Sign in to use this feature.

Years

Between: -

Subjects

remove_circle_outline
remove_circle_outline
remove_circle_outline
remove_circle_outline
remove_circle_outline
remove_circle_outline
remove_circle_outline
remove_circle_outline

Journals

Article Types

Countries / Regions

Search Results (9)

Search Parameters:
Keywords = nondeterministic decision tree

Order results
Result details
Results per page
Select all
Export citation of selected articles as:
10 pages, 240 KB  
Article
Efficient Modeling of Deterministic Decision Trees for Recognition of Realizable Decision Rules: Bounds on Weighted Depth
by Kerven Durdymyradov and Mikhail Moshkov
Axioms 2025, 14(11), 794; https://doi.org/10.3390/axioms14110794 - 28 Oct 2025
Viewed by 234
Abstract
In this paper, an efficient algorithm for modeling the operation of a DDT (Deterministic Decision Tree) solving the problem of realizability of DRs (Decision Rules) is proposed and analyzed. For this problem, it is assumed that a DRS (Decision Rule System) is given; [...] Read more.
In this paper, an efficient algorithm for modeling the operation of a DDT (Deterministic Decision Tree) solving the problem of realizability of DRs (Decision Rules) is proposed and analyzed. For this problem, it is assumed that a DRS (Decision Rule System) is given; for an arbitrary tuple of feature values, it is required to recognize whether there is a DR realizable on this tuple, i.e., a DR for which the left-hand side is true on the tuple. It is shown that the weighted depth of the modeled DDT does not exceed the square of the minimum weighted depth of the NDT (Nondeterministic Decision Tree) solving the realizability problem. Full article
10 pages, 259 KB  
Article
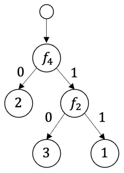
Three Problems for Decision Rule Systems from Closed Classes
by Kerven Durdymyradov and Mikhail Moshkov
Axioms 2025, 14(8), 648; https://doi.org/10.3390/axioms14080648 - 21 Aug 2025
Viewed by 376
Abstract
The study of the relationships between DRSs (Decision Rule Systems) and DTs (Decision Trees) is of considerable interest in computer science. In this paper, we consider classes of DRSs that are closed under specific operations. First, we examine classes that are closed under [...] Read more.
The study of the relationships between DRSs (Decision Rule Systems) and DTs (Decision Trees) is of considerable interest in computer science. In this paper, we consider classes of DRSs that are closed under specific operations. First, we examine classes that are closed under the operation of the removal of features and analyze the functions characterizing the worst-case dependence of the minimum depth of DDTs (Deterministic Decision Trees) and NDTs (Nondeterministic Decision Trees), solving the task of finding all true DRs in a DRS on the number of different features in the system. Second, we extend our analysis to classes that are closed under the removal of features and rules, studying the worst-case behavior of the minimum DT depth for the task of finding at least one true DR. Third, we investigate classes closed under the removal of features and rules in the context of finding all right-hand sides of true DRs. We prove that, in all three cases, the corresponding functions characterizing the worst-case minimum depth of DTs are either bounded from above by a constant or grow linearly. Full article
Show Figures

Figure 1

19 pages, 7034 KB  
Article
Hierarchical Optimization Framework for Layout Design of Star–Tree Gas-Gathering Pipeline Network in Discrete Spaces
by Yu Lin, Yanhua Qiu, Hao Chen, Jun Zhou, Jiayi He, Penghua Du and Dafan Liu
Algorithms 2024, 17(8), 340; https://doi.org/10.3390/a17080340 - 5 Aug 2024
Cited by 1 | Viewed by 2206
Abstract
The gas-gathering pipeline network is a critical infrastructure for collecting and conveying natural gas from the extraction site to the processing facility. This paper introduces a design optimization model for a star–tree gas-gathering pipeline network within a discrete space, aimed at determining the [...] Read more.
The gas-gathering pipeline network is a critical infrastructure for collecting and conveying natural gas from the extraction site to the processing facility. This paper introduces a design optimization model for a star–tree gas-gathering pipeline network within a discrete space, aimed at determining the optimal configuration of this infrastructure. The objective is to reduce the investment required to build the network. Key decision variables include the locations of stations, the plant location, the connections between wells and stations, and the interconnections between stations. Several equality and inequality constraints are formulated, primarily addressing the affiliation between wells and stations, the transmission radius, and the capacity of the stations. The design of a star–tree pipeline network represents a complex, non-deterministic polynomial (NP) hard combinatorial optimization problem. To tackle this challenge, a hierarchical optimization framework coupled with an improved genetic algorithm (IGA) is proposed. The efficacy of the genetic algorithm is validated through testing and comparison with other traditional algorithms. Subsequently, the optimization model and solution methodology are applied to the layout design of a pipeline network. The findings reveal that the optimized network configuration reduces investment costs by 16% compared to the original design. Furthermore, when comparing the optimal layout under a star–star topology, it is observed that the investment needed for the star–star topology is 4% higher than that needed for the star–tree topology. Full article
(This article belongs to the Special Issue Intelligent Algorithms for High-Penetration New Energy)
Show Figures

