Sign in to use this feature.

Years

Between: -

Subjects

remove_circle_outline
remove_circle_outline
remove_circle_outline
remove_circle_outline
remove_circle_outline

Journals

Article Types

Countries / Regions

Search Results (9)

Search Parameters:
Keywords = neurturin

Order results
Result details
Results per page
Select all
Export citation of selected articles as:
15 pages, 1752 KB  
Article
Modulation of Neurturin Expression by Lumbosacral Spinal Stenosis, Lifestyle Factors, and Glycemic Dysregulation
by Małgorzata Sobańska, Dawid Sobański, Rafał Staszkiewicz, Paweł Gogol, Damian Strojny, Tomasz Pawłaszek, Werner Dammerman and Beniamin Oskar Grabarek
Biomedicines 2025, 13(5), 1102; https://doi.org/10.3390/biomedicines13051102 - 1 May 2025
Cited by 2 | Viewed by 2759
Abstract
Background/Objectives: Lumbosacral spinal stenosis (LSS) is a degenerative condition characterized by narrowing of the spinal canal and associated neuropathic pain. While mechanical compression is well-characterized, the molecular mechanisms contributing to symptom severity remain poorly understood. Neurturin (NRTN), a member of the glial [...] Read more.
Background/Objectives: Lumbosacral spinal stenosis (LSS) is a degenerative condition characterized by narrowing of the spinal canal and associated neuropathic pain. While mechanical compression is well-characterized, the molecular mechanisms contributing to symptom severity remain poorly understood. Neurturin (NRTN), a member of the glial cell line-derived neurotrophic factor family, has emerged as a potential mediator of neural plasticity and nociception, but its role in spinal stenosis is largely unexplored. Methods: We analyzed NRTN mRNA and protein expression in ligamentum flavum samples from 96 patients undergoing surgery for LSS and 85 non-degenerative postmortem controls. Quantification was performed using real-time quantitative polymerase chain reaction (RT-qPCR), enzyme-linked immunosorbent assay (ELISA), Western blotting, and immunohistochemistry. Pain severity Visual Analog Scale (VAS), body mass index (BMI), diabetes, smoking, and alcohol use were assessed as modulators of NRTN expression. Results: NRTN expression was significantly elevated in LSS patients versus controls at both transcript and protein levels (p < 0.05). NRTN levels positively correlated with pain intensity (VAS; ANOVA p = 0.032 for mRNA, p = 0.041 for protein). Multivariate regression identified BMI (β = 0.50, p = 0.015) and diabetes (β = 0.39, p = 0.017) as independent predictors of increased NRTN expression. Alcohol use also showed a positive association (p = 0.046), while smoking showed no significant independent effect. Conclusions: Neurturin is upregulated in ligamentum flavum tissue from LSS patients and correlates with pain severity and metabolic risk factors. These findings suggest NRTN as a potential biomarker and therapeutic target in degenerative spine disease. Further longitudinal and mechanistic studies are warranted to elucidate its role in chronic pain and neuroinflammation. Full article
Show Figures

Figure 1

20 pages, 1496 KB  
Review
Gene Therapy for Parkinson’s Disease Using Midbrain Developmental Genes to Regulate Dopaminergic Neuronal Maintenance
by Jintae Kim and Mi-Yoon Chang
Int. J. Mol. Sci. 2024, 25(22), 12369; https://doi.org/10.3390/ijms252212369 - 18 Nov 2024
Cited by 6 | Viewed by 8458
Abstract
Parkinson’s disease (PD) is the second most prevalent neurodegenerative disorder. It is characterized by the progressive loss of dopaminergic (DAnergic) neurons in the substantia nigra and decreased dopamine (DA) levels, which lead to both motor and non-motor symptoms. Conventional PD treatments aim to [...] Read more.
Parkinson’s disease (PD) is the second most prevalent neurodegenerative disorder. It is characterized by the progressive loss of dopaminergic (DAnergic) neurons in the substantia nigra and decreased dopamine (DA) levels, which lead to both motor and non-motor symptoms. Conventional PD treatments aim to alleviate symptoms, but do not delay disease progression. PD gene therapy offers a promising approach to improving current treatments, with the potential to alleviate significant PD symptoms and cause fewer adverse effects than conventional therapies. DA replacement approaches and DA enzyme expression do not slow disease progression. However, DA replacement gene therapies, such as adeno-associated virus (AAV)–glutamic acid decarboxylase (GAD) and L-amino acid decarboxylase (AADC) gene therapies, which increase DA transmitter levels, have been demonstrated to be safe and efficient in early-phase clinical trials. Disease-modifying strategies, which aim to slow disease progression, appear to be potent. These include therapies targeting downstream pathways, neurotrophic factors, and midbrain DAnergic neuronal factors, all of which have shown potential in preclinical and clinical trials. These approaches focus on maintaining the integrity of DAnergic neurons, not just targeting the DA transmitter level itself. In particular, critical midbrain developmental and maintenance factors, such as Nurr1 and Foxa2, can interact synergistically with neighboring glia, in a paracrine mode of action, to protect DAnergic neurons against various toxic factors. Similar outcomes could be achieved by targeting both DAnergic neurons and glial cells with other candidate gene therapies, but in-depth research is needed. Neurotrophic factors, such as neurturin, the glial-cell-line-derived neurotrophic factor (GDNF), the brain-derived neurotrophic factor (BDNF), and the vascular endothelial growth factor (VEGF), are also being investigated for their potential to support DAnergic neuron survival. Additionally, gene therapies targeting key downstream pathways, such as the autophagy–lysosome pathway, mitochondrial function, and endoplasmic reticulum (ER) stress, offer promising avenues. Gene editing and delivery techniques continue to evolve, presenting new opportunities to develop effective gene therapies for PD. Full article
Show Figures

