Due to scheduled maintenance work on our servers, there may be short service disruptions on this website between 11:00 and 12:00 CEST on March 28th.
Sign in to use this feature.

Years

Between: -

Subjects

remove_circle_outline
remove_circle_outline
remove_circle_outline
remove_circle_outline
remove_circle_outline
remove_circle_outline
remove_circle_outline
remove_circle_outline
remove_circle_outline

Journals

remove_circle_outline
remove_circle_outline
remove_circle_outline
remove_circle_outline

Article Types

Countries / Regions

remove_circle_outline
remove_circle_outline
remove_circle_outline
remove_circle_outline
remove_circle_outline
remove_circle_outline

Search Results (1,354)

Search Parameters:
Keywords = multiple antennas

Order results
Result details
Results per page
Select all
Export citation of selected articles as:
20 pages, 13035 KB  
Article
Development of Wideband Circular Microstrip Patch Antenna for Use in Microwave Imaging for Brain Tumor Detection
by Hüseyin Özmen, Mengwei Wu and Mariana Dalarsson
Sensors 2026, 26(7), 2062; https://doi.org/10.3390/s26072062 - 25 Mar 2026
Abstract
This work presents the design of a compact, wideband circular microstrip patch antenna for microwave imaging-based brain tumor detection. The main contribution is the development of a compact antenna structure incorporating enhanced ground-plane slot modifications, which significantly improves impedance bandwidth while maintaining a [...] Read more.
This work presents the design of a compact, wideband circular microstrip patch antenna for microwave imaging-based brain tumor detection. The main contribution is the development of a compact antenna structure incorporating enhanced ground-plane slot modifications, which significantly improves impedance bandwidth while maintaining a small electrical size, making it highly suitable for medical imaging systems. In addition, the study integrates antenna design, safety evaluation, and microwave imaging analysis within a unified framework to assess tumor localization feasibility using a realistic head model in CST Microwave Studio. The proposed antenna is fabricated on an FR-4 substrate with dimensions of 37 × 54.5 × 1.6 mm3, corresponding to an electrical size of 0.176λ × 0.260λ × 0.0076λ at the lowest operating frequency of 1.43 GHz. Ground-plane slot enhancements are introduced to achieve wideband performance, resulting in an impedance bandwidth from 1.43 to 4 GHz and a fractional bandwidth of 94.7%. The antenna exhibits a maximum realized gain of 3.7 dB. To evaluate its suitability for medical applications, specific absorption rate (SAR) analysis is performed using a realistic human head model at multiple antenna positions and at 1.5, 2.1, 2.5, 3.3, and 3.9 GHz frequencies. The computed SAR values range from 0.109 to 1.56 W/kg averaged over 10 g of tissue, satisfying the IEEE C95.1 safety guideline limit of 2 W/kg. For tumor detection assessment, time-domain simulations are conducted in CST Microwave Studio using a monostatic radar configuration, where the antenna operates as both transmitter and receiver at twelve angular positions around the head with 30° increments. The collected scattered signals are processed using the Delay-and-Sum (DAS) beamforming algorithm to reconstruct dielectric contrast maps and localize the tumor. It should be noted that the tumor-imaging demonstrations presented in this work are based on numerical simulations, while experimental validation is limited to the characterization of the fabricated antenna. Nevertheless, the findings indicate that the proposed antenna is a promising candidate for noninvasive, low-cost microwave brain tumor imaging applications. Full article
Show Figures

