ORB (Oriented FAST and Rotated BRIEF) with stereo vision technology. Combined with traditional optimization techniques, the proposed method calculates target distance and angle based on the triangulation principle, providing a rough alternative solution for the “gap period” of stereo matching-based ranging. The method proceeds as follows: first, it acquires ORB feature points with relatively uniform global distribution from preprocessed binocular images via a local feature weighting approach; second, it further refines feature points within the ROI (Region of Interest) using a quadtree structure; third, it enhances matching accuracy by integrating the FLANN (Fast Library for Approximate Nearest Neighbors) and PROSAC (Progressive Sample Consensus) algorithms; finally, it applies the screened matching point pairs to the triangulation method to obtain the position and distance of the target ship. Experimental results show that the proposed algorithm improves processing speed by 6.5% compared with the ORB-PROSAC algorithm. Under ideal conditions, the ranging errors at 10m and 20m are 2.25% and 5.56%, respectively. This method can partially compensate for the shortcomings of stereo matching in ranging under the specified lake area scenario. Full article
(This article belongs to the Section Sensing and Imaging)
Show Figures

Figure 1

33 pages, 6175 KB  
Article
Fluorocarbon Interfacial Modifier: Wettability Alteration in Reservoir Rocks for Enhanced Oil Recovery and Field Application
by Ruiyang Liu, Huabin Li, Zhe Li, Xudong Yu, Lide He, Xutong Guo, Feng Zhao, Huaqiang Shi and Wenzhao Sun
Energies 2025, 18(20), 5463; https://doi.org/10.3390/en18205463 - 16 Oct 2025
Viewed by 177
Abstract
The peripheral reservoirs of the Daqing Oilfield exhibit low permeability and partial heterogeneity, resulting in a rapid injection pressure increase, limited sweep efficiency, and significant residual oil retention. To enhance recovery, this study synthesized a fluorocarbon siloxane (FHB) via free radical addition for [...] Read more.
The peripheral reservoirs of the Daqing Oilfield exhibit low permeability and partial heterogeneity, resulting in a rapid injection pressure increase, limited sweep efficiency, and significant residual oil retention. To enhance recovery, this study synthesized a fluorocarbon siloxane (FHB) via free radical addition for rock surface wettability modification. At a concentration of 0.1 wt%, FHB increased water and oil contact angles to 136° and 117°, respectively, at 60 °C. Fourier transform infrared spectroscopy, thermogravimetric analysis, and aging tests confirmed stable hydrophobic/oleophobic properties through chemical bonding to the rock. Furthermore, the low surface energy FHB significantly reduced adhesion work and decreased oil-water interfacial tension from 27 mN/m to 0.55 mN/m, thereby improving fluid transport in pore throats and promoting residual oil mobilization. Core flooding experiments resulted in an increase in total recovery by 11%, with low-field NMR analysis confirming reduced oil saturation across various pore sizes. A field trial in a production well in Daqing Oilfield successfully increased output from 3.1 t/d to 4.9 t/d, validating the efficacy of this strategy under real reservoir conditions—representing the first successful field application of a fluorocarbon-based modifier for wettability alteration and oil production enhancement in China. This study provides valuable experimental data and a practical framework for implementing chemical-enhanced recovery. Full article
(This article belongs to the Section I1: Fuel)
Show Figures

