Sign in to use this feature.

Years

Between: -

Subjects

remove_circle_outline
remove_circle_outline
remove_circle_outline
remove_circle_outline
remove_circle_outline
remove_circle_outline
remove_circle_outline
remove_circle_outline
remove_circle_outline

Journals

remove_circle_outline
remove_circle_outline
remove_circle_outline
remove_circle_outline
remove_circle_outline
remove_circle_outline
remove_circle_outline
remove_circle_outline
remove_circle_outline
remove_circle_outline
remove_circle_outline
remove_circle_outline
remove_circle_outline
remove_circle_outline
remove_circle_outline
remove_circle_outline
remove_circle_outline

Article Types

Countries / Regions

remove_circle_outline
remove_circle_outline
remove_circle_outline
remove_circle_outline
remove_circle_outline
remove_circle_outline

Search Results (1,119)

Search Parameters:
Keywords = mobility metric

Order results
Result details
Results per page
Select all
Export citation of selected articles as:
23 pages, 1310 KB  
Article
Thematic Coherence in Mission-Oriented EU Energy Policy: A Network-Based Analysis of Horizon Europe’s Sustainability Funding Calls
by César Palmero, Nieves Arranz and Marta F. Arroyabe
Sustainability 2025, 17(20), 9025; https://doi.org/10.3390/su17209025 (registering DOI) - 12 Oct 2025
Abstract
While Horizon Europe is expected to turn the European Union’s Mission-Oriented Innovation Policy (MOIP) into concrete actions, little is known about how coherently its funding calls translate high-level ambitions into effective guidance. To address this, we move beyond the traditional focus on funded [...] Read more.
While Horizon Europe is expected to turn the European Union’s Mission-Oriented Innovation Policy (MOIP) into concrete actions, little is known about how coherently its funding calls translate high-level ambitions into effective guidance. To address this, we move beyond the traditional focus on funded projects and offer the first systematic analysis of Horizon Europe call texts as cognitive artefacts of policy design. Using Textual Network Analysis (TNA) on 188 calls of Cluster 5 (“Climate, Energy and Mobility”) in the 2021–2022 Work Programme, we compare Scope and Expected Outcomes texts. We constructed weighted co-occurrence networks and calculated centrality, community structure, and assortativity metrics. Results reveal clear differences between layers: Scope texts show stronger clustering of technical domains (modularity 0.54, assortativity +0.206), while Outcomes present weaker clustering (modularity 0.50, assortativity −0.035), reflecting convergence around high-level impacts. Across both layers, a small set of hubs (“renewable energy”, “climate change”, “emissions”) dominates, with high-betweenness terms bridging siloed domains; peripheral concepts remain weakly linked. The study contributes a novel framework for analysing the architecture of funding calls and demonstrates the utility of centrality metrics for policymakers to identify conceptual gaps and guide future Work Programme design, as well as for applicants optimising their proposal writing. Full article
Show Figures