Figure 1

22 pages, 2632 KB  
Article
Stiffness Modeling and Analysis of Multiple Configuration Units for Parabolic Deployable Antenna
by Jing Zhang, Miao Yu, Chuang Shi, Qiying Li, Ruipeng Li, Hongwei Guo and Rongqiang Liu
Appl. Mech. 2026, 7(2), 27; https://doi.org/10.3390/applmech7020027 - 25 Mar 2026
Abstract
Space-deployable antennas have development requirements of an ultra-large aperture, high stiffness, and multi-frequency multiplexing. To address the challenge of stiffness characterization in the multi-closed-loop complex systems of deployable mechanisms, this paper proposes a parametric stiffness modeling method and a static stiffness model is [...] Read more.
Space-deployable antennas have development requirements of an ultra-large aperture, high stiffness, and multi-frequency multiplexing. To address the challenge of stiffness characterization in the multi-closed-loop complex systems of deployable mechanisms, this paper proposes a parametric stiffness modeling method and a static stiffness model is established, ranging from components and limbs to the overall mechanism. The motion/force mapping model of the deployable mechanism is obtained using screw theory, and the stiffness mapping from joint space to workspace is achieved via the Jacobian matrix. A comprehensive stiffness model of the deployable mechanism incorporating joint effects is established based on the principle of virtual work and the superposition principle of deformations, and its validity is verified through finite element simulation. Building on this, stiffness characteristics based on structural configuration are investigated, and structural forms with excellent stiffness performance are selected through comprehensive evaluation. Six configurations of the deployable mechanism are derived topologically from this structure, and the optimal configuration is selected based on stiffness performance. The parametric stiffness modeling method proposed in this study can effectively characterize the contribution of each component to the overall system stiffness. It lays a theoretical foundation for establishing a quantitative relationship between stiffness performance and configuration, enabling performance-based configuration optimization and dimensional optimization. Full article
Show Figures

Figure 1

22 pages, 808 KB  
Article
Environment-Dependent Downlink Pinching-Antenna Systems: Spectral–Energy Efficiency Tradeoffs and Design
by Xiangyu Zha, Yongji Chen and Qi Wang
Sensors 2026, 26(7), 2051; https://doi.org/10.3390/s26072051 - 25 Mar 2026
Abstract
Pinching-antenna systems (PASSs) offer a low-complexity and reconfigurable solution for near-field downlink communications by deploying multiple radiating elements along a single waveguide. Existing studies mainly assume simplified propagation conditions or focus on spectral efficiency, while the impact of environment-dependent interference patterns arising from [...] Read more.
Pinching-antenna systems (PASSs) offer a low-complexity and reconfigurable solution for near-field downlink communications by deploying multiple radiating elements along a single waveguide. Existing studies mainly assume simplified propagation conditions or focus on spectral efficiency, while the impact of environment-dependent interference patterns arising from user-specific blockage conditions on energy-efficient design remains unclear. An energy-efficient downlink design for single-waveguide PASS based on environment-division multiple access (EDMA) is investigated. Under a given propagation environment, EDMA exploits user-dependent blockage and visibility differences through proper pinching-antenna placement, thereby inducing different multi-user interference patterns without increasing radio-frequency hardware complexity. We examine how such blockage-dependent interference influences the relationship between spectral efficiency and energy efficiency, and develop an energy-aware EDMA framework that jointly considers pinching-antenna locations and transmit power allocation under quality-of-service constraints. The resulting coupled design problem is solved through an alternating optimization procedure. EDMA is compared with conventional time-division multiple access (TDMA) using a unified hardware and power-consumption model. Numerical results reveal clear energy-efficiency threshold behaviors with respect to blockage intensity, user population, and service requirements. The results further show that EDMA can significantly outperform TDMA in specific operating regimes. Full article
(This article belongs to the Special Issue 6G Communication and Edge Intelligence in Wireless Sensor Networks)
Show Figures