Figure 1

13 pages, 3509 KB  
Article
Sol–Gel Synthesis and Multi-Technique Characterization of Graphene-Modified Ca2.95Eu0.05Co4Ox Nanomaterials
by Serhat Koçyiğit
Polymers 2025, 17(20), 2767; https://doi.org/10.3390/polym17202767 - 16 Oct 2025
Viewed by 230
Abstract
This study employs a multi-technique approach to elucidate how graphene incorporation affects phase formation, microstructure, and thermal behavior in PVA-assisted sol–gel synthesized Ca2.95Eu0.05Co4Ox nanomaterials. XRD confirms the preservation of the primary phases (hexagonal CaCO3 and [...] Read more.
This study employs a multi-technique approach to elucidate how graphene incorporation affects phase formation, microstructure, and thermal behavior in PVA-assisted sol–gel synthesized Ca2.95Eu0.05Co4Ox nanomaterials. XRD confirms the preservation of the primary phases (hexagonal CaCO3 and cubic CoO) alongside a distinct graphene (002) reflection; a systematic low-angle shift of the calcite (104) peak evidences partial relaxation of residual lattice strain with increasing graphene content, while Scherrer analysis indicates tunable crystallite size. Raman spectroscopy corroborates graphene incorporation through pronounced D (~1300 cm−1) and G (~1580 cm−1) bands and supports the XRD-identified phase coexistence via cobalt-oxide and calcite vibrations in the 200–700 cm−1 region, also indicating increased defect/disorder with graphene loading. SEM shows grain refinement, denser/bridged lamellar textures, and reduced porosity at low–moderate graphene contents (1–3 wt.%), contrasted by agglomeration-driven heterogeneity at higher loadings (5–7 wt.%). EDX reveals increasing carbon with Ca/Co redistribution at accessible surfaces, and TG–DSC corroborates the removal of oxygen-containing groups and oxidative combustion of graphene at mid temperatures. Collectively, Raman–XRD-consistent evidence demonstrates that graphene provides a tunable handle over lattice strain, crystallite size, and grain-boundary architecture, establishing a processing–composition basis for optimizing functional (e.g., electrical/thermoelectric) performance. Full article
(This article belongs to the Special Issue Polymers in Inorganic Chemistry: Synthesis and Applications)
Show Figures

Figure 1

15 pages, 1926 KB  
Article
Metasurface-Engineered Glass for Green Buildings
by Tunchien Teng and Min Peng
Appl. Sci. 2025, 15(20), 11062; https://doi.org/10.3390/app152011062 - 15 Oct 2025
Viewed by 155
Abstract
This study numerically investigates and designs, through electromagnetic and ray-tracing simulations, two types of double-sided metasurface thermal insulation glazing to maintain visible light (VIS) transmittance while effectively suppressing near-infrared (NIR) transmission, with a partial reduction in deep-blue (DB) transmission, thus reducing air-conditioning load [...] Read more.
This study numerically investigates and designs, through electromagnetic and ray-tracing simulations, two types of double-sided metasurface thermal insulation glazing to maintain visible light (VIS) transmittance while effectively suppressing near-infrared (NIR) transmission, with a partial reduction in deep-blue (DB) transmission, thus reducing air-conditioning load and lighting energy consumption and contributing to overall building energy efficiency. Both designs were optimized and analyzed entirely through simulations, using structural parameter sweeps and AM 1.5 solar spectrum weighting. Design I is composed of two all-dielectric metasurfaces, aiming to maximize VIS transmittance while partially suppressing DB and reducing NIR transmission. Design II integrates a metallic layer with dielectric structures on the front side and employs an all-dielectric metasurface on the back side to enhance NIR blocking and maintain low transmittance under oblique incidence. Simulation results show that Design II outperforms Design I in NIR suppression, exhibiting lower and more stable transmittance across incident angles, while Design I achieves higher VIS transmittance. These findings present a promising pathway for developing high-performance, lightweight glazing for sustainable buildings, improving energy efficiency by balancing solar heat control and daylight utilization. Full article
(This article belongs to the Section Green Sustainable Science and Technology)
Show Figures