Figure 1

21 pages, 12150 KB  
Article
A Registration Method for ULS-MLS Data in High-Canopy-Density Forests Based on Feature Deviation Metric
by Houyu Liang, Xiang Zhou, Tingting Lv, Qingwang Liu, Zui Tao and Hongming Zhang
Remote Sens. 2025, 17(20), 3403; https://doi.org/10.3390/rs17203403 (registering DOI) - 11 Oct 2025
Abstract
The integration of unmanned aerial vehicle-based laser scanning (ULS) and mobile laser scanning (MLS) enables the detection of forest three-dimensional structure in high-density canopy areas and has become an important tool for monitoring and managing forest ecosystems. However, MLS faces difficulties in positioning [...] Read more.
The integration of unmanned aerial vehicle-based laser scanning (ULS) and mobile laser scanning (MLS) enables the detection of forest three-dimensional structure in high-density canopy areas and has become an important tool for monitoring and managing forest ecosystems. However, MLS faces difficulties in positioning due to canopy occlusion, making integration challenging. Due to the variations in observation platforms, ULS and MLS point clouds exhibit significant structural discrepancies and limited overlapping areas, necessitating effective methods for feature extraction and correspondence establishment between these features to achieve high-precision registration and integration. Therefore, we propose a registration algorithm that introduces a Feature Deviation Metric to enable feature extraction and correspondence construction for forest point clouds in complex regional environments. The algorithm first extracts surface point clouds using the hidden point algorithm. Then, it applies the proposed dual-threshold method to cluster individual tree features in ULS, using cylindrical detection to construct a Feature Deviation Metric from the feature points and surface point clouds. Finally, an optimization algorithm is employed to match the optimal Feature Deviation Metric for registration. Experiments were conducted in 8 stratified mixed tropical rainforest plots with complex mixed-species canopies in Malaysia and 6 structurally simple, high-canopy-density pure forest plots in anorthern China. Our algorithm achieved an average RMSE of 0.17 m in eight tropical rainforest plots with an average canopy density of 0.93, and an RMSE of 0.05 m in six northern forest plots in China with an average canopy density of 0.75, demonstrating high registration capability. Additionally, we also conducted comparative and adaptability analyses, and the results indicate that the proposed model exhibits high accuracy, efficiency, and stability in high-canopy-density forest areas. Moreover, it shows promise for high-precision ULS-MLS registration in a wider range of forest types in the future. Full article
12 pages, 507 KB  
Article
Clinical Assessment of a Virtual Reality Perimeter Versus the Humphrey Field Analyzer: Comparative Reliability, Usability, and Prospective Applications
by Marco Zeppieri, Caterina Gagliano, Francesco Cappellani, Federico Visalli, Fabiana D’Esposito, Alessandro Avitabile, Roberta Amato, Alessandra Cuna and Francesco Pellegrini
Vision 2025, 9(4), 86; https://doi.org/10.3390/vision9040086 (registering DOI) - 11 Oct 2025
Abstract
Background: This study compared the performance of a Head-mounted Virtual Reality Perimeter (HVRP) with the Humphrey Field Analyzer (HFA), the standard in automated perimetry. The HFA is the established standard for automated perimetry but is constrained by lengthy testing, bulky equipment, and limited [...] Read more.
Background: This study compared the performance of a Head-mounted Virtual Reality Perimeter (HVRP) with the Humphrey Field Analyzer (HFA), the standard in automated perimetry. The HFA is the established standard for automated perimetry but is constrained by lengthy testing, bulky equipment, and limited patient comfort. Comparative data on newer head-mounted virtual reality perimeters are limited, leaving uncertainty about their clinical reliability and potential advantages. Aim: The aim was to evaluate parameters such as visual field outcomes, portability, patient comfort, eye tracking, and usability. Methods: Participants underwent testing with both devices, assessing metrics like mean deviation (MD), pattern standard deviation (PSD), and duration. Results: The HVRP demonstrated small but statistically significant differences in MD and PSD compared to the HFA, while maintaining a consistent trend across participants. MD values were slightly more negative for HFA than HVRP (average difference −0.60 dB, p = 0.0006), while pattern standard deviation was marginally higher with HFA (average difference 0.38 dB, p = 0.00018). Although statistically significant, these differences were small in magnitude and do not undermine the clinical utility or reproducibility of the device. Notably, HVRP showed markedly shorter testing times with HVRP (7.15 vs. 18.11 min, mean difference 10.96 min, p < 0.0001). Its lightweight, portable design allowed for bedside and home testing, enhancing accessibility for pediatric, geriatric, and mobility-impaired patients. Participants reported greater comfort due to the headset design, which eliminated the need for chin rests. The device also offers potential for AI integration and remote data analysis. Conclusions: The HVRP proved to be a reliable, user-friendly alternative to traditional perimetry. Its advantages in comfort, portability, and test efficiency support its use in both clinical settings and remote screening programs for visual field assessment. Its portability and user-friendly design support broader use in clinical practice and expand possibilities for bedside assessment, home monitoring, and remote screening, particularly in populations with limited access to conventional perimetry. Full article
Show Figures

