Sign in to use this feature.

Years

Between: -

Subjects

remove_circle_outline
remove_circle_outline
remove_circle_outline
remove_circle_outline
remove_circle_outline
remove_circle_outline
remove_circle_outline

Journals

Article Types

Countries / Regions

Search Results (12)

Search Parameters:
Keywords = normal spike shape

Order results
Result details
Results per page
Select all
Export citation of selected articles as:
30 pages, 5508 KB  
Article
Phase-Aware Complex-Spectrogram Autoencoder for Vibration Preprocessing: Fault-Component Separation via Input-Phasor Orthogonality Regularization
by Seung-yeol Yoo, Ye-na Lee, Jae-chul Lee, Se-yun Hwang, Jae-yun Lee and Soon-sup Lee
Machines 2025, 13(10), 945; https://doi.org/10.3390/machines13100945 - 13 Oct 2025
Viewed by 713
Abstract
We propose a phase-aware complex-spectrogram autoencoder (AE) for preprocessing raw vibration signals of rotating electrical machines. The AE reconstructs normal components and separates fault components as residuals, guided by an input-phasor phase-orthogonality regularization that defines parallel/orthogonal residuals with respect to the local signal [...] Read more.
We propose a phase-aware complex-spectrogram autoencoder (AE) for preprocessing raw vibration signals of rotating electrical machines. The AE reconstructs normal components and separates fault components as residuals, guided by an input-phasor phase-orthogonality regularization that defines parallel/orthogonal residuals with respect to the local signal phase. We use a U-Net-based AE with a mask-bias head to refine local magnitude and phase. Decisions are based on residual features—magnitude/shape, frequency distribution, and projections onto the normal manifold. Using the AI Hub open dataset from field ventilation motors, we evaluate eight representative motor cases (2.2–5.5 kW: misalignment, unbalance, bearing fault, belt looseness). The preprocessing yielded clear residual patterns (low-frequency floor rise, resonance-band peaks, harmonic-neighbor spikes), and achieved an area under the receiver operating characteristic curve (ROC-AUC) = 0.998–1.000 across eight cases, with strong leave-one-file-out generalization and good calibration (expected calibration error (ECE) ≤ 0.023). The results indicate that learning to remove normal structure while enforcing phase consistency provides an unsupervised front-end that enhances fault evidence while preserving interpretability on field data. Full article
(This article belongs to the Section Machines Testing and Maintenance)
Show Figures

Figure 1

21 pages, 4948 KB  
Article
Evaluation of the Spike Diversity of Seven Hexaploid Wheat Species and an Artificial Amphidiploid Using a Quadrangle Model Obtained from 2D Images
by Evgenii G. Komyshev, Mikhail A. Genaev, Yuliya V. Kruchinina, Vasily S. Koval, Nikolay P. Goncharov and Dmitry A. Afonnikov
Plants 2024, 13(19), 2736; https://doi.org/10.3390/plants13192736 - 30 Sep 2024
Viewed by 1304
Abstract
The spike shape and morphometric characteristics are among the key characteristics of cultivated cereals, being associated with their productivity. These traits are often used for the plant taxonomy and authenticity of hexaploid wheat species. Manual measurement of spike characteristics is tedious and not [...] Read more.
The spike shape and morphometric characteristics are among the key characteristics of cultivated cereals, being associated with their productivity. These traits are often used for the plant taxonomy and authenticity of hexaploid wheat species. Manual measurement of spike characteristics is tedious and not precise. Recently, the authors of this study developed a method for wheat spike morphometry utilizing 2D image analysis. Here, this method is applied to study variations in spike size and shape for 190 plants of seven hexaploid (2n = 6x = 42) species and one artificial amphidiploid of wheat. Five manually estimated spike traits and 26 traits obtained from digital image analysis were analyzed. Image-based traits describe the characteristics of the base, center and apex of the spike and common parameters (circularity, roundness, perimeter, etc.). Estimates of similar traits by manual measurement and image analysis were shown to be highly correlated, suggesting the practical importance of digital spike phenotyping. The utility of spike traits for classification into types (spelt, normal and compact) and species or amphidiploid is shown. It is also demonstrated that the estimates obtained made it possible to identify the spike characteristics differing significantly between species or between accessions within the same species. The present work suggests the usefulness of wheat spike shape analysis using an approach based on characteristics obtained by digital image analysis. Full article
(This article belongs to the Special Issue Genetic and Biological Diversity of Plants)
Show Figures