Figure 1

22 pages, 10080 KB  
Article
Laser Fabricated MgO-TiO2 Based Photocatalytic Antifogging and Self-Cleaning Surface in Air
by Zhenze Zhai, Feiyue Zhang, Yongjian Gao, Longze Chen, Jia Liu, Yu Wang, Chaoran Sun and Hongtao Cui
Coatings 2025, 15(10), 1214; https://doi.org/10.3390/coatings15101214 - 15 Oct 2025
Viewed by 286
Abstract
A cost-effective laser marker was employed to fabricate a superhydrophilic, photocatalytic Mg-Ti-based surface on glass under ambient conditions. The photocatalytic layer was first deposited via laser processing, followed by partial laser etching to generate micro/nanostructures on the surface. This method preserves partial photocatalytic [...] Read more.
A cost-effective laser marker was employed to fabricate a superhydrophilic, photocatalytic Mg-Ti-based surface on glass under ambient conditions. The photocatalytic layer was first deposited via laser processing, followed by partial laser etching to generate micro/nanostructures on the surface. This method preserves partial photocatalytic functionality while enhancing surface roughness and introducing unique nanostructures, enabling the sample to simultaneously exhibit antifogging, self-cleaning capabilities, and high light transmittance. The optimal sample was achieved by tuning laser processing parameters, including repetition rate and scanning hatch distance. It maintained a water contact angle (WCA) of 0° after 15 days of outdoor exposure, which only increased to 21.2° after 30 days. In comparison, the WCA of reference glass increased from an initial 23.3° to 63.9° over the same period. Furthermore, the amount of dust accumulated on the optimal sample was significantly lower—by up to 43%—than that on the reference glass over one month under both indoor and outdoor conditions. After a single spray cleaning, the dust removal efficiency of the indoor-stored optimal sample reached 70%, which was 56% higher than that of the reference. For samples stored outdoors, a single spray removed 67% of the dust from the optimal surface, compared to only 26% for the reference, highlighting its excellent self-cleaning performance. Additionally, the optimal also showcased remarkable antifogging property, which had been maintained over the one-month exposure period without visible degradation. Moreover, the optimal sample exhibited a 2% enhancement in broadband light transmittance across the 400–1000 nm wavelength range, demonstrating strong potential for photovoltaic applications. The simultaneous achievement of antireflection, antifogging, and self-cleaning performance under both indoor and outdoor conditions over a one-month period has rarely been reported in the literature. Full article
(This article belongs to the Special Issue Applications of Self-Cleaning Photocatalytic Coatings)
Show Figures

Figure 1

15 pages, 752 KB  
Article
Quantifying Gait and Posture in Geriatric Inpatients Using Inertial Sensors and Posturography: A Cross-Sectional Study
by René Schwesig, Nicole Strutz, Aline Schönenberg, Matti Panian, Karl-Stefan Delank, Kevin G. Laudner and Tino Prell
Diagnostics 2025, 15(20), 2578; https://doi.org/10.3390/diagnostics15202578 - 13 Oct 2025
Viewed by 344
Abstract
Background/Objectives: Mobility screening is standard practice in hospitalized geriatric patients, but clinical assessments alone may not fully capture functional capacity and related risks. This study aimed to describe the physical performance (gait analysis, postural stability and regulation) and clinical–functional status (e.g., [...] Read more.
Background/Objectives: Mobility screening is standard practice in hospitalized geriatric patients, but clinical assessments alone may not fully capture functional capacity and related risks. This study aimed to describe the physical performance (gait analysis, postural stability and regulation) and clinical–functional status (e.g., Tinetti [TIN], Barthel Index [BI]) in geriatric inpatients, and to explore associations between measures from different domains. Methods: Fifty-five geriatric inpatients (mean age: 84.3 ± 5.47 years, range: 71–97; 49% female) underwent spatiotemporal gait analysis (inertial sensor system/RehaGait) and posturography (Interactive Balance System). Clinical assessments included TIN, BI, Montreal Cognitive Assessment (MoCA), Geriatric Depression Scale (GDS), Clinical Frailty Scale (CFS), and Numeric Rating Scale (NRS). Gait and postural data were compared with age-, sex-, and height-adjusted reference values. Results: Clinical data indicated a low fall risk (TIN: 24), moderate functional independence (BI: 54), and moderate frailty (CFS: 5). Deviations from reference values were more frequent in gait parameters (18/50%) than in postural parameters (6/17%), with postural stability consistently reduced. The largest differences for the geriatric patients compared with the reference gait data were found for stride length, walking speed, double and single support, roll-off angle, and landing angle. TIN showed the strongest correlation with walking speed (r = 0.47, 95% CI: 0.22–0.67), a relationship unaffected by gender (partial r = 0.52). Conclusions: Gait assessment revealed greater performance deficits than postural measures in this cohort. Full article
(This article belongs to the Section Clinical Diagnosis and Prognosis)
Show Figures