Figure 1

18 pages, 4625 KB  
Article
Genetically Predicted Association of 91 Circulating Inflammatory Proteins with Multiple Sclerosis: A Mendelian Randomization Study
by Xin’ai Li, Zhiguo Ding, Shuo Qi, Peng Wang, Junhui Wang and Jingwei Zhou
Brain Sci. 2024, 14(8), 833; https://doi.org/10.3390/brainsci14080833 - 19 Aug 2024
Cited by 1 | Viewed by 2258
Abstract
Previous studies have validated a close association between inflammatory factors and multiple sclerosis (MS), but their causal relationship is not fully profiled yet. This study used Mendelian randomization (MR) to investigate the causal effect of circulating inflammatory proteins on MS. Data from a [...] Read more.
Previous studies have validated a close association between inflammatory factors and multiple sclerosis (MS), but their causal relationship is not fully profiled yet. This study used Mendelian randomization (MR) to investigate the causal effect of circulating inflammatory proteins on MS. Data from a large-scale genome-wide association study (GWAS) were analyzed using a two-sample MR method to explore the relationship between 91 circulating inflammatory proteins and MS. The inverse-variance-weighted (IVW) analysis was employed as the main method for evaluating exposures and outcomes. Furthermore, series of the methods of MR Egger, weighted median, simple mode, and weighted mode were used to fortify the final results. The results of the IVW method were corrected with Bonferroni (bon) and false discovery rate (fdr) for validating the robustness of results and ensuring the absence of heterogeneity and horizontal pleiotropy. The sensitivity analysis was also performed. The results of the forward MR analysis showed that higher levels of CCL25 were found to be associated with an increased risk of MS according to IVW results, OR: 1.085, 95% CI (1.011, 1.165), p = 2.42 × 10−2, adjusted p_adj_bon = 1, p_adj_fdr = 0.307. Similarly, higher levels of CXCL10 were found to be associated with an increased risk of MS, OR: 1.231, 95% CI (1.057, 1.433), p = 7.49 × 10−3, adjusted p_adj_bon = 0.682, p_adj_fdr = 0.227. In contrast, elevated levels of neurturin (NRTN) were associated with a decreased risk of MS, OR: 0.815, 95% CI (0.689, 0.964), p = 1.68 × 10−2, adjusted p_adj_bon = 1, p_adj_fdr = 0.307. Reverse MR analysis showed no causal relationship between MS and the identified circulating inflammatory cytokines. The effects of heterogeneity and level pleiotropy were further excluded by sensitivity analysis. This study provides new insights into the relationship between circulating inflammatory proteins and MS and brings up a new possibility of using these cytokines as potential biomarkers and therapeutic targets. The data in this study show that there are only weak associations between inflammatory molecules and MS risk, which did not survive bon and fdr correction, and the obtained p-values are quite low. Therefore, further studies on larger samples are needed. Full article
(This article belongs to the Special Issue Advances in Neuroinflammation)
Show Figures