Figure 1

28 pages, 4254 KB  
Article
An Integrated Isochrone-Based Geospatial Analysis of Mobility Policies and Vulnerability Hotspots in the Lazio Region, Italy
by Alessio D’Auria, Irina Di Ruocco and Antonio Gioia
ISPRS Int. J. Geo-Inf. 2025, 14(10), 395; https://doi.org/10.3390/ijgi14100395 (registering DOI) - 10 Oct 2025
Abstract
Areas characterised by high ecological and cultural value are increasingly exposed to overtourism and intensifying land-use pressures, often exacerbated by mobility policies aimed at enhancing regional accessibility and promoting tourism. These dynamics create spatial tensions, particularly in environmentally sensitive areas such as those [...] Read more.
Areas characterised by high ecological and cultural value are increasingly exposed to overtourism and intensifying land-use pressures, often exacerbated by mobility policies aimed at enhancing regional accessibility and promoting tourism. These dynamics create spatial tensions, particularly in environmentally sensitive areas such as those within the Natura 2000 network and Sites of Community Importance (SCIs), where intensified visitor flows, and infrastructure expansion can disrupt the balance between conservation and development. This study offers a geospatial analysis of the current state (2024) of such dynamics in the Lazio Region (Italy), evaluating the effects of mobility strategies on ecological vulnerability and tourism pressure. By applying isochrone-based accessibility modelling, GIS buffer analysis, and spatial overlays, the research maps the intersection of accessibility, heritage value, and environmental sensitivity. The methodology enables the identification of critical zones where accessibility improvements coincide with heightened ecological risk and tourism-related stress. The original contribution of this work lies in its integrated spatial framework, which combines accessibility metrics with indicators of ecological and heritage significance to visualise and assess emerging risk areas. The Lazio Region, distinguished by its heterogeneous landscapes and ambitious mobility planning initiatives, constitutes a significant case study for examining how policy-driven improvements in transport infrastructure may inadvertently exacerbate spatial disparities and intensify ecological vulnerabilities in peripheral and sensitive territorial contexts. The findings support the formulation of adaptive, place-based policy recommendations aimed at mitigating the unintended consequences of accessibility-led tourism strategies. These include prioritising soft mobility, enhancing regulatory protection in high-risk zones, and fostering coordinated governance across sectors. Ultimately, the study advances a replicable methodology to inform sustainable territorial governance and balance tourism development with environmental preservation. Full article
Show Figures