Figure 1

25 pages, 18664 KB  
Article
Study on Lower Limb Motion Intention Recognition Based on PO-SVMD-ResNet-GRU
by Wei Li, Mingsen Wang, Daxue Sun, Zhuoda Jia and Zhengwei Yue
Processes 2025, 13(10), 3252; https://doi.org/10.3390/pr13103252 - 13 Oct 2025
Viewed by 242
Abstract
This study aims to enhance the accuracy of human lower limb motion intention recognition based on surface electromyography (sEMG) signals and proposes a signal denoising method based on Sequential Variational Mode Decomposition (SVMD) optimized by the Parrot Optimization (PO) algorithm and a joint [...] Read more.
This study aims to enhance the accuracy of human lower limb motion intention recognition based on surface electromyography (sEMG) signals and proposes a signal denoising method based on Sequential Variational Mode Decomposition (SVMD) optimized by the Parrot Optimization (PO) algorithm and a joint motion angle prediction model combining Residual Network (ResNet) with Gated Recurrent Unit (GRU) for the two aspects of signal processing and predictive modeling, respectively. First, for the two motion conditions of level walking and stair climbing, sEMG signals from the rectus femoris, vastus lateralis, semitendinosus, and biceps femoris, as well as the motion angles of the hip and knee joints, were simultaneously collected from five healthy subjects, yielding a total of 400 gait cycle data points. The sEMG signals were denoised using the method combining PO-SVMD with wavelet thresholding. Compared with denoising methods such as Empirical Mode Decomposition, Partial Ensemble Empirical Mode Decomposition, Independent Component Analysis, and wavelet thresholding alone, the signal-to-noise ratio (SNR) of the proposed method was increased to a maximum of 23.42 dB. Then, the gait cycle information was divided into training and testing sets at a 4:1 ratio, and five models—ResNet-GRU, Transformer-LSTM, CNN-GRU, ResNet, and GRU—were trained and tested individually using the processed sEMG signals as input and the hip and knee joint movement angles as output. Finally, the root mean square error (RMSE), mean absolute error (MAE), and coefficient of determination (R2) were used as evaluation metrics for the test results. The results show that for both motion conditions, the evaluation metrics of the ResNet-GRU model in the test results are superior to those of the other four models. The optimal evaluation metrics for level walking are 2.512 ± 0.415°, 1.863 ± 0.265°, and 0.979 ± 0.007, respectively, while the optimal evaluation metrics for stair climbing are 2.475 ± 0.442°, 2.012 ± 0.336°, and 0.98 ± 0.009, respectively. The method proposed in this study achieves improvements in both signal processing and predictive modeling, providing a new method for research on lower limb motion intention recognition. Full article
Show Figures

Figure 1

22 pages, 2265 KB  
Article
Utilization of Low-Viscosity Sustainable Quaternary Microemulsification Fuels Containing Waste Frying Oil–Diesel Fuel–Bio-Alcohols in a Turbocharged-CRDI Diesel Engine
by Huseyin Sanli
Sustainability 2025, 17(19), 8835; https://doi.org/10.3390/su17198835 - 2 Oct 2025
Viewed by 427
Abstract
In this study, low-viscosity (<5 mm2·s−1, fits European Biodiesel Standard-EN 14214) quaternary microemulsification fuels were developed and tested in a CRDI diesel engine to evaluate their effects on engine performance, injection, combustion, and emission characteristics. The fuels were formulated [...] Read more.
In this study, low-viscosity (<5 mm2·s−1, fits European Biodiesel Standard-EN 14214) quaternary microemulsification fuels were developed and tested in a CRDI diesel engine to evaluate their effects on engine performance, injection, combustion, and emission characteristics. The fuels were formulated using 50% petro-diesel, 30% waste frying oil (without converting biodiesel), and a combination of 10% n-butanol with either 10% methanol or 10% ethanol. Engine tests were conducted at constant speed of 2000 rpm and five different engine loads. The results indicated that both microemulsified fuels exhibited increased brake specific fuel consumption by about 20% and brake specific energy consumption by around 8% compared to petro-diesel, while thermal efficiency decreased by about 8%. Injection timing for both pilot and main injections occurred earlier with the emulsification fuels, and higher injection amount and injection rate values were observed at all loads. As engine load increased, the peak cylinder pressures of the emulsified fuels surpassed those of petro-diesel, although the crank angles at which these peak values were attained were similar. The combustion duration was shorter for both quaternary fuels, with similar maximum pressure rise rates to petro-diesel. Emulsification fuels caused higher exhaust emissions (especially THC) and this difference increased with increasing load. When comparing two formulations, the methanol-containing fuel demonstrated slightly better results than the ethanol-containing blend. These findings suggest that microemulsified fuels containing bio-alcohols and waste frying oil can be sustainable fuel alternatives for partial petro-diesel substitution if the injection settings are adapted in accordance with the properties of these fuels. Full article
(This article belongs to the Topic Advanced Bioenergy and Biofuel Technologies)
Show Figures