Figure 1

16 pages, 10720 KB  
Article
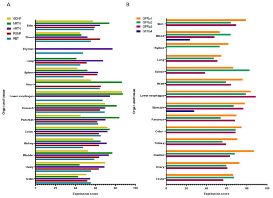
Expression of Glial-Cell-Line-Derived Neurotrophic Factor Family Ligands in Human Intervertebral Discs
by Tatsuya Iwasaki, Koji Akeda, Koki Kawaguchi, Junichi Yamada, Takahiro Hasegawa, Norihiko Takegami, Tatsuhiko Fujiwara and Akihiro Sudo
Int. J. Mol. Sci. 2023, 24(21), 15874; https://doi.org/10.3390/ijms242115874 - 1 Nov 2023
Cited by 5 | Viewed by 2483
Abstract
Glial-cell-line-derived neurotrophic factor (GDNF) family ligands (GFLs) contribute to the sensitization of primary afferents and are involved in the pathogenesis of inflammatory pain. The purpose of this preliminary study was to examine the expression of other GFLs (neurturin (NRTN), artemin (ARTN), persephin (PSPN)) [...] Read more.
Glial-cell-line-derived neurotrophic factor (GDNF) family ligands (GFLs) contribute to the sensitization of primary afferents and are involved in the pathogenesis of inflammatory pain. The purpose of this preliminary study was to examine the expression of other GFLs (neurturin (NRTN), artemin (ARTN), persephin (PSPN)) and receptors in human IVD cells and tissues exhibiting early and advanced stages of degeneration. Human IVD cells were cultured as a monolayer after isolation from the nucleus pulposus (NP) and anulus fibrosus (AF) tissues. The mRNA expression of NRTN, ARTN, PSPN, and their receptors (GFRA2–GFRA4) was quantified using real-time PCR. Protein expression was evaluated using immunohistochemistry and Western blotting. The expression of NRTN, ARTN, PSPN, and their co-receptors (GFRA2-GFRA4) was identified in human IVD cells at both mRNA and protein levels. A trend was noted wherein the mRNA expression of ARTN, PSPN, and GFRA2 was upregulated by IL-1β treatment in a dose-dependent manner. The percentages of immunopositive cells in the advanced degenerate stage of ARTN, PSPN, and GFRA2 were significantly higher than those in the early degenerate stage. Their expression was enhanced in advanced tissue degeneration, which suggests that GFLs (ARTN and PSPN) may be involved in the pathogenesis of discogenic pain. Full article
(This article belongs to the Special Issue Regeneration for Spinal Diseases 4.0)
Show Figures

Figure 1

22 pages, 4055 KB  
Article
Optimizing Soluble Cues for Salivary Gland Tissue Mimetics Using a Design of Experiments (DoE) Approach
by Lindsay R. Piraino, Danielle S. W. Benoit and Lisa A. DeLouise
Cells 2022, 11(12), 1962; https://doi.org/10.3390/cells11121962 - 18 Jun 2022
Cited by 6 | Viewed by 3015
Abstract
The development of therapies to prevent or treat salivary gland dysfunction has been limited by a lack of functional in vitro models. Specifically, critical markers of salivary gland secretory phenotype downregulate rapidly ex vivo. Here, we utilize a salivary gland tissue chip model [...] Read more.
The development of therapies to prevent or treat salivary gland dysfunction has been limited by a lack of functional in vitro models. Specifically, critical markers of salivary gland secretory phenotype downregulate rapidly ex vivo. Here, we utilize a salivary gland tissue chip model to conduct a design of experiments (DoE) approach to test combinations of seven soluble cues that were previously shown to maintain or improve salivary gland cell function. This approach uses statistical techniques to improve efficiency and accuracy of combinations of factors. The DoE-designed culture conditions improve markers of salivary gland function. Data show that the EGFR inhibitor, EKI-785, maintains relative mRNA expression of Mist1, a key acinar cell transcription factor, while FGF10 and neurturin promote mRNA expression of Aqp5 and Tmem16a, channel proteins involved in secretion. Mist1 mRNA expression correlates with increased secretory function, including calcium signaling and mucin (PAS-AB) staining. Overall, this study demonstrates that media conditions can be efficiently optimized to support secretory function in vitro using a DoE approach. Full article
Show Figures