Figure 1

21 pages, 561 KB  
Article
Comparative Analysis of Deterministic and Nondeterministic Decision Trees for Decision Tables from Closed Classes
by Azimkhon Ostonov and Mikhail Moshkov
Entropy 2024, 26(6), 519; https://doi.org/10.3390/e26060519 - 17 Jun 2024
Cited by 4 | Viewed by 1458
Abstract
In this paper, we consider classes of decision tables with many-valued decisions closed under operations of the removal of columns, the changing of decisions, the permutation of columns, and the duplication of columns. We study relationships among three parameters of these tables: the [...] Read more.
In this paper, we consider classes of decision tables with many-valued decisions closed under operations of the removal of columns, the changing of decisions, the permutation of columns, and the duplication of columns. We study relationships among three parameters of these tables: the complexity of a decision table (if we consider the depth of the decision trees, then the complexity of a decision table is the number of columns in it), the minimum complexity of a deterministic decision tree, and the minimum complexity of a nondeterministic decision tree. We consider the rough classification of functions characterizing relationships and enumerate all possible seven types of relationships. Full article
(This article belongs to the Section Information Theory, Probability and Statistics)
Show Figures

Figure 1

14 pages, 326 KB  
Article
On Complexity of Deterministic and Nondeterministic Decision Trees for Conventional Decision Tables from Closed Classes
by Azimkhon Ostonov and Mikhail Moshkov
Entropy 2023, 25(10), 1411; https://doi.org/10.3390/e25101411 - 3 Oct 2023
Cited by 7 | Viewed by 1684
Abstract
In this paper, we consider classes of conventional decision tables closed relative to the removal of attributes (columns) and changing decisions assigned to rows. For tables from an arbitrary closed class, we study the dependence of the minimum complexity of deterministic and nondeterministic [...] Read more.
In this paper, we consider classes of conventional decision tables closed relative to the removal of attributes (columns) and changing decisions assigned to rows. For tables from an arbitrary closed class, we study the dependence of the minimum complexity of deterministic and nondeterministic decision trees on the complexity of the set of attributes attached to columns. We also study the dependence of the minimum complexity of deterministic decision trees on the minimum complexity of nondeterministic decision trees. Note that a nondeterministic decision tree can be interpreted as a set of true decision rules that covers all rows of the table. Full article
Show Figures

Figure 1

9 pages, 284 KB  
Article
Decision Trees for Binary Subword-Closed Languages
by Mikhail Moshkov
Entropy 2023, 25(2), 349; https://doi.org/10.3390/e25020349 - 14 Feb 2023
Cited by 3 | Viewed by 1510
Abstract
In this paper, we study arbitrary subword-closed languages over the alphabet {0,1} (binary subword-closed languages). For the set of words L(n) of the length n belonging to a binary subword-closed language L, we investigate the [...] Read more.
In this paper, we study arbitrary subword-closed languages over the alphabet {0,1} (binary subword-closed languages). For the set of words L(n) of the length n belonging to a binary subword-closed language L, we investigate the depth of the decision trees solving the recognition and the membership problems deterministically and nondeterministically. In the case of the recognition problem, for a given word from L(n), we should recognize it using queries, each of which, for some i{1,,n}, returns the ith letter of the word. In the case of the membership problem, for a given word over the alphabet {0,1} of the length n, we should recognize if it belongs to the set L(n) using the same queries. With the growth of n, the minimum depth of the decision trees solving the problem of recognition deterministically is either bounded from above by a constant or grows as a logarithm, or linearly. For other types of trees and problems (decision trees solving the problem of recognition nondeterministically and decision trees solving the membership problem deterministically and nondeterministically), with the growth of n, the minimum depth of the decision trees is either bounded from above by a constant or grows linearly. We study the joint behavior of the minimum depths of the considered four types of decision trees and describe five complexity classes of binary subword-closed languages. Full article
(This article belongs to the Section Complexity)
18 pages, 2003 KB  
Article
Counterexample Generation for Probabilistic Model Checking Micro-Scale Cyber-Physical Systems
by Yang Liu, Yan Ma, Yongsheng Yang and Tingting Zheng
Micromachines 2021, 12(9), 1059; https://doi.org/10.3390/mi12091059 - 31 Aug 2021
Cited by 1 | Viewed by 2872
Abstract
Micro-scale Cyber-Physical Systems (MCPSs) can be automatically and formally estimated by probabilistic model checking, on the level of system model MDPs (Markov Decision Processes) against desired requirements in PCTL (Probabilistic Computation Tree Logic). The counterexamples in probabilistic model checking are witnesses of requirements [...] Read more.
Micro-scale Cyber-Physical Systems (MCPSs) can be automatically and formally estimated by probabilistic model checking, on the level of system model MDPs (Markov Decision Processes) against desired requirements in PCTL (Probabilistic Computation Tree Logic). The counterexamples in probabilistic model checking are witnesses of requirements violation, which can provide the meaningful information for debugging, control, and synthesis of MCPSs. Solving the smallest counterexample for probabilistic model checking MDP has been proven to be an NPC (Non-deterministic Polynomial complete) problem. Although some heuristic methods are designed for this, it is usually difficult to fix the heuristic functions. In this paper, the Genetic algorithm optimized with heuristic, i.e., the heuristic Genetic algorithm, is firstly proposed to generate a counterexample for the probabilistic model checking MDP model of MCPSs. The diagnostic subgraph serves as a compact counterexample, and diagnostic paths of MDP constitute an AND/OR tree for constructing a diagnostic subgraph. Indirect path coding of the Genetic algorithm is used to extend the search range of the state space, and a heuristic crossover operator is used to generate more effective diagnostic paths. A prototype tool based on the probabilistic model checker PAT is developed, and some cases (dynamic power management and some communication protocols) are used to illustrate its feasibility and efficiency. Full article
Show Figures