Figure 1

18 pages, 12661 KB  
Article
A New Design of MIMO Antenna with Dual-Band/Dual-Polarized Modified PIFAs for Future Handheld Devices
by Haleh Jahanbakhsh Basherlou, Naser Ojaroudi Parchin and Chan Hwang See
Microwave 2026, 2(2), 7; https://doi.org/10.3390/microwave2020007 (registering DOI) - 25 Mar 2026
Abstract
This paper introduces a compact sub-6 GHz multiple-input multiple-output (MIMO) antenna array developed for 5G smartphone applications. The design employs eight planar inverted-F antenna (PIFA) elements arranged to realize dual-band and dual-polarized operation. The antenna achieves impedance bandwidths of 3.3–3.7 GHz (11.4%) and [...] Read more.
This paper introduces a compact sub-6 GHz multiple-input multiple-output (MIMO) antenna array developed for 5G smartphone applications. The design employs eight planar inverted-F antenna (PIFA) elements arranged to realize dual-band and dual-polarized operation. The antenna achieves impedance bandwidths of 3.3–3.7 GHz (11.4%) and 5.3–5.8 GHz (10%), covering key sub-6 GHz fifth-generation (5G) bands. To enhance diversity performance, the elements are distributed along the edges of the smartphone mainboard, enabling excitation of orthogonal polarization modes while maintaining an overall board size of 75 mm × 150 mm on an FR4 substrate. Even without the use of dedicated decoupling structures, the closely spaced antenna elements exhibit satisfactory isolation levels, varying between −12 dB and −22 dB across the operating bands. The antenna array achieves wide impedance bandwidths of approximately 400 MHz at 3.5 GHz and more than 500 MHz at 5.5 GHz, supporting high data-rate communication. In addition, the proposed system demonstrates very low correlation and active reflection, with envelope correlation coefficient (ECC) values below 0.002 and total active reflection coefficient (TARC) levels better than −20 dB. User interaction effects are also investigated, and the results confirm acceptable SAR levels and stable radiation behavior in the presence of the human body. Owing to its planar, dual-band/dual-polarization capability and compliance with safety requirements, the proposed antenna represents a promising practical solution for contemporary 5G handheld devices and future multi-band mobile platforms. Full article
(This article belongs to the Special Issue Advances in Microwave Devices and Circuit Design)
Show Figures

Graphical abstract

22 pages, 3896 KB  
Article
Experimental Validation of an SDR-Based Direction of Arrival Estimation Testbed
by Nikita Sheremet and Grigoriy Fokin
Information 2026, 17(4), 313; https://doi.org/10.3390/info17040313 - 24 Mar 2026
Viewed by 100
Abstract
Advanced mobile communication standards of the fifth and subsequent generations widely use beamforming technology. While many publications on this topic rely on simulation tools, some work has been dedicated to experimental testing using software-defined radio (SDR) platforms. These platforms are often expensive and [...] Read more.
Advanced mobile communication standards of the fifth and subsequent generations widely use beamforming technology. While many publications on this topic rely on simulation tools, some work has been dedicated to experimental testing using software-defined radio (SDR) platforms. These platforms are often expensive and require significant expertise to configure. This paper proposes a novel cost-effective method for combining a pair of dual-channel Universal Software Radio Peripheral (USRP) B210 boards into a four-element antenna array direction of arrival estimation testbed using Metronom synchronization devices. The hardware and developed software implementation is detailed, including the antenna layout and software modules, based on USRP Hardware Driver, that provide the frequency and time synchronization necessary for amplitude-phase processing. Experimental validation of the testbed using the MUltiple SIgnal Classification (MUSIC) algorithm demonstrates high stability of angle of arrival estimates, with a standard deviation not exceeding 0.4°. The algorithm achieved a resolution of 16.1° for two sources, which surpasses the half-power beamwidth of 25.6°. The theoretical significance of this work lies in the scientific validation of combining SDR devices with the precise synchronization required for beamforming. Its practical value is in enabling the experimental testing of beamforming without the need for costly multichannel SDR hardware. Full article
(This article belongs to the Section Wireless Technologies)
Show Figures

