Sign in to use this feature.

Years

Between: -

Subjects

remove_circle_outline
remove_circle_outline
remove_circle_outline

Journals

Article Types

Countries / Regions

Search Results (10)

Search Parameters:
Keywords = out-of-step protection

Order results
Result details
Results per page
Select all
Export citation of selected articles as:
23 pages, 8470 KB  
Article
Improved Control Technique for Enhancing Power System Stability in Out-of-Step Conditions
by Nande Fose, Senthil Krishnamurthy and Prathaban Moodley
Energies 2024, 17(16), 4086; https://doi.org/10.3390/en17164086 - 16 Aug 2024
Cited by 1 | Viewed by 1956
Abstract
From time to time, a series of unpredictable and conflicting contingencies can lead to angular instability of the power system and even blackouts if not adequately handled by an out-of-step (OOS) protection system. The key contribution of this research work, to the theory [...] Read more.
From time to time, a series of unpredictable and conflicting contingencies can lead to angular instability of the power system and even blackouts if not adequately handled by an out-of-step (OOS) protection system. The key contribution of this research work, to the theory of out-of-step protection, is the identification and isolation after a given disruption of many unstable swings. This paper presents a proposed method to avoid false operation for distance function by out-of-step blocking to improve the system stability by using optimally placed PMUs for the fast detection of system analogue quantities. The studies were performed on a modified Eskom transmission network in the Western Cape with 765 kV and 400 kV voltage levels. The aim is to investigate the IEC 61850-90-5 standard for predictive dynamic stability maintaining systems using PMUs for out-of-step conditions of synchronous generators. The power system modelling and simulation are performed in the RSCAD-FX for the proposed multi-area power system network. An experimental lab-scale implementation is built to test the proposed out-of-step algorithm in a real-time digital simulator. Software-based PMU is incorporated to test and validate the IEC 61850-90-5 standard sampled values. Simulation and experimental results are presented. Full article
(This article belongs to the Topic Power System Protection)
Show Figures

Figure 1

16 pages, 4551 KB  
Article
Machine Learning Classifier for Supporting Generator’s Impedance-Based Relay Protection Functions
by Petar Sarajcev and Dino Lovric
Energies 2024, 17(8), 1820; https://doi.org/10.3390/en17081820 - 10 Apr 2024
Cited by 2 | Viewed by 1589
Abstract
Transient stability of the electric power system still heavily rests on a timely and correct operation of the relay protection of individual power generators. Power swings and generator pole slips, following network short-circuit events, can initiate false relay activations, with negative repercussions for [...] Read more.
Transient stability of the electric power system still heavily rests on a timely and correct operation of the relay protection of individual power generators. Power swings and generator pole slips, following network short-circuit events, can initiate false relay activations, with negative repercussions for the overall system stability. This paper will examine the generator’s underimpedance (21G) and out-of-step (78) protection functions and will propose a machine learning based classifier for supporting and reinforcing their decision-making logic. The classifier, based on a support vector machine, will aid in blocking the underimpedance protection during stable generator swings. It will also enable faster tripping of the out-of-step protection for unstable generator swings. Both protection functions will feature polygonal protection characteristics. Their implementation will be based on European practice and IEC standards. Classifier will be trained and tested on the data derived from simulations of the IEEE New England 10-generator benchmark power system. Full article
Show Figures