Figure 1

24 pages, 3291 KB  
Article
SVMobileNetV2: A Hybrid and Hierarchical CNN-SVM Network Architecture Utilising UAV-Based Multispectral Images and IoT Nodes for the Precise Classification of Crop Diseases
by Rafael Linero-Ramos, Carlos Parra-Rodríguez and Mario Gongora
AgriEngineering 2025, 7(10), 341; https://doi.org/10.3390/agriengineering7100341 - 10 Oct 2025
Abstract
This paper presents a novel hybrid and hierarchical architecture of a Convolutional Neural Network (CNN), based on MobileNetV2 and Support Vector Machines (SVM) for the classification of crop diseases (SVMobileNetV2). The system feeds from multispectral images captured by Unmanned Aerial Vehicles (UAVs) alongside [...] Read more.
This paper presents a novel hybrid and hierarchical architecture of a Convolutional Neural Network (CNN), based on MobileNetV2 and Support Vector Machines (SVM) for the classification of crop diseases (SVMobileNetV2). The system feeds from multispectral images captured by Unmanned Aerial Vehicles (UAVs) alongside data from IoT nodes. The primary objective is to improve classification performance in terms of both accuracy and precision. This is achieved by integrating contemporary Deep Learning techniques, specifically different CNN models, a prevalent type of artificial neural network composed of multiple interconnected layers, tailored for the analysis of agricultural imagery. The initial layers are responsible for identifying basic visual features such as edges and contours, while deeper layers progressively extract more abstract and complex patterns, enabling the recognition of intricate shapes. In this study, different datasets of tropical crop images, in this case banana crops, were constructed to evaluate the performance and accuracy of CNNs in detecting diseases in the crops, supported by transfer learning. For this, multispectral images are used to create false-color images to discriminate disease through spectra related to the blue, green and red colors in addition to red edge and near-infrared. Moreover, we used IoT nodes to include environmental data related to the temperature and humidity of the environment and the soil. Machine Learning models were evaluated and fine-tuned using standard evaluation metrics. For classification, we used fundamental metrics such as accuracy, precision, and the confusion matrix; in this study was obtained a performance of up to 86.5% using current deep learning models and up to 98.5% accuracy using the proposed hybrid and hierarchical architecture (SVMobileNetV2). This represents a new paradigm to significantly improve classification using the proposed hybrid CNN-SVM architecture and UAV-based multispectral images. Full article
31 pages, 4294 KB  
Article
Comparative Analysis of Machine Learning Algorithms for Sustainable Attack Detection in Intelligent Transportation Systems Using Long-Range Sensor Network Technology
by Zbigniew Kasprzyk and Mariusz Rychlicki
Sustainability 2025, 17(20), 8985; https://doi.org/10.3390/su17208985 (registering DOI) - 10 Oct 2025
Abstract
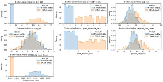
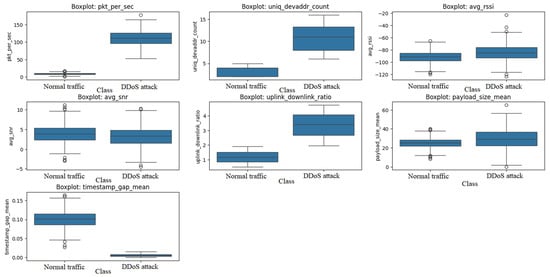
Intelligent transportation systems (ITS) play a crucial role in building sustainable and resilient urban mobility by improving traffic efficiency, reducing energy consumption, and lowering emissions. The integration of IoT technologies, particularly long-range low-power networks such as LoRaWAN, enables energy-efficient communication between vehicles and [...] Read more.
Intelligent transportation systems (ITS) play a crucial role in building sustainable and resilient urban mobility by improving traffic efficiency, reducing energy consumption, and lowering emissions. The integration of IoT technologies, particularly long-range low-power networks such as LoRaWAN, enables energy-efficient communication between vehicles and road infrastructure, supporting the sustainability goals of smart cities. However, the widespread deployment of IoT devices also introduces significant cybersecurity risks that may compromise the safety, reliability, and long-term sustainability of transportation systems. To address this challenge, we propose a method for generating synthetic network data that simulates normal traffic and DDoS attacks by randomly selecting distribution parameters for features like packets per second and unique device addresses, enabling evaluation of machine learning algorithms (e.g., Gradient Boosting, Random Forest, SVM, XGBoost) using F1-score and AUC metrics in a controlled environment. By enhancing cybersecurity and resilience in ITS, our research contributes to the development of safer, more energy-efficient, and sustainable transportation infrastructures. Full article
Show Figures

Figure 1

26 pages, 1646 KB  
Article
Message Passing-Based Assignment for Efficient Handover Management in LEO Networks
by Gilang Raka Rayuda Dewa, Illsoo Sohn and Djati Wibowo Djamari
Telecom 2025, 6(4), 76; https://doi.org/10.3390/telecom6040076 - 10 Oct 2025
Abstract
As part of non-terrestrial networks (NTN), the Low Earth Orbit (LEO) plays a critical role in supporting high-throughput wireless communication. However, the high-speed mobility of LEO satellites, coupled with the high density of user terminals, makes efficient user assignment crucial in maintaining overall [...] Read more.
As part of non-terrestrial networks (NTN), the Low Earth Orbit (LEO) plays a critical role in supporting high-throughput wireless communication. However, the high-speed mobility of LEO satellites, coupled with the high density of user terminals, makes efficient user assignment crucial in maintaining overall wireless performance. The suboptimal assignment from LEO satellites to user terminals can result in frequent unnecessary handovers, rendering the user terminal unable to receive the entire downlink signal. Consequently, it reduces user rate and user satisfaction metrics. However, finding the optimum user assignment to reduce handover issues is categorized as a non-linear programming problem with a combinatorial number of possible solutions, resulting in excessive computational complexity. Therefore, this study proposes a distributed user assignment for the LEO networks. By utilizing message-passing frameworks that map the optimization problem into a graphical representation, the proposed algorithm splits the optimization problem into a local mapping issue, thereby significantly reducing computational complexity. By exchanging small messages iteratively, the proposed algorithm autonomously determines the near-optimal solution. The extensive simulation results demonstrate that the proposed algorithm significantly outperforms the conventional algorithm in terms of user rate and user satisfaction metric under various wireless parameters. Full article
Show Figures