Figure 1

27 pages, 7010 KB  
Article
Trailing-Edge Noise and Amplitude Modulation Under Yaw-Induced Partial Wake: A Curl–UVLM Analysis with Atmospheric Stability Effects
by Homin Kim, Taeseok Yuk, Kukhwan Yu and Soogab Lee
Energies 2025, 18(19), 5205; https://doi.org/10.3390/en18195205 - 30 Sep 2025
Viewed by 339
Abstract
This study examines the effects of partial wakes caused by upstream turbine yaw control on the trailing-edge noise of a downstream turbine under stable and neutral atmospheric conditions. Using a combined model coupling the unsteady vortex lattice method (UVLM) with the Curl wake [...] Read more.
This study examines the effects of partial wakes caused by upstream turbine yaw control on the trailing-edge noise of a downstream turbine under stable and neutral atmospheric conditions. Using a combined model coupling the unsteady vortex lattice method (UVLM) with the Curl wake model, calibrated with large eddy simulation data, wake behavior and noise characteristics were analyzed for yaw angles from −30° to +30°. Results show that partial wakes slightly raise overall noise levels and lateral asymmetry of trailing-edge noise, while amplitude modulation (AM) strength is more strongly influenced by yaw control. AM varies linearly with wake deflection at moderate yaw angles but behaves nonlinearly beyond a threshold due to large wake deflection and deformation. Findings reveal that yaw control can significantly increase the lateral asymmetry in the AM strength directivity pattern of the downstream turbine, and that AM characteristics depend on the complex interplay between inflow distribution and convective amplification effects, highlighting the importance of accurate wake prediction, along with appropriate consideration of observer point location and blade rotation, for evaluating AM characteristics of a wind turbine influenced by a partial wake. Full article
(This article belongs to the Special Issue Progress and Challenges in Wind Farm Optimization)
Show Figures

Figure 1

23 pages, 11757 KB  
Article
Geodynamic Evolution of Flat-Slab Subduction of South Tianshan Ocean: Constraints from Devonian Dioritic Porphyrites and Granitoids in the Kumishi Area
by Wenbin Kang, Kai Weng, Xue Zhang, Xiaojian Zhao, Bo Chen and Yongwei Gao
Minerals 2025, 15(10), 1019; https://doi.org/10.3390/min15101019 - 26 Sep 2025
Viewed by 330
Abstract
Subduction of the South Tianshan Ocean caused widespread Devonian magmatism, lithospheric deformation, and thinning along the south margin of the Central Tianshan Belt. However, the details of this subduction process remain elusive. This study presents comprehensive data on Devonian granitoids from the Kumishi [...] Read more.
Subduction of the South Tianshan Ocean caused widespread Devonian magmatism, lithospheric deformation, and thinning along the south margin of the Central Tianshan Belt. However, the details of this subduction process remain elusive. This study presents comprehensive data on Devonian granitoids from the Kumishi area, including whole-rock geochemical data, Sr-Nb-Pb isotopic compositions, zircon U-Pb ages, and zircon Hf isotopic data. Dioritic porphyrites, medium–fine-grained monzogranites, and coarse–medium-grained monzogranites were emplaced at 397 ± 2 Ma, 397 ± 3 Ma, and 395 ± 3 Ma, respectively. The dioritic porphyrites have relatively high Sr contents, low heavy rare earth element (HREE) and Y contents, and high Sr/Y ratios, which are characteristics of adakites. High Al and Na2O contents suggest that the rocks formed through partial melting of subducted oceanic crust. The monzogranites display I-type and subduction-related arc affinities, sourced from a mixed magma of crustal materials and mantle wedge components. The granodiorites were emplaced at 373 ± 3 Ma, and also exhibit pronounced I-type and subduction-related arc affinities. Combined with previous data, our results demonstrate that the studied area of Devonian magmatism records the entire spatiotemporal evolution of subduction of the South Tianshan Ocean slab, from initial shallowing of the subduction angle to flat-slab subduction, followed by final slab rollback. Full article
Show Figures