Figure 1

21 pages, 2599 KB  
Article
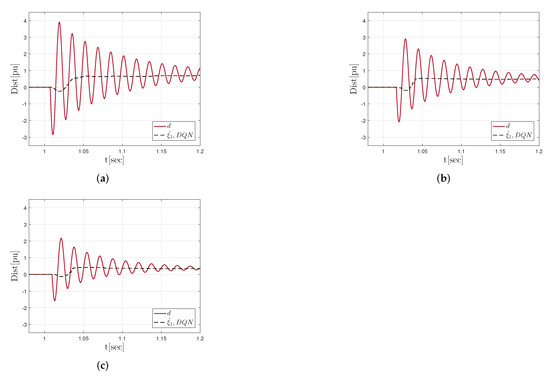
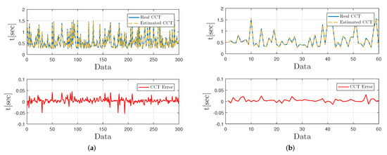
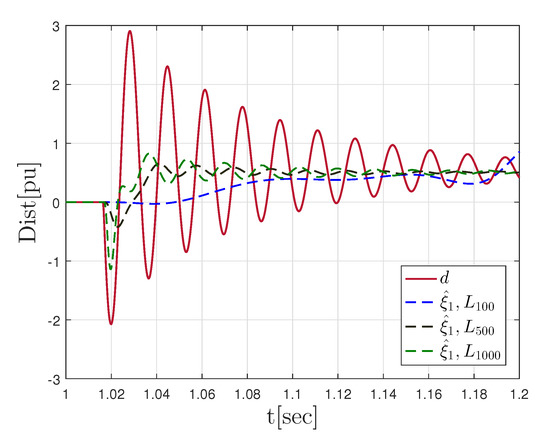
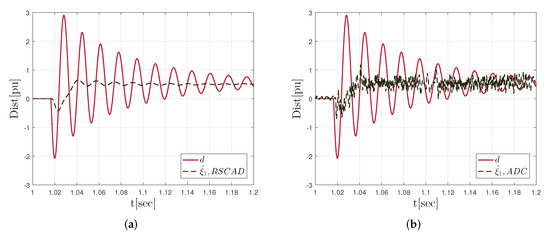
Out-of-Step Prediction Using DQN-Based Disturbance Observer and Its RTDS Verification
by Sun Jick Yang, Nebiyeleul Daniel Amare, Jun Woo Kim and Young Ik Son
Energies 2022, 15(7), 2652; https://doi.org/10.3390/en15072652 - 5 Apr 2022
Cited by 1 | Viewed by 2103
Abstract
Despite having extensive research dedicated towards designing methodologies for synchronous out-of-step detection, the risk posed by a large-scale power blackout still makes power system protection an active research area. In recent decades, multiple out-of-step detection techniques such as impedance-based relays and equal-area criterion-analysis-based [...] Read more.
Despite having extensive research dedicated towards designing methodologies for synchronous out-of-step detection, the risk posed by a large-scale power blackout still makes power system protection an active research area. In recent decades, multiple out-of-step detection techniques such as impedance-based relays and equal-area criterion-analysis-based methods have been widely adopted. However, these conventional techniques have been known to suffer from drawbacks that may be attributed to the inherent assumptions of their foundational design principles. Therefore, to alleviate some of the problems faced in the currently adopted techniques, researchers have been studying the implementation of estimation algorithms for synchronous out-of-step detection. Aiming to contribute to this research area, this paper proposes a synchronous out-of-step detection algorithm that uses a deep Q-network-based disturbance observer, robust to measurement noise. Using the disturbance estimation provided by the observer and a separately gathered critical clearing time data of the power grid, a neural network is trained to relate the magnitude of the estimation with the critical clearing time. The trained neural network is then used to provide an estimation of the critical clearing time for the algorithm, which uses the information to predict whether a fault will result in a stable power swing or a synchronous out-of-step detection. The performance of the proposed algorithm is verified through a real-time digital-simulator-based hardware-in-the-loop simulation. The results show that the proposed algorithm can detect synchronous out-of-step prediction by estimating the disturbance resulting from line fault within two cycles and predicting the critical clearing time at sample fault locations within a 3% margin of error. Full article
(This article belongs to the Section F1: Electrical Power System)
Show Figures

Figure 1

35 pages, 75427 KB  
Article
Setting and Testing of the Out-of-Step Protection at Mongolian Transmission System
by Francisco Gonzalez-Longatt, Choidorj Adiyabazar and Ernesto Vazquez Martinez
Energies 2021, 14(23), 8170; https://doi.org/10.3390/en14238170 - 6 Dec 2021
Cited by 9 | Viewed by 5389
Abstract
Modern distance relays have integrated numerous protection functions, including power-swing blocking and out-of-step or pole-slip tripping functions. The main purpose of the power-swing blocking function is to differentiate faults from power swings and block distance or other relay elements from operating during stable [...] Read more.
Modern distance relays have integrated numerous protection functions, including power-swing blocking and out-of-step or pole-slip tripping functions. The main purpose of the power-swing blocking function is to differentiate faults from power swings and block distance or other relay elements from operating during stable or unstable power swings. Most power-swing blocking elements are based on traditional methods that monitor the positive sequence impedance rate. The required settings for the power-swing blocking elements could be difficult to calculate in many applications, particularly those where fast swings can be expected. For these cases, extensive stability studies are necessary to determine the fastest rate of possible power swings. This paper presents a detailed step-by-step method for settings calculation of out-of-step (OOS) protection, both blocking and tripping functions considering a generic two-source system. Then the method is applied to define the protection relay settings installed at the interconnection between the Russian and Mongolian power systems, as it is crucial to feed the demand-rich Mongolian power system. In this paper, a specific impedance method is used for defining the OOS protection settings. This paper innovates by testing the settings using the recordings of the major events of 15 September 2018 in two approaches: hybrid co-simulation and cyber-physical. Both tests have demonstrated the appropriate performance of the proposed settings and proving the proposed methodology works appropriately. Full article
Show Figures