Graphical abstract

25 pages, 8188 KB  
Article
Ionic Silicon Protects Oxidative Damage and Promotes Skeletal Muscle Cell Regeneration
by Kamal Awad, Neelam Ahuja, Matthew Fiedler, Sara Peper, Zhiying Wang, Pranesh Aswath, Marco Brotto and Venu Varanasi
Int. J. Mol. Sci. 2021, 22(2), 497; https://doi.org/10.3390/ijms22020497 - 6 Jan 2021
Cited by 32 | Viewed by 4934
Abstract
Volumetric muscle loss injuries overwhelm the endogenous regenerative capacity of skeletal muscle, and the associated oxidative damage can delay regeneration and prolong recovery. This study aimed to investigate the effect of silicon-ions on C2C12 skeletal muscle cells under normal and excessive oxidative stress [...] Read more.
Volumetric muscle loss injuries overwhelm the endogenous regenerative capacity of skeletal muscle, and the associated oxidative damage can delay regeneration and prolong recovery. This study aimed to investigate the effect of silicon-ions on C2C12 skeletal muscle cells under normal and excessive oxidative stress conditions to gain insights into its role on myogenesis during the early stages of muscle regeneration. In vitro studies indicated that 0.1 mM Si-ions into cell culture media significantly increased cell viability, proliferation, migration, and myotube formation compared to control. Additionally, MyoG, MyoD, Neurturin, and GABA expression were significantly increased with addition of 0.1, 0.5, and 1.0 mM of Si-ion for 1 and 5 days of C2C12 myoblast differentiation. Furthermore, 0.1–2.0 mM Si-ions attenuated the toxic effects of H2O2 within 24 h resulting in increased cell viability and differentiation. Addition of 1.0 mM of Si-ions significantly aid cell recovery and protected from the toxic effect of 0.4 mM H2O2 on cell migration. These results suggest that ionic silicon may have a potential effect in unfavorable situations where reactive oxygen species is predominant affecting cell viability, proliferation, migration, and differentiation. Furthermore, this study provides a guide for designing Si-containing biomaterials with desirable Si-ion release for skeletal muscle regeneration. Full article
(This article belongs to the Special Issue Interactions of Cells with Biomaterials for Regenerative Medicine)
Show Figures

Figure 1

16 pages, 1701 KB  
Review
Revisiting the Role of Neurotrophic Factors in Inflammation
by Lucas Morel, Olivia Domingues, Jacques Zimmer and Tatiana Michel
Cells 2020, 9(4), 865; https://doi.org/10.3390/cells9040865 - 2 Apr 2020
Cited by 47 | Viewed by 7760
Abstract
The neurotrophic factors are well known for their implication in the growth and the survival of the central, sensory, enteric and parasympathetic nervous systems. Due to these properties, neurturin (NRTN) and Glial cell-derived neurotrophic factor (GDNF), which belong to the GDNF family ligands [...] Read more.
The neurotrophic factors are well known for their implication in the growth and the survival of the central, sensory, enteric and parasympathetic nervous systems. Due to these properties, neurturin (NRTN) and Glial cell-derived neurotrophic factor (GDNF), which belong to the GDNF family ligands (GFLs), have been assessed in clinical trials as a treatment for neurodegenerative diseases like Parkinson’s disease. In addition, studies in favor of a functional role for GFLs outside the nervous system are accumulating. Thus, GFLs are present in several peripheral tissues, including digestive, respiratory, hematopoietic and urogenital systems, heart, blood, muscles and skin. More precisely, recent data have highlighted that different types of immune and epithelial cells (macrophages, T cells, such as, for example, mucosal-associated invariant T (MAIT) cells, innate lymphoid cells (ILC) 3, dendritic cells, mast cells, monocytes, bronchial epithelial cells, keratinocytes) have the capacity to release GFLs and express their receptors, leading to the participation in the repair of epithelial barrier damage after inflammation. Some of these mechanisms pass on to ILCs to produce cytokines (such as IL-22) that can impact gut microbiota. In addition, there are indications that NRTN could be used in the treatment of inflammatory airway diseases and it prevents the development of hyperglycemia in the diabetic rat model. On the other hand, it is suspected that the dysregulation of GFLs produces oncogenic effects. This review proposes the discussion of the biological understanding and the potential new opportunities of the GFLs, in the perspective of developing new treatments within a broad range of human diseases. Full article
(This article belongs to the Section Cellular Immunology)
Show Figures