Figure 1

17 pages, 3495 KB  
Article
Spectral-Efficient End-to-End Beamforming for 6G XL-MIMO: Synergizing Channel Sensing and Spatial–Frequency Sparsity with Deep Learning
by Ya Wen, Xiaoping Zeng and Xin Xie
Sensors 2026, 26(7), 2012; https://doi.org/10.3390/s26072012 - 24 Mar 2026
Viewed by 227
Abstract
Extremely Large-Scale Multiple-Input Multiple-Output (XL-MIMO) is positioned as a transformative technology for sixth-generation (6G) networks, effectively turning base stations into high-resolution sensing and communication hubs. However, the practical deployment of XL-MIMO is hindered by the “curse of dimensionality,” specifically the prohibitive overhead associated [...] Read more.
Extremely Large-Scale Multiple-Input Multiple-Output (XL-MIMO) is positioned as a transformative technology for sixth-generation (6G) networks, effectively turning base stations into high-resolution sensing and communication hubs. However, the practical deployment of XL-MIMO is hindered by the “curse of dimensionality,” specifically the prohibitive overhead associated with Channel State Information (CSI) sensing and feedback, alongside the computational latency of massive antenna arrays. To resolve the conflict between high-resolution sensing requirements and limited bandwidth resources, this paper proposes a novel two-stage beamforming architecture that synergizes physics-aware dimensionality reduction with deep learning. First, by exploiting the inherent sparsity of XL-MIMO channels in the angle-delay domain, we design a Spatial–Frequency Concentration Block (SFCB). This module functions as a hard-attention sensing mechanism, performing efficient source-end dimensionality reduction on raw CSI at the User Equipment (UE) via precise feature extraction and adaptive energy truncation. Second, we develop a highly adaptable Direct Integrated Precoding Network (DIP-I). Departing from the conventional “sense-reconstruct-then-precode” paradigm, DIP-I learns end-to-end mapping to directly regress the optimal precoding matrix at the Base Station (BS). Comprehensive simulations utilizing the COST 2100 and QuaDRiGa hybrid channel models demonstrate that, under a massive 512-antenna configuration, the proposed framework achieves exceptional beamforming gain. Furthermore, it significantly reduces sensing data overhead and inference latency, offering a superior trade-off between spectral efficiency and hardware resource consumption for future 6G sensing-communication integrated systems. Full article
(This article belongs to the Section Sensor Networks)
Show Figures

Figure 1

26 pages, 7722 KB  
Article
Transcriptome Analysis and Identification of Chemosensory Genes in Leguminivora glycinivorella
by Jiaqi Shi, Yuxin Zhou, Zhengxiao Du, Ruirui Li, Qi Wang, Yu Gao and Shusen Shi
Biology 2026, 15(6), 505; https://doi.org/10.3390/biology15060505 - 21 Mar 2026
Viewed by 133
Abstract
The soybean pod borer, Leguminivora glycinivorella, is a monophagous pest that threatens soybean production. Its larvae feed concealed within pods, which limits the efficacy of conventional insecticides. Elucidating its chemosensory system is therefore essential for developing green, behavior-based management strategies. Reference-based transcriptomics [...] Read more.
The soybean pod borer, Leguminivora glycinivorella, is a monophagous pest that threatens soybean production. Its larvae feed concealed within pods, which limits the efficacy of conventional insecticides. Elucidating its chemosensory system is therefore essential for developing green, behavior-based management strategies. Reference-based transcriptomics across multiple tissues of L. glycinivorella identified a comprehensive repertoire of chemosensory genes, including 76 odorant receptors (ORs), 15 gustatory receptors (GRs), 18 ionotropic receptors (IRs), 52 odorant-binding proteins (OBPs), 18 chemosensory proteins (CSPs), and 4 sensory neuron membrane proteins (SNMPs). Sequence and phylogenetic analyses characterized these candidates within the context of known insect chemosensory families. Notably, canonical bitter GRs and specific IR lineages (e.g., IR100/IR85a) were not detected in our dataset, potentially reflecting adaptation to the specialized soybean-feeding habit of this pest. Expression profiling further revealed pronounced sexual and tissue dimorphism: male antennae showed significant enrichment of putative pheromone receptors (PRs) and LglySNMP1, whereas several OBPs and ORs exhibited female-biased expression, suggesting roles in host location and oviposition. Additionally, the high expression of GR43a homologs points to fructose sensing, while the lack of detectable CO2 receptor components (except LglyGR2) suggests atypical carbon dioxide perception mechanisms. Collectively, this study provides a valuable expression atlas of chemosensory genes in L. glycinivorella and identifies sex-specific candidate genes for future functional validation and behavior-based pest management. Full article
(This article belongs to the Special Issue The Biology, Ecology, and Management of Plant Pests)
Show Figures