Figure 1

25 pages, 3788 KB  
Article
A Comprehensive Exploration of Unsupervised Classification in Spike Sorting: A Case Study on Macaque Monkey and Human Pancreatic Signals
by Francisco Javier Iñiguez-Lomeli, Edgar Eliseo Franco-Ortiz, Ana Maria Silvia Gonzalez-Acosta, Andres Amador Garcia-Granada and Horacio Rostro-Gonzalez
Algorithms 2024, 17(6), 235; https://doi.org/10.3390/a17060235 - 30 May 2024
Cited by 2 | Viewed by 1356
Abstract
Spike sorting, an indispensable process in the analysis of neural biosignals, aims to segregate individual action potentials from mixed recordings. This study delves into a comprehensive investigation of diverse unsupervised classification algorithms, some of which, to the best of our knowledge, have not [...] Read more.
Spike sorting, an indispensable process in the analysis of neural biosignals, aims to segregate individual action potentials from mixed recordings. This study delves into a comprehensive investigation of diverse unsupervised classification algorithms, some of which, to the best of our knowledge, have not previously been used for spike sorting. The methods encompass Principal Component Analysis (PCA), K-means, Self-Organizing Maps (SOMs), and hierarchical clustering. The research draws insights from both macaque monkey and human pancreatic signals, providing a holistic evaluation across species. Our research has focused on the utilization of the aforementioned methods for the sorting of 327 detected spikes within an in vivo signal of a macaque monkey, as well as 386 detected spikes within an in vitro signal of a human pancreas. This classification process was carried out by extracting statistical features from these spikes. We initiated our analysis with K-means, employing both unmodified and normalized versions of the features. To enhance the performance of this algorithm, we also employed Principal Component Analysis (PCA) to reduce the dimensionality of the data, thereby leading to more distinct groupings as identified by the K-means algorithm. Furthermore, two additional techniques, namely hierarchical clustering and Self-Organizing Maps, have also undergone exploration and have demonstrated favorable outcomes for both signal types. Across all scenarios, a consistent observation emerged: the identification of six distinctive groups of spikes, each characterized by distinct shapes, within both signal sets. In this regard, we meticulously present and thoroughly analyze the experimental outcomes yielded by each of the employed algorithms. This comprehensive presentation and discussion encapsulate the nuances, patterns, and insights uncovered by these algorithms across our data. By delving into the specifics of these results, we aim to provide a nuanced understanding of the efficacy and performance of each algorithm in the context of spike sorting. Full article
(This article belongs to the Special Issue Supervised and Unsupervised Classification Algorithms (2nd Edition))
Show Figures

Figure 1

15 pages, 1470 KB  
Review
Approaching Electroencephalographic Pathological Spikes in Terms of Solitons
by Arturo Tozzi
Signals 2024, 5(2), 281-295; https://doi.org/10.3390/signals5020015 - 1 May 2024
Cited by 1 | Viewed by 2502
Abstract
A delicate balance between dissipative and nonlinear forces allows traveling waves termed solitons to preserve their shape and energy for long distances without steepening and flattening out. Solitons are so widespread that they can generate both destructive waves on oceans’ surfaces and noise-free [...] Read more.
A delicate balance between dissipative and nonlinear forces allows traveling waves termed solitons to preserve their shape and energy for long distances without steepening and flattening out. Solitons are so widespread that they can generate both destructive waves on oceans’ surfaces and noise-free message propagation in silica optic fibers. They are naturally observed or artificially produced in countless physical systems at very different coarse-grained scales, from solar winds to Bose–Einstein condensates. We hypothesize that some of the electric oscillations detectable by scalp electroencephalography (EEG) could be assessed in terms of solitons. A nervous spike must fulfill strict mathematical and physical requirements to be termed a soliton. They include the proper physical parameters like wave height, horizontal distance and unchanging shape; the appropriate nonlinear wave equations’ solutions and the correct superposition between sinusoidal and non-sinusoidal waves. After a thorough analytical comparison with the EEG traces available in the literature, we argue that solitons bear striking similarities with the electric activity recorded from medical conditions like epilepsies and encephalopathies. Emerging from the noisy background of the normal electric activity, high-amplitude, low-frequency EEG soliton-like pathological waves with relatively uniform morphology and duration can be observed, characterized by repeated, stereotyped patterns propagating on the hemispheric surface of the brain over relatively large distances. Apart from the implications for the study of cognitive activities in the healthy brain, the theoretical possibility to treat pathological brain oscillations in terms of solitons has powerful operational implications, suggesting new therapeutical options to counteract their detrimental effects. Full article
(This article belongs to the Special Issue Advancing Signal Processing and Analytics of EEG Signals)
Show Figures