Figure 1

29 pages, 1758 KB  
Article
Liquid Crystallinity in Epoxy Networks: A Systematic Study of Thermal Conductivity and Structure
by Elias Chalwatzis, Peng Lan and Frank Schönberger
Polymers 2025, 17(19), 2596; https://doi.org/10.3390/polym17192596 - 25 Sep 2025
Viewed by 526
Abstract
Epoxy resins are valuable in aerospace, electronics, and high-performance industries; however, their inherently low thermal conductivity (TC) limits applications requiring effective heat dissipation. Recent reports suggest that certain liquid crystalline or partially crystalline epoxy formulations can achieve higher TC, even exceeding 1 W/(m·K). [...] Read more.
Epoxy resins are valuable in aerospace, electronics, and high-performance industries; however, their inherently low thermal conductivity (TC) limits applications requiring effective heat dissipation. Recent reports suggest that certain liquid crystalline or partially crystalline epoxy formulations can achieve higher TC, even exceeding 1 W/(m·K). To investigate this, 17 epoxy formulations were prepared, including the commonly used diglycidyl ether of bisphenol A (DGEBA) and two custom-synthesized diepoxides: TME4, which contains rigid aromatic ester linkages with a C4 aliphatic spacer, and LCE-DP, featuring rigid imine bonds. Thermal conductivity was measured using four techniques: laser flash analysis (LFA), modified transient plane source (MTPS), time-domain thermoreflectance (TDTR), and displacement thermo-optic phase spectroscopy (D-TOPS). Additionally, small-angle and wide-angle X-ray scattering (SAXS/WAXS) were performed to detect crystalline or liquid crystalline domains. All formulations exhibited TC values ranging from 0.13 to 0.32 W/(m·K). The TME4–DDS systems, previously reported to be near 1 W/(m·K), consistently measured between 0.26 and 0.30 W/(m·K). Thus, under our synthesis and curing conditions, the elevated TC reported in prior studies was not reproduced, and no strong evidence of crystallinity was observed; indications of local ordering did not translate into higher conductivity. Variations in TC among methods often matched or exceeded the gains attributed to mesophase formation. More broadly, evidence for crystallinity in epoxy thermosets appears weak, consistent with the notion that crosslinking suppresses long-range ordering. Full article
(This article belongs to the Section Polymer Analysis and Characterization)
Show Figures