Figure 1

18 pages, 3864 KB  
Article
Concept of Planar Waveguide-Based m × n Terahertz Power Combiner
by Rihab Hamad, Israa Mohammad, Thomas Haddad, Sumer Makhlouf, Tim Brüning and Andreas Stöhr
Sensors 2026, 26(6), 1965; https://doi.org/10.3390/s26061965 - 21 Mar 2026
Viewed by 123
Abstract
This paper presents the concept of a 2D m × n waveguide-based power combiner (PC) that is scalable with respect to the operating frequency band and number of input ports. To our knowledge, this work reports the first planar (2D) power combiner, where [...] Read more.
This paper presents the concept of a 2D m × n waveguide-based power combiner (PC) that is scalable with respect to the operating frequency band and number of input ports. To our knowledge, this work reports the first planar (2D) power combiner, where the input waveguide ports are distributed in two spatial dimensions to form an array, rather than arranged along a single linear (1D) axis as in conventional corporate or cascaded waveguide combiners. The novelty of the approach relies on using H-plane rectangular waveguide T-junctions and low-loss polarization twisters in between vertically stacked T-junctions to facilitate scalability. The work is motivated by the aim to coherently combine the output power of multiple modified uni-traveling carrier (MUTC) terahertz (THz) waveguide photodiodes (PDs) in a 2D array configuration. In the manuscript, the design of a 2 × 2 planar waveguide power combiner for the WR3 band (220–320 GHz) is reported, and it is also shown that this block can be further extended to m × n input ports. Full-wave numerical analysis of the proposed 2 × 2 power combiner shows a return loss of 11 dB at the output port and an average transmission coefficient of about −6.5 dB, i.e., an overall power combining efficiency of ~90%. Furthermore, to enable 2D photodiode array integration, the manuscript presents a new slot-bow tie antenna integrated MUTC photodiode for radiating the optically generated THz power from each PD vertically into the rectangular waveguide. The simulation results of reflection loss and insertion loss for the slot bow-tie antenna are shown to be better than 10 dB and 1.4 dB over the full WR3 band, respectively. To prove scalability of the power combiner concept w.r.t. the number of input ports, a 2 × 4 power combiner is also analyzed. Results reveal a return loss better than 10 dB from 225 to 318 GHz and a transmission coefficient of approximately −9.7 dB at 300 GHz, i.e., a power combining efficiency of ~85%. Full article
(This article belongs to the Section Physical Sensors)
Show Figures

Figure 1

26 pages, 9569 KB  
Article
Volatiles Released by the Endophytic Fungus Alternaria alstroemeriae from Vaccinium dunalianum Promote the Growth of Arabidopsis thaliana and Nicotiana benthamiana
by Yueyun Zhang, Wenhang Yin, Boyu Wu, Zhiyu Zhang, Guolei Zhu, Xiaoqin Yang, Fanrui Zhou, Imran Haider Shamsi, Ping Zhao and Lihua Zou
Microorganisms 2026, 14(3), 639; https://doi.org/10.3390/microorganisms14030639 - 12 Mar 2026
Viewed by 264
Abstract
The study of volatile organic compounds (VOCs)-mediated plant growth promotion has long focused on various beneficial microbial species. As an important natural source of functional biomolecules, the biological function and potential value of VOCs released by plant pathogenic fungi in regulating plant growth [...] Read more.
The study of volatile organic compounds (VOCs)-mediated plant growth promotion has long focused on various beneficial microbial species. As an important natural source of functional biomolecules, the biological function and potential value of VOCs released by plant pathogenic fungi in regulating plant growth still lack sufficient research, and further exploration is needed. In this study, a phytopathogenic fungus Alternaria alstroemeriae (strain Z84) was isolated from Vaccinium dunalianum for the first time, and the effects of its VOCs on the growth of Arabidopsis thaliana and Nicotiana benthamiana were systematically investigated. The results showed that after Z84 VOCs treatment, multiple phenotypic traits of the two plants were significantly improved, and the chlorophyll content was also markedly increased. Transcriptome analysis showed that a total of 1401 differentially expressed genes (DEGs) were identified in the treated A. thaliana, of which 629 were up-regulated and 772 were down-regulated. KEGG enrichment analysis showed that these DEGs were mainly enriched in photosynthesis-antenna proteins, plant–pathogen interaction, glutathione metabolism, plant hormone signal transduction, flavonoid biosynthesis and photosynthesis-related pathways. Metabolomics analysis revealed that Z84 VOCs treatment significantly changed the metabolic profile of A. thaliana, with the most significant changes in amino acid metabolism-related pathways. It is noteworthy that the plant hormone spectrum of A. thaliana was significantly changed after treatment, and the contents of salicylic acid (SA), abscisic acid (ABA) and gibberellins (GAs) were significantly up-regulated. These results not only demonstrate the potential of Z84-derived VOCs to facilitate plant growth but also provide an important basis for further dissecting the molecular mechanisms of plant–pathogenic fungi interactions. Full article
(This article belongs to the Section Plant Microbe Interactions)
Show Figures