Figure 1

38 pages, 1831 KB  
Review
Traffic Scheduling and Resource Allocation for Heterogeneous Services in 5G New Radio Networks: A Scoping Review
by Ntunitangua René Pindi and Fernando J. Velez
Smart Cities 2025, 8(5), 168; https://doi.org/10.3390/smartcities8050168 - 10 Oct 2025
Abstract
The rapid evolution of 5G New Radio networks has introduced a wide range of services with diverse requirements, complicating their coexistence within the shared radio spectrum and posing challenges in traffic scheduling and resource allocation. This study aims to analyze and categorize the [...] Read more.
The rapid evolution of 5G New Radio networks has introduced a wide range of services with diverse requirements, complicating their coexistence within the shared radio spectrum and posing challenges in traffic scheduling and resource allocation. This study aims to analyze and categorize the methods, approaches, and techniques proposed to ensure efficient joint and dynamic packet scheduling and resource allocation among heterogeneous services—namely eMBB, URLLC, and mMTC—in 5G and beyond, with a focus on Quality of Service and user satisfaction. This scoping review draws from publications indexed in IEEE Xplore and Scopus and synthesizes the most relevant evidence related to packet scheduling across heterogeneous services, highlighting key approaches, core performance metrics, and emerging trends. Following the PRISMA-ScR methodology, 48 out of an initial 140 articles were included for explicitly addressing coexistence, scheduling, and resource allocation. The findings reveal a research emphasis on eMBB and URLLC coexistence, while integration with mMTC remains underexplored. Moreover, the evidence suggests that hybrid and deep learning-based approaches are particularly promising for tackling coexistence and resource management challenges in future mobile networks. Full article
(This article belongs to the Section Internet of Things)
Show Figures

Figure 1

30 pages, 6170 KB  
Article
Resource Scheduling Algorithm for Edge Computing Networks Based on Multi-Objective Optimization
by Wenrui Liu, Jiale Zhu, Xiangming Li, Yichao Fei, Hai Wang, Shangdong Liu, Xiaoyao Zheng and Yimu Ji
Appl. Sci. 2025, 15(19), 10837; https://doi.org/10.3390/app151910837 - 9 Oct 2025
Abstract
Edge computing networks represent an emerging technological paradigm that enhances real-time responsiveness for mobile devices by reallocating computational resources from central servers to the network’s edge. This shift enables more efficient computing services for mobile devices. However, deploying computing services on inappropriate edge [...] Read more.
Edge computing networks represent an emerging technological paradigm that enhances real-time responsiveness for mobile devices by reallocating computational resources from central servers to the network’s edge. This shift enables more efficient computing services for mobile devices. However, deploying computing services on inappropriate edge nodes can result in imbalanced resource utilization within edge computing networks, ultimately compromising service efficiency. Consequently, effectively leveraging the resources of edge computing devices while minimizing the energy consumption of terminal devices has become a critical issue in resource scheduling for edge computing. To tackle these challenges, this paper proposes a resource scheduling algorithm for edge computing networks based on multi-objective optimization. This approach utilizes the entropy weight method to assess both dynamic and static metrics of edge computing nodes, integrating them into a unified computing power metric for each node. This integration facilitates a better alignment between computing power and service demands. By modeling the resource scheduling problem in edge computing networks as a multi-objective Markov decision process (MOMDP), this study employs multi-objective reinforcement learning (MORL) and the proximal policy optimization (PPO) algorithm to concurrently optimize task transmission latency and energy consumption in dynamic environments. Finally, simulation experiments demonstrate that the proposed algorithm outperforms state-of-the-art scheduling algorithms in terms of latency, energy consumption, and overall reward. Additionally, it achieves an optimal hypervolume and Pareto front, effectively balancing the trade-off between task transmission latency and energy consumption in multi-objective optimization scenarios. Full article
(This article belongs to the Section Computing and Artificial Intelligence)
Show Figures