Figure 1

12 pages, 2297 KB  
Article
Verification of Characteristics of Spline Filter Series Robust Filters for Surface Roughness and Proposal of Filter Selection Guidelines
by Yuki Kondo, Ichiro Yoshida, Munetoshi Numada, Hiroyasu Koshimizu, Ryo Saito and Kaito Fujiyoshi
Appl. Sci. 2023, 13(6), 3390; https://doi.org/10.3390/app13063390 - 7 Mar 2023
Cited by 2 | Viewed by 2248
Abstract
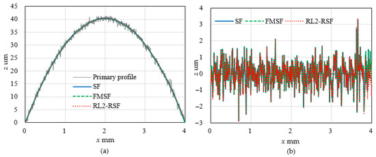
In surface roughness measurements, the presence of spikes in the primary profile can disable a normal filter from extracting the shape and waviness components. The robust spline filter (RSF) has been proposed to solve this problem. However, because ISO 16610-32, an RSF standard, [...] Read more.
In surface roughness measurements, the presence of spikes in the primary profile can disable a normal filter from extracting the shape and waviness components. The robust spline filter (RSF) has been proposed to solve this problem. However, because ISO 16610-32, an RSF standard, has a significant deficiency, it was withdrawn in the Technical Specifications stage. The other proposed RSFs only show the method and a few examples with normal roughness and spike. Therefore, because the characteristics of each RSF have not been clarified, which RSF should be used for which primary profiles is not clear. This is one of the reasons for the delay in establishing ISO. In addition, the measurement sites need the establishment of robust spline filter selection guidelines. Therefore, in this paper, the characteristics of RSFs are clarified. Additionally, the points to be considered in using RSFs are summarized. Finally, the filter that should be selected for the specific application is identified. These results are expected to contribute to the widespread use of RSFs in the industrial world, avoid confusion at the measurement site, and help establish a new RSF standard. Full article
(This article belongs to the Section Surface Sciences and Technology)
Show Figures

Figure 1

22 pages, 14708 KB  
Article
Effects of Aeroelastic Walls on the Aeroacoustics in Transonic Cavity Flow
by Stefan Nilsson, Hua-Dong Yao, Anders Karlsson and Sebastian Arvidson
Aerospace 2022, 9(11), 716; https://doi.org/10.3390/aerospace9110716 - 14 Nov 2022
Cited by 5 | Viewed by 3614
Abstract
The effects of elastic cavity walls on noise generation at transonic speed are investigated for the generic M219 cavity. The flow is simulated with the Spalart–Allmaras (SA) improved delayed detached-eddy simulation (IDDES) turbulence model in combination with a wall function. The structural analysis [...] Read more.
The effects of elastic cavity walls on noise generation at transonic speed are investigated for the generic M219 cavity. The flow is simulated with the Spalart–Allmaras (SA) improved delayed detached-eddy simulation (IDDES) turbulence model in combination with a wall function. The structural analysis software uses a modal formulation. The first 50 structural normal mode shapes are included in the simulation, spanning frequencies of 468–2280 Hz. Results are compared with those from a reference simulation with rigid cavity walls. A spectral analysis of pressure fluctuations from a microphone array above the cavity evinces a distinct tone at 816 Hz, which is absent in the reference simulation. Furthermore, the power of the 4th Rossiter mode at 852 Hz is depleted, implying a significant energy transfer from the fluid to the structure. Spectral proper orthogonal decomposition (SPOD) is employed for analyses of cavity wall pressure fluctuations and wall displacements. The SPOD mode energy spectra show results consistent with the spectra of the microphone array with respect to the tone at 816 Hz and the depletion of the energy at the 4th Rossiter mode. Furthermore, the SPOD mode energy spectra show energy spikes at additional frequencies, which coincide with structural eigenfrequencies. Full article
(This article belongs to the Special Issue Aeroacoustics and Noise Mitigation)
Show Figures

