Sign in to use this feature.

Years

Between: -

Subjects

remove_circle_outline
remove_circle_outline
remove_circle_outline
remove_circle_outline

Journals

Article Types

Countries / Regions

Search Results (11)

Search Parameters:
Keywords = methyl-accepting chemotaxis proteins

Order results
Result details
Results per page
Select all
Export citation of selected articles as:
12 pages, 1137 KB  
Review
Deciphering Bacterial Chemorepulsion: The Complex Response of Microbes to Environmental Stimuli
by Ruixin Fu and Haichao Feng
Microorganisms 2024, 12(8), 1706; https://doi.org/10.3390/microorganisms12081706 - 18 Aug 2024
Cited by 6 | Viewed by 2828
Abstract
Bacterial motility relying on flagella is characterized by several modes, including swimming, swarming, twitching, and gliding. This motility allows bacteria to adapt remarkably well to hostile environments. More than 50% of bacteria naturally contain flagella, which are crucial for bacterial chemotaxis motility. Chemotaxis [...] Read more.
Bacterial motility relying on flagella is characterized by several modes, including swimming, swarming, twitching, and gliding. This motility allows bacteria to adapt remarkably well to hostile environments. More than 50% of bacteria naturally contain flagella, which are crucial for bacterial chemotaxis motility. Chemotaxis can be either positive, where bacteria move towards a chemical source, or negative, known as chemorepulsion, where bacteria move away from the source. Although much is known about the mechanisms driving chemotaxis towards attractants, the molecular mechanisms underlying chemorepulsion remain elusive. Chemotaxis plays an important role in the colonization of the rhizosphere by rhizobacteria. Recently, researchers have systematically studied the identification and recognition mechanisms of chemoattractants. However, the mechanisms underlying chemorepellents remain unclear. Systematically sorting and analyzing research on chemorepellents could significantly enhance our understanding of how these compounds help probiotics evade harmful environments or drive away pathogens. Full article
(This article belongs to the Special Issue Bacterial Communication)
Show Figures

Figure 1

14 pages, 1342 KB  
Article
Gut Dysbiosis: A New Avenue for Stroke Prevention and Therapeutics
by Shin Young Park, Sang Pyung Lee, Dongin Kim and Woo Jin Kim
Biomedicines 2023, 11(9), 2352; https://doi.org/10.3390/biomedicines11092352 - 23 Aug 2023
Cited by 11 | Viewed by 4125
Abstract
A stroke is a serious life-threatening condition and a leading cause of death and disability that happens when the blood vessels to part of the brain are blocked or burst. While major advances in the understanding of the ischemic cascade in stroke was [...] Read more.
A stroke is a serious life-threatening condition and a leading cause of death and disability that happens when the blood vessels to part of the brain are blocked or burst. While major advances in the understanding of the ischemic cascade in stroke was made over several decades, limited therapeutic options and high mortality and disability have caused researchers to extend the focus toward peripheral changes beyond brain. The largest proportion of microbes in human body reside in the gut and the interaction between host and microbiota in health and disease is well known. Our study aimed to explore the gut microbiota in patients with stroke with comparison to control group. Fecal samples were obtained from 51 subjects: 25 stroke patients (18 hemorrhagic, 7 ischemic) and 26 healthy control subjects. The variable region V3–V4 of the 16S rRNA gene was sequenced using the Illumina MiSeq platform. PICRUSt2 was used for prediction of metagenomics functions. Our results show taxonomic dysbiosis in stroke patients in parallel with functional dysbiosis. Here, we show that stroke patients have (1) increased Parabacteroides and Escherichia_Shigella, but decreased Prevotella and Fecalibacterium; (2) higher transposase and peptide/nickel transport system substrate-binding protein, but lower RNA polymerase sigma-70 factor and methyl-accepting chemotaxis protein, which are suggestive of malnutrition. Nutrients are essential regulators of both host and microbial physiology and function as key coordinators of host–microbe interactions. Manipulation of nutrition is expected to alleviate gut dysbiosis and prognosis and improve disability and mortality in the management of stroke. Full article
Show Figures

Graphical abstract

17 pages, 1697 KB  
Article
Chemotactic Responses of Xanthomonas with Different Host Ranges
by Marta Sena-Vélez, Elisa Ferragud, Cristina Redondo, James H. Graham and Jaime Cubero
Microorganisms 2023, 11(1), 43; https://doi.org/10.3390/microorganisms11010043 - 22 Dec 2022
Cited by 5 | Viewed by 2573
Abstract
Xanthomonas citri pv. citri (Xcc) (X. citri subsp. citri) type A is the causal agent of citrus bacterial canker (CBC) on most Citrus spp. and close relatives. Two narrow-host-range strains of Xcc, Aw and A*, from Florida [...] Read more.
Xanthomonas citri pv. citri (Xcc) (X. citri subsp. citri) type A is the causal agent of citrus bacterial canker (CBC) on most Citrus spp. and close relatives. Two narrow-host-range strains of Xcc, Aw and A*, from Florida and Southwest Asia, respectively, infect only Mexican lime (Citrus aurantifolia) and alemow (C. macrophylla). In the initial stage of infection, these xanthomonads enter via stomata to reach the apoplast. Herein, we investigated the differences in chemotactic responses for wide and narrow-host-range strains of Xcc A, X. euvesicatoria pv. citrumelonis (X. alfalfae subsp. citrumelonis), the causal agent of citrus bacterial spot, and X. campestris pv. campestris, the crucifer black rot pathogen. These strains of Xanthomonas were compared for carbon source use, the chemotactic responses toward carbon compounds, chemotaxis sensor content, and responses to apoplastic fluids from Citrus spp. and Chinese cabbage (Brassica pekinensis). Different chemotactic responses occurred for carbon sources and apoplastic fluids, depending on the Xanthomonas strain and the host plant from which the apoplastic fluid was derived. Differential chemotactic responses to carbon sources and citrus apoplasts suggest that these Xanthomonas strains sense host-specific signals that facilitate their location and entry of stomatal openings or wounds. Full article
(This article belongs to the Special Issue Plant Pathogenic Microorganisms: State-of-the-Art Research in Spain)
Show Figures

