Sign in to use this feature.

Years

Between: -

Subjects

remove_circle_outline
remove_circle_outline
remove_circle_outline

Journals

Article Types

Countries / Regions

Search Results (1)

Search Parameters:
Keywords = modular three-phase permanent magnet synchronous motor (PMSM), finite element analysis

Order results
Result details
Results per page
Select all
Export citation of selected articles as:
20 pages, 19820 KB  
Article
Characteristic Analysis and Predictive Torque Control of the Modular Three-Phase PMSM for Low-Voltage High Power Application
by Zhimeng Rao, Wenjuan Zhang, Gongping Wu, Jian Zheng and Shoudao Huang
Energies 2020, 13(21), 5606; https://doi.org/10.3390/en13215606 - 27 Oct 2020
Cited by 10 | Viewed by 3248
Abstract
In this study, a novel modular three-phase permanent magnet synchronous motor (PMSM) is proposed for low-voltage high power applications. The proposed modular three-phase PMSM has an independent segregated three-phase winding configuration, facilitating the implementation of the control algorithm. Firstly, on the basis of [...] Read more.
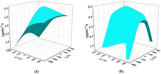
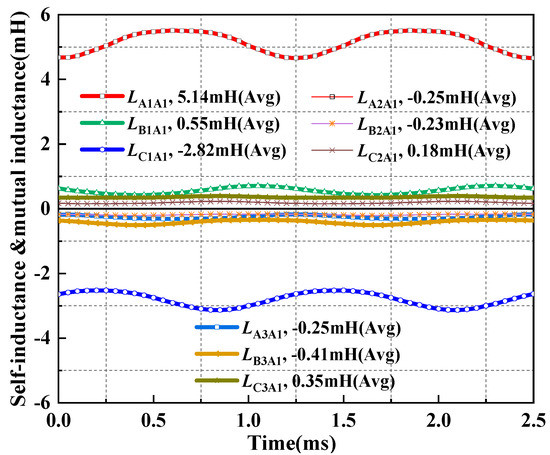
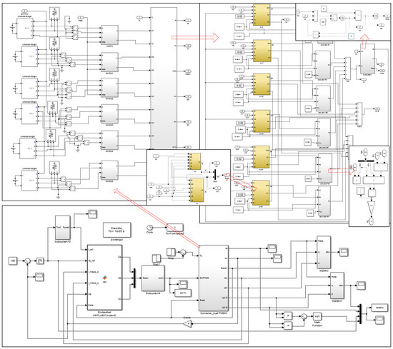
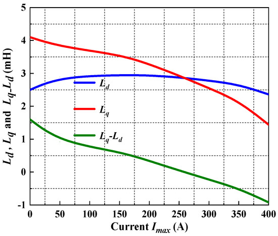
In this study, a novel modular three-phase permanent magnet synchronous motor (PMSM) is proposed for low-voltage high power applications. The proposed modular three-phase PMSM has an independent segregated three-phase winding configuration, facilitating the implementation of the control algorithm. Firstly, on the basis of the electromagnetic properties, the mathematical model of the modular three-phase PMSM is established, considering the asymmetrical mutual inductances investigated by finite element analysis (FEA). Then, the predictive torque control (PTC) method combining the inductance characteristics of modular three-phase PMSM is developed, and excellent performance is obtained by adjusting the stator flux and torque. Finally, simulation and experiment are performed, and the results show that the proposed novel modular three-phase PMSM with the PTC method exhibits excellent control performance, and small stator current total harmonic distortion (THD). Full article
(This article belongs to the Section A1: Smart Grids and Microgrids)
Show Figures

Figure 1

Back to TopTop