Figure 1

13 pages, 9495 KB  
Article
Comparative Analysis of Canopy Cooling in Wheat under High Temperature and Drought Stress
by Vidisha Thakur, Jagadish Rane and Amol N. Nankar
Agronomy 2022, 12(4), 978; https://doi.org/10.3390/agronomy12040978 - 18 Apr 2022
Cited by 18 | Viewed by 4951
Abstract
The size and the weight of wheat grains vary across the length of each spike (Triticum aestivum L.). High temperature and water scarcity often reduce the single grain weight, and this reduction also varies across the spike length. Plants tend to cope [...] Read more.
The size and the weight of wheat grains vary across the length of each spike (Triticum aestivum L.). High temperature and water scarcity often reduce the single grain weight, and this reduction also varies across the spike length. Plants tend to cope with high temperature and drought stress through inherent mechanisms such ascanopy cooling through transpiration, which can contribute to yield stability. The effect of canopy cooling on the average grain weight at different positions in spike is still unknown. In this study, we planned to assess the role of canopy temperature, yield-related traits, and spike shape in final grain weight. For two years (2017–2018 and 2018–2019), fifteen diverse genotypes released for cultivation in different environmental conditions were grown in the field. They were examined for canopy temperature, spikelets spike−1, grain number spike−1, grain yield spike−1, and grain weight of the spike’s basal, median, and distal regions. The Pearson correlation coefficient (r) was obtained for all pair-wise combinations of traits under different treatments and spike shapes. The results indicated that cooler canopy is correlated to grain weight in normal spike shape at all three positions within the spike irrespective of stress. The advantage of the cooler canopy in improving grain-filling at basal, median, and distal regions was more conspicuous in the high temperature stress conditions compared to non-stressed and drought conditions. Full article
Show Figures

Figure 1

19 pages, 7622 KB  
Article
Cell Type-Specific Adhesion and Migration on Laser-Structured Opaque Surfaces
by Jörn Schaeske, Elena Fadeeva, Sabrina Schlie-Wolter, Andrea Deiwick, Boris N. Chichkov, Alexandra Ingendoh-Tsakmakidis, Meike Stiesch and Andreas Winkel
Int. J. Mol. Sci. 2020, 21(22), 8442; https://doi.org/10.3390/ijms21228442 - 10 Nov 2020
Cited by 5 | Viewed by 3591
Abstract
Cytocompatibility is essential for implant approval. However, initial in vitro screenings mainly include the quantity of adherent immortalized cells and cytotoxicity. Other vital parameters, such as cell migration and an in-depth understanding of the interaction between native tissue cells and implant surfaces, are [...] Read more.
Cytocompatibility is essential for implant approval. However, initial in vitro screenings mainly include the quantity of adherent immortalized cells and cytotoxicity. Other vital parameters, such as cell migration and an in-depth understanding of the interaction between native tissue cells and implant surfaces, are rarely considered. We investigated different laser-fabricated spike structures using primary and immortalized cell lines of fibroblasts and osteoblasts and included quantification of the cell area, aspect ratio, and focal adhesions. Furthermore, we examined the three-dimensional cell interactions with spike topographies and developed a tailored migration assay for long-term monitoring on opaque materials. While fibroblasts and osteoblasts on small spikes retained their normal morphology, cells on medium and large spikes sank into the structures, affecting the composition of the cytoskeleton and thereby changing cell shape. Up to 14 days, migration appeared stronger on small spikes, probably as a consequence of adequate focal adhesion formation and an intact cytoskeleton, whereas human primary cells revealed differences in comparison to immortalized cell lines. The use of primary cells, analysis of the cell–implant structure interaction as well as cell migration might strengthen the evaluation of cytocompatibility and thereby improve the validity regarding the putative in vivo performance of implant material. Full article
(This article belongs to the Special Issue Interactions of Cells with Biomaterials for Regenerative Medicine)
Show Figures