Figure 1

12 pages, 4985 KB  
Proceeding Paper
Automated Fruit Nutrition Classification Using MobileNet-Based Convolutional Neural Networks on Deep Learning
by Gina Purnama Insany, Juniar Akhsan, Ai Solihah and Winesti Widasari
Eng. Proc. 2025, 107(1), 120; https://doi.org/10.3390/engproc2025107120 - 9 Oct 2025
Viewed by 17
Abstract
Indonesia boasts diverse tropical fruits like ciplukan, harendong, and kecapi, which are nutrient-rich but underutilized. To address this, an automated fruit recognition system was developed using Convolutional Neural Network (CNN) with MobileNet architecture, leveraging Depthwise Separable Convolution (DSC) for efficiency. The model was [...] Read more.
Indonesia boasts diverse tropical fruits like ciplukan, harendong, and kecapi, which are nutrient-rich but underutilized. To address this, an automated fruit recognition system was developed using Convolutional Neural Network (CNN) with MobileNet architecture, leveraging Depthwise Separable Convolution (DSC) for efficiency. The model was trained on 5000 images of five local fruits (224 × 224 pixels), split into 70% training, 20% validation, and 10% testing. Optimized for Android, the system enables real-time identification with minimal hardware requirements (e.g., 2 GB RAM for low-end devices). Evaluation metrics (accuracy, precision, recall) achieved 97.43% accuracy, demonstrating MobileNet’s effectiveness. This study highlights deep learning’s potential in preserving and promoting Indonesia’s indigenous fruits. Full article
Show Figures

Figure 1

26 pages, 617 KB  
Review
Mobile Typing as a Window into Sensorimotor and Cognitive Function
by Lorenzo Viviani, Alba Liso and Laila Craighero
Brain Sci. 2025, 15(10), 1084; https://doi.org/10.3390/brainsci15101084 - 7 Oct 2025
Viewed by 132
Abstract
The rapid evolution of human–technology interaction necessitates continuous sensorimotor adaptation to new digital interfaces and tasks. Mobile typing, defined as text entry on smartphone touchscreens, offers a compelling example of this process, requiring users to adapt fine motor control and coordination to a [...] Read more.
The rapid evolution of human–technology interaction necessitates continuous sensorimotor adaptation to new digital interfaces and tasks. Mobile typing, defined as text entry on smartphone touchscreens, offers a compelling example of this process, requiring users to adapt fine motor control and coordination to a constrained virtual environment. Aligned with the embodied cognition framework, understanding these digital sensorimotor experiences is crucial. A key theoretical question is whether these skills primarily involve adaptation of existing motor patterns or necessitate de novo learning, a distinction particularly relevant across generations with differing early sensorimotor experiences. This narrative review synthesizes current understanding of the sensorimotor aspects of smartphone engagement and typing skill evaluation methods. It examines touchscreen competence, skill acquisition, diverse strategies employed, and the influence of interface constraints on motor performance, while also detailing various sophisticated performance metrics and analyzing different data collection methodologies. Research highlights that analyzing typing behaviors and their underlying neural correlates increasingly serves as a potential source of behavioral biomarkers. However, while notable progress has been made, the field is still developing, requiring stronger methodological foundations and crucial standardization of metrics and protocols to fully capture and understand the dynamic sensorimotor processes involved in digital interactions. Nevertheless, mobile typing emerges as a compelling model for advancing our understanding of human sensorimotor learning and cognitive function, offering a rich, ecologically valid platform for investigating human-world interaction. Full article
(This article belongs to the Section Sensory and Motor Neuroscience)
Show Figures