Graphical abstract

17 pages, 3464 KB  
Article
Advanced Spectroscopic and Thermoanalytical Quantification of LLDPE in Mealworm Frass: A Multitechnique Approach
by Encarnación Martínez-Sabater, Rosa Peñalver, Margarita Ros, José A. Pascual, Raul Moral and Frutos C. Marhuenda-Egea
Appl. Sci. 2025, 15(18), 10244; https://doi.org/10.3390/app151810244 - 20 Sep 2025
Viewed by 359
Abstract
Plastic pollution from polyethylene-based materials is a critical environmental concern due to their high persistence. Here, we report the first proof-of-concept application of a multitechnique analytical framework for quantifying linear low-density polyethylene (LLDPE) in Tenebrio molitor frass. Artificially enriched frass–LLDPE mixtures were analyzed [...] Read more.
Plastic pollution from polyethylene-based materials is a critical environmental concern due to their high persistence. Here, we report the first proof-of-concept application of a multitechnique analytical framework for quantifying linear low-density polyethylene (LLDPE) in Tenebrio molitor frass. Artificially enriched frass–LLDPE mixtures were analyzed using thermogravimetric analysis (TGA), TGA coupled with Fourier-Transform Infrared Spectroscopy (FTIR) and Mass Spectrometry (MS), TGA under inert atmosphere, and solid-state 13C nuclear magnetic resonance spectroscopy with Cross-Polarization and Magic Angle Spinning (CP-MAS NMR) 13C CP-MAS NMR combined with interval Partial Least Squares (iPLS) modeling. Thermal methods provided insight into decomposition pathways but showed reduced specificity at <1% w/w due to matrix interference. CP-MAS NMR offered matrix-independent quantification, with characteristic signals in the 10–45 ppm region and a calculated LOD and LOQ of 0.173% and 0.525% w/w, respectively. The LOQ lies within the reported ingestion range for T. molitor (0.8–3.2% w/w in frass), confirming biological relevance. This validated workflow establishes CP-MAS NMR as the most robust tool for quantifying polyethylene residues in complex matrices and provides a foundation for in vivo biodegradation studies and environmental monitoring. Full article
Show Figures

Figure 1

17 pages, 8633 KB  
Article
Microstructural Evolution and Tensile Deformation Behavior of FeCoNiCrTi0.2 High-Entropy Alloys Regulated by Cold Rolling and Annealing
by Peng Zhang, Dehao Liu, Linfu Zhang, Kang Liu, Jie Zhang, Yuxiao Si, Gang Chen and Qiang Zhu
Metals 2025, 15(9), 1037; https://doi.org/10.3390/met15091037 - 19 Sep 2025
Viewed by 323
Abstract
Novel structural materials, high-entropy alloys (HEAs), have attracted considerable interest owing to their tunable microstructural designs and adjustable mechanical properties. In the present work, the microstructural evolution and tensile deformation behavior of FeCoNiCrTi0.2 HEA are comprehensively examined through cold rolling (with 80% [...] Read more.
Novel structural materials, high-entropy alloys (HEAs), have attracted considerable interest owing to their tunable microstructural designs and adjustable mechanical properties. In the present work, the microstructural evolution and tensile deformation behavior of FeCoNiCrTi0.2 HEA are comprehensively examined through cold rolling (with 80% thickness reduction) followed by annealing, combined with multiscale characterization techniques (EBSD/TEM) and mechanical tests. The results reveal that the as-rolled microstructure was characterized by the presence of strong Brass, Goss/Brass, and S textures, along with the formation of high-density dislocation walls (DDWs) and dislocation cells (DCs). As the annealing temperature increased, recrystallized grains preferentially nucleated at grain boundaries with higher stress concentrations and dislocation densities. The grain size decreased from 120.33 μm in the as-rolled state to 10.26 μm after annealing at 1000 °C. Low-angle grain boundaries (LAGBs) progressively transformed into high-angle grain boundaries (HAGBs), while the fraction of Σ3 twin boundaries initially decreased and subsequently increased, reaching a maximum of 43.7% after annealing at 1000 °C. At annealing temperatures exceeding 800 °C, deformed grains became equiaxed, with partial retention of primary texture components observed. After annealing at 1000 °C, the yield strength and tensile strength decreased compared to the as-rolled state, while the elongation significantly increased from 17.2% to 69.8% Simultaneously, the yield ratio decreased by 53%, and the strain-hardening capacity was enhanced. Ultimately, a constitutive model integrating the influences of dislocation mean free path and twin boundary obstruction was developed, providing microscopic explanations for the inverse relationship between strength and recrystallization fraction. Full article
(This article belongs to the Special Issue Sheet Metal Forming Processes)
Show Figures