Figure 1

47 pages, 10927 KB  
Review
Chloroviruses
by James L. Van Etten, Irina V. Agarkova and David D. Dunigan
Viruses 2020, 12(1), 20; https://doi.org/10.3390/v12010020 - 23 Dec 2019
Cited by 60 | Viewed by 10926
Abstract
Chloroviruses are large dsDNA, plaque-forming viruses that infect certain chlorella-like green algae; the algae are normally mutualistic endosymbionts of protists and metazoans and are often referred to as zoochlorellae. The viruses are ubiquitous in inland aqueous environments throughout the world and occasionally single [...] Read more.
Chloroviruses are large dsDNA, plaque-forming viruses that infect certain chlorella-like green algae; the algae are normally mutualistic endosymbionts of protists and metazoans and are often referred to as zoochlorellae. The viruses are ubiquitous in inland aqueous environments throughout the world and occasionally single types reach titers of thousands of plaque-forming units per ml of native water. The viruses are icosahedral in shape with a spike structure located at one of the vertices. They contain an internal membrane that is required for infectivity. The viral genomes are 290 to 370 kb in size, which encode up to 16 tRNAs and 330 to ~415 proteins, including many not previously seen in viruses. Examples include genes encoding DNA restriction and modification enzymes, hyaluronan and chitin biosynthetic enzymes, polyamine biosynthetic enzymes, ion channel and transport proteins, and enzymes involved in the glycan synthesis of the virus major capsid glycoproteins. The proteins encoded by many of these viruses are often the smallest or among the smallest proteins of their class. Consequently, some of the viral proteins are the subject of intensive biochemical and structural investigation. Full article
(This article belongs to the Special Issue Viruses Ten-Year Anniversary)
Show Figures

Figure 1

22 pages, 3454 KB  
Article
Morphometry of the Wheat Spike by Analyzing 2D Images
by Mikhail A. Genaev, Evgenii G. Komyshev, Nikolai V. Smirnov, Yuliya V. Kruchinina, Nikolay P. Goncharov and Dmitry A. Afonnikov
Agronomy 2019, 9(7), 390; https://doi.org/10.3390/agronomy9070390 - 17 Jul 2019
Cited by 27 | Viewed by 9301
Abstract
Spike shape and morphometric characteristics are among the key characteristics of cultivated cereals associated with their productivity. Identification of the genes controlling these traits requires morphometric data at harvesting and analysis of numerous plants, which could be automatically done using technologies of digital [...] Read more.
Spike shape and morphometric characteristics are among the key characteristics of cultivated cereals associated with their productivity. Identification of the genes controlling these traits requires morphometric data at harvesting and analysis of numerous plants, which could be automatically done using technologies of digital image analysis. A method for wheat spike morphometry utilizing 2D image analysis is proposed. Digital images are acquired in two variants: a spike on a table (one projection) or fixed with a clip (four projections). The method identifies spike and awns in the image and estimates their quantitative characteristics (area in image, length, width, circularity, etc.). Section model, quadrilaterals, and radial model are proposed for describing spike shape. Parameters of these models are used to predict spike shape type (spelt, normal, or compact) by machine learning. The mean error in spike density prediction for the images in one projection is 4.61 (~18%) versus 3.33 (~13%) for the parameters obtained using four projections. Full article
Show Figures