Figure 1

17 pages, 3842 KB  
Article
Consideration of Distinguishing Design Features of Gas-Turbine and Gas-Reciprocating Units in Design of Emergency Control Systems
by Pavel Ilyushin, Aleksandr Kulikov, Konstantin Suslov and Sergey Filippov
Machines 2021, 9(3), 47; https://doi.org/10.3390/machines9030047 - 24 Feb 2021
Cited by 32 | Viewed by 3910
Abstract
Modern gas-turbine units (GTUs) and gas-reciprocating units (GRUs) have found a wide use at power plants, including distributed generation facilities, running on gaseous fuel. The design features of these generating units have a considerable effect on the nature and parameters of transient processes [...] Read more.
Modern gas-turbine units (GTUs) and gas-reciprocating units (GRUs) have found a wide use at power plants, including distributed generation facilities, running on gaseous fuel. The design features of these generating units have a considerable effect on the nature and parameters of transient processes due to emergency disturbances in the adjacent network. The study shows that single-shaft gas-turbine and gas-reciprocating units do not allow even short-term considerable frequency drops. These schemes and operating conditions arise due to emergency active power shortages when the connection between the power plant and the power system weakens due to repair conditions or islanded operation. The paper presents the results of transient process calculations for operating power plants (distributed generation facilities), which make it possible to identify the unfavorable properties of GTUs and GRUs. The results show that two-shaft (three-shaft) GTUs and GRUs can switch to out-of-step conditions even when short-circuits in the adjacent network are cleared with high-speed relay protection devices. The features of out-of-step conditions and the admissibility of their short-term duration for the spontaneous restoration of generators’ synchronization are considered. The findings suggest that considering the fundamental design features of generating units provides informed technical decisions on equipping power plants (distributed generation (DG) facilities) and the adjacent network with efficient emergency control systems. Full article
(This article belongs to the Special Issue Mechatronic System for Automatic Control)
Show Figures

Figure 1

15 pages, 4424 KB  
Article
A Study on the Out-of-Step Detection Algorithm Using Time Variation of Complex Power-Part II: Out-of-Step Detection Algorithm and Simulation Results
by You-Jin Lee, O-Sang Kwon, Jeong-Yong Heo and Chul-Hwan Kim
Energies 2020, 13(7), 1833; https://doi.org/10.3390/en13071833 - 10 Apr 2020
Cited by 3 | Viewed by 2983
Abstract
One of the established unstable power swing (out-of-step) detection algorithms in micro grid/smart grid power systems uses a trajectory of apparent impedance in the R-X plane. However, this algorithm is not suitable for fast out-of-step conditions and it is hard to detect out-of-step [...] Read more.
One of the established unstable power swing (out-of-step) detection algorithms in micro grid/smart grid power systems uses a trajectory of apparent impedance in the R-X plane. However, this algorithm is not suitable for fast out-of-step conditions and it is hard to detect out-of-step conditions exactly. Another algorithm for out-of-step detection is using phasor measurement units (PMUs). However, PMUs need extra equipment. This paper presents the out-of-step detection algorithm using the trajectory of complex power. The trajectory of complex power and generator mechanical power is used to identify out-of-step conditions. A second order low pass digital filter is used to extract the generator mechanical power from the complex power. Variations of complex power are used to identify equilibrium points between stable and unstable conditions. The proposed out-of-step algorithm is based on the modification of assessment of a transient stability using equal area criterion (EAC). The proposed out-of-step algorithm is verified and tested by using alternative transient program/electromagnetic transient program (ATP/EMTP) MODELS. Full article
(This article belongs to the Special Issue Micro Grid Protection)
Show Figures

Graphical abstract

21 pages, 6637 KB  
Article
Algorithm for Fast and Efficient Detection and Reaction to Angle Instability Conditions Using Phasor Measurement Unit Data
by Igor Ivanković, Igor Kuzle and Ninoslav Holjevac
Energies 2018, 11(3), 681; https://doi.org/10.3390/en11030681 - 17 Mar 2018
Cited by 13 | Viewed by 5453
Abstract
In wide area monitoring, protection, and control (WAMPAC) systems, angle stability of transmission network is monitored using data from phasor measurement units (PMU) placed on transmission lines. Based on this PMU data stream advanced algorithm for out-of-step condition detection and early warning issuing [...] Read more.
In wide area monitoring, protection, and control (WAMPAC) systems, angle stability of transmission network is monitored using data from phasor measurement units (PMU) placed on transmission lines. Based on this PMU data stream advanced algorithm for out-of-step condition detection and early warning issuing is developed. The algorithm based on theoretical background described in this paper is backed up by the data and results from corresponding simulations done in Matlab environment. Presented results aim to provide the insights of the potential benefits, such as fast and efficient detection and reaction to angle instability, this algorithm can have on the improvement of the power system protection. Accordingly, suggestion is given how the developed algorithm can be implemented in protection segments of the WAMPAC systems in the transmission system operator control centers. Full article
Show Figures