Figure 1

22 pages, 4797 KB  
Article
Early Oral Cancer Detection with AI: Design and Implementation of a Deep Learning Image-Based Chatbot
by Pablo Ormeño-Arriagada, Gastón Márquez, Carla Taramasco, Gustavo Gatica, Juan Pablo Vasconez and Eduardo Navarro
Appl. Sci. 2025, 15(19), 10792; https://doi.org/10.3390/app151910792 - 7 Oct 2025
Viewed by 254
Abstract
Oral cancer remains a critical global health challenge, with delayed diagnosis driving high morbidity and mortality. Despite progress in artificial intelligence, computer vision, and medical imaging, early detection tools that are accessible, explainable, and designed for patient engagement remain limited. This study presents [...] Read more.
Oral cancer remains a critical global health challenge, with delayed diagnosis driving high morbidity and mortality. Despite progress in artificial intelligence, computer vision, and medical imaging, early detection tools that are accessible, explainable, and designed for patient engagement remain limited. This study presents a novel system that combines a patient-centred chatbot with a deep learning framework to support early diagnosis, symptom triage, and health education. The system integrates convolutional neural networks, class activation mapping, and natural language processing within a conversational interface. Five deep learning models were evaluated (CNN, DenseNet121, DenseNet169, DenseNet201, and InceptionV3) using two balanced public datasets. Model performance was assessed using accuracy, sensitivity, specificity, diagnostic odds ratio (DOR), and Cohen’s Kappa. InceptionV3 consistently outperformed the other models across these metrics, achieving the highest diagnostic accuracy (77.6%) and DOR (20.67), and was selected as the core engine of the chatbot’s diagnostic module. The deployed chatbot provides real-time image assessments and personalised conversational support via multilingual web and mobile platforms. By combining automated image interpretation with interactive guidance, the system promotes timely consultation and informed decision-making. It offers a prototype for a chatbot, which is scalable and serves as a low-cost solution for underserved populations and demonstrates strong potential for integration into digital health pathways. Importantly, the system is not intended to function as a formal screening tool or replace clinical diagnosis; rather, it provides preliminary guidance to encourage early medical consultation and informed health decisions. Full article
Show Figures

Figure 1

25 pages, 800 KB  
Review
Smart but Unlivable? Rethinking Smart City Rankings Through Livability and Urban Sustainability: A Comparative Perspective Between Athens and Zurich
by Alessandro Bove and Marco Ghiraldelli
Sustainability 2025, 17(19), 8901; https://doi.org/10.3390/su17198901 - 7 Oct 2025
Viewed by 201
Abstract
While the ‘smart city’ concept is central to urban innovation, promising enhanced efficiency and livability, this paper interrogates a critical paradox: can cities be ‘smart’ yet ‘unlivable’? Existing indices, such as the IMD Smart City Index and the IESE Cities in Motion Index, [...] Read more.
While the ‘smart city’ concept is central to urban innovation, promising enhanced efficiency and livability, this paper interrogates a critical paradox: can cities be ‘smart’ yet ‘unlivable’? Existing indices, such as the IMD Smart City Index and the IESE Cities in Motion Index, while standard references, tend to prioritize technological and economic metrics, potentially failing to fully capture urban quality of life and sustainability. This study presents a preliminary attempt, based on an analysis of scientific literature, to critically examine current smart city indicators and propose a set of alternative indicators more representative of quality of life (QoL) and livability. The objective is not to overturn the rankings of cities like Zurich (high-ranking) and Athens (low-ranking), but to explore how a livability-focused approach, using more representative QoL indicators, might narrow the perceived gap between them, thereby highlighting diverse dimensions of urban performance. This research critically evaluates current smart city rankings. It aims to determine if livability-based indicators, supported by scientific literature, can provide a more balanced view of urban performance. This paper details how these alternative indicators were chosen, justifying their relevance to QoL with scientific support, and maps them to established smart city verticals (Smart Mobility, Smart Environment, Smart Governance, Smart Living, Smart People, Smart Economy). Finally, it outlines future research directions to further develop and validate this human-centric approach. Full article
(This article belongs to the Section Sustainable Urban and Rural Development)
Show Figures