Figure 1

15 pages, 1517 KB  
Article
A Multicenter Experience of the Treatment of Type Di Tympanojugular Paragangliomas: Total vs. Partial Resection and Residue Management
by Daniele Marchioni, Nicola Bisi, Mohamed Badr-El-Dine, George Wanna, Zachary G. Schwam, Mohamed Fawzy Fathalla and Alessia Rubini
J. Clin. Med. 2025, 14(18), 6579; https://doi.org/10.3390/jcm14186579 - 18 Sep 2025
Viewed by 454
Abstract
Introduction: Tympanojugular paragangliomas (TJ-PGs) showing intradural growth into the cerebellopontine angle (Fisch classification Di) represent a surgical challenge, with their proper surgical management still under debate. Methods: This is an international multicenter retrospective review of patients with Di TJ-PGs who underwent [...] Read more.
Introduction: Tympanojugular paragangliomas (TJ-PGs) showing intradural growth into the cerebellopontine angle (Fisch classification Di) represent a surgical challenge, with their proper surgical management still under debate. Methods: This is an international multicenter retrospective review of patients with Di TJ-PGs who underwent surgery in three high-volume skull base surgery centers. We aimed to establish practice patterns for treating Di TJ-PGs, namely the surgical approach, total versus partial resection, and whether a staged procedure was needed. We also examined the status of the facial and lower cranial nerves (LCNs), postoperative complications, and residue management after partial resection. Results: Thirty-two patients were included in this study with an average follow-up of 66 months. Preoperative angiography with selective embolization was performed in all patients, and a type A infratemporal fossa approach was the most common surgical technique. Total resection was achieved in 16 cases. A single-stage procedure was performed in 26 patients and a staged procedure in 6. CSF leakage in the neck was the main reported complication. Most patients had an HB I-II-grade facial nerve at the last follow-up, and three patients experienced worsened lower cranial neuropathies. In 16 patients residual disease was present after surgery and was managed with either radiotherapy or observation. Conclusions: Di TJ-PGs pose a complex treatment challenge for which clear-cut management recommendations have not been established. Surgical resection, when indicated, may be total, the preferred option in young healthy candidates, or partial, mainly employed in elderly or high-risk patients, always considering the tumor’s relationship to critical structures. When residual tumor is present, both radiological surveillance and adjuvant radiotherapy can be effective strategies. Full article
(This article belongs to the Special Issue Current Challenges and Advancements in Lateral Skull Base Surgery)
Show Figures

Figure 1

30 pages, 2061 KB  
Article
A Feature-Aware Elite Imitation MARL for Multi-UAV Trajectory Optimization in Mountain Terrain Detection
by Quanxi Zhou, Ye Tao, Qianxiao Su and Manabu Tsukada
Drones 2025, 9(9), 645; https://doi.org/10.3390/drones9090645 - 15 Sep 2025
Viewed by 706
Abstract
With the advancement of UAV trajectory planning and sensing technologies, unmanned aerial vehicles (UAVs) are now capable of performing high-performance ground detection and search tasks. Mountainous regions, due to their complex terrain, have long been a focal point in the field of remote [...] Read more.
With the advancement of UAV trajectory planning and sensing technologies, unmanned aerial vehicles (UAVs) are now capable of performing high-performance ground detection and search tasks. Mountainous regions, due to their complex terrain, have long been a focal point in the field of remote sensing. Effective UAV search tasks in such areas must consider not only horizontal coverage but also variations in detection range and angle caused by changes in elevation. Conventional algorithms typically require complete prior knowledge of the environment for trajectory optimization and often depend on scenario-specific policy models, limiting their generalizability. To address these challenges, this paper proposes a Feature-Aware Elite Imitation Multi-Agent Reinforcement Learning (FA-EIMARL) algorithm that leverages partial terrain information to construct a feature extraction network. This approach enables batch training across diverse terrains without the need for full environmental maps. In addition, an elite imitation mechanism has been proposed for convergence acceleration and task performance enhancement. Simulation results demonstrate that the proposed method achieves superior reward performance, convergence rate, and computational efficiency while maintaining strong adaptability to varying terrains. Full article
Show Figures

Figure 1

Back to TopTop