Figure 1

12 pages, 2922 KB  
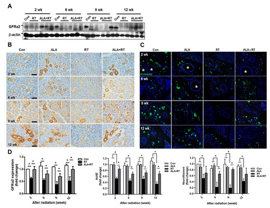
Article
Alpha-Lipoic Acid Ameliorates Radiation-Induced Salivary Gland Injury by Preserving Parasympathetic Innervation in Rats
by Jin Hyun Kim, Bae Kwon Jeong, Si Jung Jang, Jeong Won Yun, Myeong Hee Jung, Ki Mun Kang, Tae Gyu Kim and Seung Hoon Woo
Int. J. Mol. Sci. 2020, 21(7), 2260; https://doi.org/10.3390/ijms21072260 - 25 Mar 2020
Cited by 18 | Viewed by 4681
Abstract
Radiation therapy is a standard treatment for patients with head and neck cancer. However, radiation exposure to the head and neck induces salivary gland (SG) dysfunction. Alpha lipoic acid (ALA) has been reported to reduce radiation-induced toxicity in normal tissues. In this study, [...] Read more.
Radiation therapy is a standard treatment for patients with head and neck cancer. However, radiation exposure to the head and neck induces salivary gland (SG) dysfunction. Alpha lipoic acid (ALA) has been reported to reduce radiation-induced toxicity in normal tissues. In this study, we investigated the effect of ALA on radiation-induced SG dysfunction. Male Sprague–Dawley rats were assigned to the following treatment groups: control, ALA only (100 mg/kg, intraperitoneally), irradiation only, and ALA administration 24 h or 30 min prior to irradiation. The neck area, including SGs, was irradiated evenly at 2 Gy/min (total dose, 18 Gy) using a photon 6 MV linear accelerator. The rats were sacrificed at 2, 6, 8, and 12 weeks after irradiation. Radiation decreased SG weight, saliva secretion, AQP5 expression, parasympathetic innervation (GFRα2 and AchE expression), regeneration potentials (Shh and Ptch expression), salivary trophic factor levels (brain-derived neurotrophic factor and neurturin), and stem cell expression (Sca-1). These features were restored by treatment with ALA. This study demonstrated that ALA can rescue radiation-induced hyposalivation by preserving parasympathetic innervation and regenerative potentials. Full article
(This article belongs to the Section Molecular Pathology, Diagnostics, and Therapeutics)
Show Figures

Figure 1

13 pages, 1909 KB  
Article
Neurotrophic Factors NGF, GDNF and NTN Selectively Modulate HSV1 and HSV2 Lytic Infection and Reactivation in Primary Adult Sensory and Autonomic Neurons
by Andy A. Yanez, Telvin Harrell, Heather J. Sriranganathan, Angela M. Ives and Andrea S. Bertke
Pathogens 2017, 6(1), 5; https://doi.org/10.3390/pathogens6010005 - 7 Feb 2017
Cited by 24 | Viewed by 6991
Abstract
Herpes simplex viruses (HSV1 and HSV2) establish latency in peripheral ganglia after ocular or genital infection, and can reactivate to produce different patterns and frequencies of recurrent disease. Previous studies showed that nerve growth factor (NGF) maintains HSV1 latency in embryonic sympathetic and [...] Read more.
Herpes simplex viruses (HSV1 and HSV2) establish latency in peripheral ganglia after ocular or genital infection, and can reactivate to produce different patterns and frequencies of recurrent disease. Previous studies showed that nerve growth factor (NGF) maintains HSV1 latency in embryonic sympathetic and sensory neurons. However, adult sensory neurons are no longer dependent on NGF for survival, some populations cease expression of NGF receptors postnatally, and the viruses preferentially establish latency in different populations of sensory neurons responsive to other neurotrophic factors (NTFs). Thus, NGF may not maintain latency in adult sensory neurons. To identify NTFs important for maintaining HSV1 and HSV2 latency in adult neurons, we investigated acute and latently-infected primary adult sensory trigeminal (TG) and sympathetic superior cervical ganglia (SCG) after NTF removal. NGF and glial cell line-derived neurotrophic factor (GDNF) deprivation induced HSV1 reactivation in adult sympathetic neurons. In adult sensory neurons, however, neurturin (NTN) and GDNF deprivation induced HSV1 and HSV2 reactivation, respectively, while NGF deprivation had no effects. Furthermore, HSV1 and HSV2 preferentially reactivated from neurons expressing GFRα2 and GFRα1, the high affinity receptors for NTN and GDNF, respectively. Thus, NTN and GDNF play a critical role in selective maintenance of HSV1 and HSV2 latency in primary adult sensory neurons. Full article
(This article belongs to the Special Issue Herpesviruses)
Show Figures

Figure 1

Back to TopTop