Figure 1

17 pages, 3387 KB  
Article
The Hierarchical Classifier for COVID-19 Resistance Evaluation
by Nataliya Shakhovska, Ivan Izonin and Nataliia Melnykova
Data 2021, 6(1), 6; https://doi.org/10.3390/data6010006 - 15 Jan 2021
Cited by 12 | Viewed by 4533
Abstract
Finding dependencies in the data requires the analysis of relations between dozens of parameters of the studied process and hundreds of possible sources of influence on this process. Dependencies are nondeterministic and therefore modeling requires the use of statistical methods for analyzing random [...] Read more.
Finding dependencies in the data requires the analysis of relations between dozens of parameters of the studied process and hundreds of possible sources of influence on this process. Dependencies are nondeterministic and therefore modeling requires the use of statistical methods for analyzing random processes. Part of the information is often hidden from observation or not monitored. That is why many difficulties have arisen in the process of analyzing the collected information. The paper aims to find frequent patterns and parameters affected by COVID-19. The novelty of the paper is hierarchical architecture comprises supervised and unsupervised methods. It allows the development of an ensemble of the methods based on k-means clustering and classification. The best classifiers from the ensemble are random forest with 500 trees and XGBoost. Classification for separated clusters gives us higher accuracy on 4% in comparison with dataset analysis. The proposed approach can be used also for personalized medicine decision support in other domains. The features selection allows us to analyze the following features with the highest impact on COVID-19: age, sex, blood group, had influenza. Full article
(This article belongs to the Special Issue Data-Driven Modelling of Infectious Diseases)
Show Figures

Figure 1

19 pages, 1343 KB  
Article
Improved SP-MCTS-Based Scheduling for Multi-Constraint Hybrid Flow Shop
by Jian Guo, Yaoyao Shi, Zhen Chen, Tao Yu, Bijan Shirinzadeh and Pan Zhao
Appl. Sci. 2020, 10(18), 6220; https://doi.org/10.3390/app10186220 - 8 Sep 2020
Cited by 4 | Viewed by 3399
Abstract
As a typical non-deterministic polynomial (NP)-hard combinatorial optimization problem, the hybrid flow shop scheduling problem (HFSSP) is known to be a very common layout in real-life manufacturing scenarios. Even though many metaheuristic approaches have been presented for the HFSSP with makespan criterion, there [...] Read more.
As a typical non-deterministic polynomial (NP)-hard combinatorial optimization problem, the hybrid flow shop scheduling problem (HFSSP) is known to be a very common layout in real-life manufacturing scenarios. Even though many metaheuristic approaches have been presented for the HFSSP with makespan criterion, there are limitations of the metaheuristic method in accuracy, efficiency, and adaptability. To address this challenge, an improved SP-MCTS (single-player Monte-Carlo tree search)-based scheduling is proposed for the hybrid flow shop to minimize the makespan considering the multi-constraint. Meanwhile, the Markov decision process (MDP) is applied to transform the HFSSP into the problem of shortest time branch path. The improvement of the algorithm includes the selection policy blending standard deviation, the single-branch expansion strategy and the 4-Rule policy simulation. Based on this improved algorithm, it could accurately locate high-potential branches, economize the resource of the computer and quickly optimize the solution. Then, the parameter combination is introduced to trade off the selection and simulation with the intention of balancing the exploitation and exploration in the search process. Finally, through the analysis of the calculated results, the validity of improved SP-MCTS (ISP-MCTS) for solving the benchmarks is proven, and the ISP-MCTS performs better than the other algorithms in solving large-scale problems. Full article
(This article belongs to the Section Applied Industrial Technologies)
Show Figures

Figure 1

Back to TopTop