Figure 1

31 pages, 2950 KB  
Article
Statistical Modeling of Phenotypic Plasticity under Abiotic Stress in Triticum durum L. and Triticum aestivum L. Genotypes
by Abdullah A. Jaradat
Agronomy 2018, 8(8), 139; https://doi.org/10.3390/agronomy8080139 - 4 Aug 2018
Cited by 6 | Viewed by 5269
Abstract
Future challenges to the role of durum and bread wheat in global food security will be shaped by their potential to produce larger yields and better nutritional quality, while increasingly adapting to multiple biotic and abiotic stresses in the view of global climate [...] Read more.
Future challenges to the role of durum and bread wheat in global food security will be shaped by their potential to produce larger yields and better nutritional quality, while increasingly adapting to multiple biotic and abiotic stresses in the view of global climate change. There is a dearth of information on comparative assessment of phenotypic plasticity in both wheat species under long-term multiple abiotic stresses. Phenotypic plasticities of two durum and bread wheat genotypes were assessed under increasing abiotic and edaphic stresses for six years. Combinations of normal and reduced length of growing season and population density, with or without rotation, generated increasing levels of competition for resources and impacted phenotypic plasticity of several plant and yield attributes, including protein and micronutrients contents. All the phenotypic plasticity (PPs) estimates, except for the C:N ratio in both genotypes and grain protein content in T. aestivum genotype, were impacted by abiotic stresses during the second stress phase (PS II) compared with the first (PS I); whereas, covariate effects were limited to a few PPs (e.g., biomass, population density, fertile tillers, grain yield, and grain protein content). Discrimination between factor levels decreased from abiotic phases > growth stages > stress treatments and provided selection criteria of trait combinations that can be positively resilient under abiotic stress (e.g., spike harvest and fertility indices combined with biomass and grain yield in both genotypes). Validation and confirmatory factor models and multiway cluster analyses revealed major differences in phenotypic plasticities between wheat genotypes that can be attributed to differences in ploidy level, length of domestication history, or constitutive differences in resources allocation. Discriminant analyses helped to identify genotypic differences or similarities in the level of trait decoupling in relation to the strength of their correlation and heritability estimates. This information is useful in targeted improvement of traits directly contributing to micronutrient densities, yield components, and yield. New wheat ideotype(s) can be designed for larger grain yield potential under abiotic stress by manipulating yield components that affect kernels m−2 (e.g., number of tillers, number of florets per spikelet, and eventually spike fertility and harvest indices) without impacting nutrient densities and kernel weight, thus raising harvest index beyond its current maximum. Full article
Show Figures

Figure 1

24 pages, 10829 KB  
Article
High Wavenumber Coherent Structures in Low Re APG-Boundary-Layer Transition Flow—A Numerical Study
by Weijia Chen and Edmond Y. Lo
Fluids 2017, 2(2), 21; https://doi.org/10.3390/fluids2020021 - 28 Apr 2017
Cited by 1 | Viewed by 4458
Abstract
This paper presents a numerical study of high wavenumber coherent structure evolution in boundary layer transition flow using recently-developed high order Combined compact difference schemes with non-uniform grids in the wall-normal direction for efficient simulation of such flows. The study focuses on a [...] Read more.
This paper presents a numerical study of high wavenumber coherent structure evolution in boundary layer transition flow using recently-developed high order Combined compact difference schemes with non-uniform grids in the wall-normal direction for efficient simulation of such flows. The study focuses on a simulation of an Adverse-Pressure-Gradient (APG) boundary layer transition induced by broadband disturbance corresponding to the experiment of Borodulin et al. (Journal of Turbulence, 2006, 7, pp. 1–30). The results support the experimental observation that although the coherent structures seen during transition to turbulence have asymmetric shapes and occur in a random pattern, their local evolutional behaviors are quite similar. Further calculated local wavelet spectra of these coherent structures are also very similar. The wavelet spectrum of the streamwise disturbance velocity demonstrates high wavenumber clusters at the tip and the rear parts of the Λ-vortex. Both parts are imbedded at the primary Λ-vortex stage and spatially coincide with the spike region and high shear layer. The tip part is associated with the later first ring-like vortex, while the rear part with the remainder of the Λ-vortex. These observations help to shed light on the generation of turbulence, which is dominated by high wavenumber coherent structures. Full article
(This article belongs to the Special Issue Turbulence: Numerical Analysis, Modelling and Simulation)
Show Figures

Figure 1

Back to TopTop