Figure 1

44 pages, 7343 KB  
Review
Research Progress on 6G Communication Antenna Technology
by Guanyao Li and Mai Lu
Electronics 2026, 15(6), 1173; https://doi.org/10.3390/electronics15061173 - 11 Mar 2026
Viewed by 484
Abstract
With the deepening of fifth-generation mobile communication technology (5G) commercialization and the surge in demand for intelligent connectivity of all things, the sixth-generation mobile communication technology (6G) has entered a phase of technological breakthroughs. The innovation in antenna design will determine the upper [...] Read more.
With the deepening of fifth-generation mobile communication technology (5G) commercialization and the surge in demand for intelligent connectivity of all things, the sixth-generation mobile communication technology (6G) has entered a phase of technological breakthroughs. The innovation in antenna design will determine the upper limits of 6G communication. This paper systematically reviews the research progress on antenna technology for 6G communications, focusing on operating frequency bands, antenna structure design, and materials and packaging technologies. The development of 6G communication technology drives antenna research toward higher-frequency bands, with the current research focus extending from the millimeter wave (mmWave) band to the terahertz (THz) band. Compared to the traditional mmWave band, the THz band shows significant advantages in performance indicators. At the antenna structure level, its development trend is mainly reflected in the following three aspects: size miniaturization, scale expansion and distributed deployment, and expansion of frequency bands and functions. New materials and advanced packaging have become key enabling technologies: materials with low-loss characteristics and tunable surface conductivity have become research focuses. Meanwhile, advanced packaging processes achieve miniaturization and high-performance integration of antenna systems. This review aims to provide a systematic technical reference for the research and engineering development of next-generation 6G antennas. Full article
(This article belongs to the Section Microwave and Wireless Communications)
Show Figures

Figure 1

20 pages, 4118 KB  
Article
Optimization of Sum-Rate for Downlink Transmission in Hybrid RIS-Assisted MISO Systems
by Wei Pang and Ying Zhang
Telecom 2026, 7(2), 26; https://doi.org/10.3390/telecom7020026 - 3 Mar 2026
Viewed by 219
Abstract
Reconfigurable intelligent surfaces (RISs) hold promising technical prospects for 6G wireless communications to enhance system capacity, coverage and sum-rate. Unlike existing studies deploying only passive or active RISs, this paper adopts a novel hybrid RIS architecture that optimally allocates the number of active [...] Read more.
Reconfigurable intelligent surfaces (RISs) hold promising technical prospects for 6G wireless communications to enhance system capacity, coverage and sum-rate. Unlike existing studies deploying only passive or active RISs, this paper adopts a novel hybrid RIS architecture that optimally allocates the number of active and passive elements. Under fixed quantities of both RIS element types in the fixed hybrid RIS, it simultaneously increases the number of base station antennas and served users, focusing on solving rate optimization for hybrid RIS-assisted MISO systems deployed in various scenarios. This paper establishes a fundamental model for hybrid RIS reflection signals. To better characterize the performance of the proposed hybrid RIS architecture, an optimization problem is formulated to maximize the sum-rate of the hybrid RIS-assisted multi-user, multiple-input, single-output (MU-MISO) system. An efficient algorithm is proposed combining fractional programming (FP), alternating optimization, and Lagrange duality transformation. Simulation results demonstrate that with hybrid RIS assistance, the system’s sum-rate gain increases by 49.1% and 40%, respectively, compared to systems with only active RIS deployment. This achieves higher sum-rate gains at lower power consumption. Full article
Show Figures