Figure 1

29 pages, 3369 KB  
Article
Longitudinal Usability and UX Analysis of a Multiplatform House Design Pipeline: Insights from Extended Use Across Web, VR, and Mobile AR
by Mirko Sužnjević, Sara Srebot, Mirta Moslavac, Katarina Mišura, Lovro Boban and Ana Jović
Appl. Sci. 2025, 15(19), 10765; https://doi.org/10.3390/app151910765 - 6 Oct 2025
Viewed by 297
Abstract
Computer-Aided Design (CAD) software has long served as a foundation for planning and modeling in Architecture, Engineering, and Construction (AEC). In recent years, the introduction of Augmented Reality (AR) and Virtual Reality (VR) has significantly reshaped the CAD landscape, offering novel interaction paradigms [...] Read more.
Computer-Aided Design (CAD) software has long served as a foundation for planning and modeling in Architecture, Engineering, and Construction (AEC). In recent years, the introduction of Augmented Reality (AR) and Virtual Reality (VR) has significantly reshaped the CAD landscape, offering novel interaction paradigms that bridge the gap between digital prototypes and real-world spatial understanding. These technologies have enabled users to engage with 3D architectural content in more immersive and intuitive ways, facilitating improved decision making and communication throughout design workflows. As digital design services grow more complex and span multiple media platforms—from desktop-based modeling to immersive AR/VR environments—evaluating usability and User Experience (UX) becomes increasingly challenging. This paper presents a longitudinal usability and UX study of a multiplatform house design pipeline (i.e., structured workflow for creating, adapting, and delivering house designs so they can be used seamlessly across multiple platforms) comprising a web-based application for initial house creation, a mobile AR tool for contextual exterior visualization, and VR applications that allow full-scale interior exploration and configuration. Together, these components form a unified yet heterogeneous service experience across different devices and modalities. We describe the iterative design and development of this system over three distinct phases (lasting two years), each followed by user studies which evaluated UX and usability and targeted different participant profiles and design maturity levels. The paper outlines our approach to cross-platform UX evaluation, including methods such as the Think-Aloud Protocol (TAP), standardized usability metrics, and structured interviews. The results from the studies provide insight into user preferences, interaction patterns, and system coherence across platforms. From both participant and evaluator perspectives, the iterative methodology contributed to improvements in system usability and a clearer mental model of the design process. The main research question we address is how iterative design and development affects the UX of the heterogeneous service. Our findings highlight important considerations for future research and practice in the design of integrated, multiplatform XR services for AEC, with potential relevance to other domains. Full article
(This article belongs to the Special Issue Extended Reality (XR) and User Experience (UX) Technologies)
Show Figures

Figure 1

18 pages, 5180 KB  
Article
Efficient 3D Model Simplification Algorithms Based on OpenMP
by Han Chang, Sanhe Wan, Jingyu Ni, Yidan Fan, Xiangxue Zhang and Yuxuan Xiong
Mathematics 2025, 13(19), 3183; https://doi.org/10.3390/math13193183 - 4 Oct 2025
Viewed by 180
Abstract
Efficient simplification of 3D models is essential for mobile and other resource-constrained application scenarios. Industrial 3D assemblies, typically composed of numerous components and dense triangular meshes, often pose significant challenges in rendering and transmission due to their large scale and high complexity. The [...] Read more.
Efficient simplification of 3D models is essential for mobile and other resource-constrained application scenarios. Industrial 3D assemblies, typically composed of numerous components and dense triangular meshes, often pose significant challenges in rendering and transmission due to their large scale and high complexity. The Quadric Error Metrics (QEM) algorithm offers a practical balance between simplification accuracy and computational efficiency. However, its application to large-scale industrial models remain limited by performance bottlenecks, especially when combined with curvature-based optimization techniques that improve fidelity at the cost of increased computation. Therefore, this paper presents a parallel implementation of the QEM algorithm and its curvature-optimized variant using the OpenMP framework. By identifying key bottlenecks in the serial workflow, this research parallelizes critical processes such as curvature estimation, error metric computation, and data structure manipulation. Experiments on large industrial assembly models at a simplification ratio of 0.3, 0.5, and 0.7 demonstrate that the proposed parallel algorithms achieve significant speedups, with a maximum observed speedup of 5.5×, while maintaining geometric quality and topological consistency. The proposed approach significantly improves model processing efficiency, particularly for medium- to large-scale industrial models, and provides a scalable and practical solution for real-time loading and interaction in engineering applications. Full article
Show Figures

Figure 1

Back to TopTop