Figure 1

19 pages, 1475 KB  
Article
Active Splitting in Longitudinal Power Systems based on a WAMPC
by Felipe Arraño-Vargas, Claudia Rahmann, Felipe Valencia and Luis Vargas
Energies 2018, 11(1), 51; https://doi.org/10.3390/en11010051 - 27 Dec 2017
Cited by 6 | Viewed by 4283
Abstract
This paper proposes an active splitting scheme especially suitable for longitudinal power systems (LPS). The proposed scheme is based on a modified out-of-step (OOS) algorithm combined with an angle difference method using synchrophasor measurements. The remedial actions are based on the detection of [...] Read more.
This paper proposes an active splitting scheme especially suitable for longitudinal power systems (LPS). The proposed scheme is based on a modified out-of-step (OOS) algorithm combined with an angle difference method using synchrophasor measurements. The remedial actions are based on the detection of possible loss of synchronism due to severe disturbances. The scheme was tested on a detailed dynamic model of the Central Interconnected System of Chile, a good example of extreme LPS. Obtained results show that remedial actions taken by the proposed protection scheme are able to avoid the total collapse of the system during critical contingencies. Full article
(This article belongs to the Section F: Electrical Engineering)
Show Figures

Figure 1

28 pages, 8526 KB  
Article
Wide Area Information-Based Transmission System Centralized Out-of-Step Protection Scheme
by Igor Ivanković, Igor Kuzle and Ninoslav Holjevac
Energies 2017, 10(5), 633; https://doi.org/10.3390/en10050633 - 5 May 2017
Cited by 14 | Viewed by 5754
Abstract
A wide area monitoring system (WAMS) with reliable telecommunication infrastructure can be expanded and enhanced with additional protection and control functionalities using synchronized phasor data measurements. With that aim, we have developed a multifunctional line protection (MFLP) model with both system and back-up [...] Read more.
A wide area monitoring system (WAMS) with reliable telecommunication infrastructure can be expanded and enhanced with additional protection and control functionalities using synchronized phasor data measurements. With that aim, we have developed a multifunctional line protection (MFLP) model with both system and back-up protection functions. Theoretical premises based on transmission and relay protection system knowledge, together with the experience gathered from the operation of existing wide area systems, were used to develop the proposed model. Four main groups of simulation scenarios were defined in order to test the newly implemented functions. The results of the simulation process confirm the assumptions underlying the design of our MFLP module. Simulation results are then used for definition of the protection criteria required for implementation of the wide area protection algorithm in a control center. Conclusions drawn from the protection responses of the proposed algorithm that strengthen the algorithm design process are elaborated in the paper. The main contribution of the paper is the design and development of a centralized MFLP algorithm based on synchronized phasor data that is able to issue a trip command to a circuit breaker before an out-of-step condition occurs. Full article
Show Figures

Figure 1

16 pages, 2286 KB  
Article
Angle Control-Based Multi-Terminal Out-of-Step Protection System
by Antans Sauhats, Andrejs Utans, Dmitrijs Antonovs and Andrejs Svalovs
Energies 2017, 10(3), 308; https://doi.org/10.3390/en10030308 - 4 Mar 2017
Cited by 16 | Viewed by 4125
Abstract
From time to time a sequence of unexpected and overlapping contingencies may lead to power system angular instability and even blackouts if not addressed adequately by means of an out-of-step (OOS) protection system. The motivation of the paper is an attempt to develop [...] Read more.
From time to time a sequence of unexpected and overlapping contingencies may lead to power system angular instability and even blackouts if not addressed adequately by means of an out-of-step (OOS) protection system. The motivation of the paper is an attempt to develop a workable prototype of the OOS protection system. The deficiencies of the protection currently used in the Latvian Power System network are highlighted and a new protection structure is proposed. The protection system comprises of several strategically located terminals, exchanging information in real time by means of a communication network. The OOS condition detection method is based on system-wide generation sources, electromotive forces, vectors, and angle control. The network splitting decision is based on generator coherence evaluation. Protection terminals determine online the groups of coherent generators and choose the splitting boundary from a predefined transmission lines (TLs) cut sets list. The protection system structure, algorithm of operation, and possible IEC 61850 communication standard-based implementation are described. Full article
(This article belongs to the Section F: Electrical Engineering)
Show Figures

Figure 1

Back to TopTop