Figure 1

17 pages, 2699 KB  
Article
Multiantenna NOMA with Finite Blocklength: A Pragmatic Paradigm for Ultra-Dense Networking
by Haoming Wang, Zhenzhen Zhang, Xinhao Wu and Bing Li
Entropy 2026, 28(3), 281; https://doi.org/10.3390/e28030281 - 1 Mar 2026
Viewed by 292
Abstract
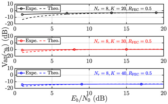
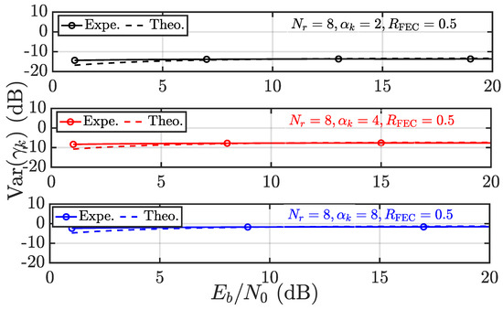
This paper addresses the design and performance analysis of nonorthogonal multiple access (NOMA) for ultra-dense networking of the Internet of Things (IoT) based on low-power sensors. The proposed NOMA schemes consist of an Nr-antenna access point and K single antenna sensors [...] Read more.
This paper addresses the design and performance analysis of nonorthogonal multiple access (NOMA) for ultra-dense networking of the Internet of Things (IoT) based on low-power sensors. The proposed NOMA schemes consist of an Nr-antenna access point and K single antenna sensors given KNr. A power allocation technique and forward error correction (FEC) are combined to enable concurrent uplink transmission and the successful separation of all K sensors at the access point. In scenarios where KNr, large dimensional analysis is employed to derive a deterministic expression for the received signal-to-interference-plus-noise ratio (SINR) within the finite blocklength regime. Three distinct Forward Error Correction (FEC) codes—convolutional codes (CCs), polar codes, and low-density parity-check codes (LDPCs)—are assessed. These evaluations indicate that all three codes achieve near-capacity performance while supporting massive connectivity in the finite-blocklength context. Notably, convolutional codes demonstrate comparable performance with reduced complexity, a desirable attribute for prolonging the life cycle of wireless sensor network-based IoT applications. Full article
(This article belongs to the Special Issue Next-Generation Multiple Access for Future Wireless Communications)
Show Figures

Figure 1

15 pages, 7961 KB  
Article
A Compact Single-Resonator Dual-Port Circularly Polarized MIMO Dielectric Resonator Antenna for 28 GHz Applications
by Sumer Singh Singhwal and Ladislau Matekovits
Electronics 2026, 15(5), 977; https://doi.org/10.3390/electronics15050977 - 27 Feb 2026
Viewed by 290
Abstract
A compact dual-port circularly polarized (CP) multiple-input multiple-output (MIMO) dielectric resonator antenna (DRA) for 28 GHz applications is presented. A single cross-shaped dielectric resonator is excited by two orthogonal microstrip feeds, supporting hybrid orthogonal modes that enable CP radiation at both ports without [...] Read more.
A compact dual-port circularly polarized (CP) multiple-input multiple-output (MIMO) dielectric resonator antenna (DRA) for 28 GHz applications is presented. A single cross-shaped dielectric resonator is excited by two orthogonal microstrip feeds, supporting hybrid orthogonal modes that enable CP radiation at both ports without requiring perturbation cuts, parasitic elements, or decoupling structures. The fabricated prototype exhibits a measured 10 dB impedance bandwidth and 3 dB axial ratio bandwidth that fully cover the Federal Communications Commission (FCC)-allocated 28 GHz band (27.5–28.35 GHz). Port isolation remains better than 15 dB, and the antenna exhibits a peak gain of approximately 7.6 dBi with radiation efficiency exceeding 93%, within a compact 40 × 47 mm2 footprint. MIMO performance is verified through envelope correlation coefficient (ECC), diversity gain (DG), and total active reflection coefficient (TARC). The results demonstrate that the proposed single-resonator dual-port CP DRA provides an efficient and integration-friendly solution for compact mmWave MIMO applications in next-generation 5G/6G terminals. Full article
Show Figures

Figure 1

10 pages, 2091 KB  
Article
Central Projections of Antennal Sensory Neurons in the Aphid Myzus persicae
by Baiwei Ma, Jing Li, Feiyue Ding, Xi Chu, Xiaoyan Zhu, Shuai Liu, Guirong Wang, Qi Chen and Bingzhong Ren
Insects 2026, 17(3), 249; https://doi.org/10.3390/insects17030249 - 27 Feb 2026
Viewed by 525
Abstract
The aphid Myzus persicae is an important agricultural pest relying on olfactory cues to find food and escape from predators. The considerable difficulty of anatomical manipulation and other related technical challenges may underlie the absence of studies systematically mapping the central projections of [...] Read more.
The aphid Myzus persicae is an important agricultural pest relying on olfactory cues to find food and escape from predators. The considerable difficulty of anatomical manipulation and other related technical challenges may underlie the absence of studies systematically mapping the central projections of antennal sensory neurons in its central nervous system. We used mass stain, immunohistochemistry, laser scanning confocal microscope and three-dimensional reconstruction techniques to trace the central projections of sensory neurons from the antennae. The ipsilateral antennal nerve targets mainly the antennal lobe, the antennal mechanosensory and motor center, and most neuromeres of the ventral nerve cord. There are also several axons that project to other regions, like the contralateral antennal lobe, the contralateral antennal nerve, the ipsilateral calyx and some region of the protocerebrum. The numerous neuropils innervated by axons from the antenna indicate the multiple roles that this sensory organ serves in insect behavior, and the results which provide information about the basic anatomical arrangement of the olfactory nervous system in aphid M. persicae may provide some basic knowledge for the further investigations of the aphid. Full article
(This article belongs to the Special Issue Insect Sensory Biology—2nd Edition)
Show Figures

Graphical abstract

23 pages, 531 KB  
Article
Beacon-Aided Self-Calibration and Robust MVDR Beamforming for UAV Swarm Virtual Arrays Under Formation Drift and Low Snapshots
by Siming Chen, Xin Zhang, Shujie Li, Zichun Wang and Weibo Deng
Drones 2026, 10(3), 157; https://doi.org/10.3390/drones10030157 - 26 Feb 2026
Viewed by 339
Abstract
Unmanned aerial vehicle (UAV) swarms can form sparse virtual antenna arrays (VAAs) for airborne sensing and communications, but their beamforming performance is highly vulnerable to quasi-static formation drift and the limited number of snapshots available within each coherent processing interval. This paper proposes [...] Read more.
Unmanned aerial vehicle (UAV) swarms can form sparse virtual antenna arrays (VAAs) for airborne sensing and communications, but their beamforming performance is highly vulnerable to quasi-static formation drift and the limited number of snapshots available within each coherent processing interval. This paper proposes a beacon-aided self-calibration and robust beamforming framework for narrowband UAV-swarm uplinks in strong-interference, low-snapshot regimes. We consider one signal of interest (SOI) and multiple co-channel interferers characterized by their coarse direction-of-arrival (DOA) information. The key idea is to exploit a single dominant non-SOI emitter as a strong calibration source (beacon) to learn the quasi-static geometry drift from data. First, the beacon spatial signature is extracted from the sample covariance matrix via eigenvector–steering-vector alignment, and a correlation-based gate is used to decide whether geometry calibration is reliable. When the gate is passed, the inter-UAV position drift is estimated from element-wise steering ratios to build a calibrated array manifold. Second, using the calibrated steering vectors and coarse DOA information, the interference-plus-noise covariance matrix (INCM) is reconstructed through a low-dimensional non-negative power fitting with mild diagonal loading. Finally, a geometry-aware minimum-variance distortionless response (MVDR) beamformer is designed based on the reconstructed INCM. Simulations on coprime-inspired UAV formations with a single dominant interferer show that the proposed scheme recovers most of the SINR loss caused by geometry mismatch and consistently outperforms baseline MVDR, worst-case MVDR, a recent covariance-reconstruction baseline, and URGLQ in the low-snapshot regime. For example, in a representative setting with Nuav=7, σp=0.10, INRc=30 dB, and L=10, the proposed method achieves approximately 14 dB output SINR at SNRin=10 dB, outperforming nominal SCM-MVDR by about 13 dB and approaching a genie-aided MVDR bound within a few dB, while retaining a computational complexity comparable to standard MVDR. Full article
(This article belongs to the Special Issue Optimizing MIMO Systems for UAV Communication Networks)
Show Figures

Figure 1

Back to TopTop