Figure 1

12 pages, 1923 KB  
Article
PAS Domain-Containing Chemoreceptors Influence the Signal Sensing and Intestinal Colonization of Vibrio cholerae
by Rundong Shu, Chaoqun Yuan, Bojun Liu, Yang Song, Leqi Hou, Panpan Ren, Hui Wang and Chunhong Cui
Genes 2022, 13(12), 2224; https://doi.org/10.3390/genes13122224 - 27 Nov 2022
Cited by 3 | Viewed by 2200
Abstract
Bacterial chemotaxis is the phenomenon in which bacteria migrate toward a more favorable niche in response to chemical cues in the environment. The methyl-accepting chemotaxis proteins (MCPs) are the principal sensory receptors of the bacterial chemotaxis system. Aerotaxis is a special form of [...] Read more.
Bacterial chemotaxis is the phenomenon in which bacteria migrate toward a more favorable niche in response to chemical cues in the environment. The methyl-accepting chemotaxis proteins (MCPs) are the principal sensory receptors of the bacterial chemotaxis system. Aerotaxis is a special form of chemotaxis in which oxygen serves as the signaling molecule; the process is dependent on the aerotaxis receptors (Aer) containing the Per-Arnt-Sim (PAS) domain. Over 40 MCPs are annotated on the genome of Vibrio cholerae; however, little is known about their functions. We investigated six MCPs containing the PAS domain in V. cholerae El Tor C6706, namely aer2, aer3, aer4, aer5, aer6, and aer7. Deletion analyses of each aer homolog gene indicated that these Aer receptors are involved in aerotaxis, chemotaxis, biofilm formation, and intestinal colonization. Swarming motility assay indicated that the aer2 gene was responsible for sensing the oxygen gradient independent of the other five homologs. When bile salts and mucin were used as chemoattractants, each Aer receptor influenced the chemotaxis differently. Biofilm formation was enhanced by overexpression of the aer6 and aer7 genes. Moreover, deletion of the aer2 gene resulted in better bacterial colonization of the mutant in adult mice; however, virulence gene expression was unaffected. These data suggest distinct roles for different Aer homologs in V. cholerae physiology. Full article
(This article belongs to the Special Issue Microbe-Host Interaction)
Show Figures

Figure 1

17 pages, 4098 KB  
Article
Agrobacterium fabrum atu0526-Encoding Protein Is the Only Chemoreceptor That Regulates Chemoattraction toward the Broad Antibacterial Agent Formic Acid
by Hao Wang, Mengqi Zhang, Yujuan Xu, Renjie Zong, Nan Xu and Minliang Guo
Biology 2021, 10(12), 1345; https://doi.org/10.3390/biology10121345 - 17 Dec 2021
Cited by 13 | Viewed by 4018
Abstract
Soil-born plant pathogens, especially Agrobacterium, generally navigate their way to hosts through recognition of the root exudates by chemoreceptors. However, there is still a lack of appropriate identification of chemoreceptors and their ligands in Agrobacterium. Here, Atu0526, a sCache-type chemoreceptor from [...] Read more.
Soil-born plant pathogens, especially Agrobacterium, generally navigate their way to hosts through recognition of the root exudates by chemoreceptors. However, there is still a lack of appropriate identification of chemoreceptors and their ligands in Agrobacterium. Here, Atu0526, a sCache-type chemoreceptor from Agrobacterium fabrum C58, was confirmed as the receptor of a broad antibacterial agent, formic acid. The binding of formic acid to Atu0526 was screened using a thermo shift assay and verified using isothermal titration calorimetry. Inconsistent with the previously reported antimicrobial properties, formic acid was confirmed to be a chemoattractant to A. fabrum and could promote its growth. The chemotaxis of A. fabrum C58 toward formic acid was completely lost with the knock-out of atu0526, and regained with the complementation of the gene, indicating that Atu0526 is the only chemoreceptor for formic acid in A. fabrum C58. The affinity of formic acid to Atu0526LBD significantly increased after the arginine at position 115 was replaced by alanine. However, in vivo experiments showed that the R115A mutation fully abolished the chemotaxis of A. fabrum toward formic acid. Molecular docking based on a predicted 3D structure of Atu0526 suggested that the arginine may provide “an anchorage” for formic acid to pull the minor loop, thereby forming a conformational change that generates the ligand-binding signal. Collectively, our findings will promote an understanding of sCache-type chemoreceptors and their signal transduction mechanism. Full article
(This article belongs to the Section Biochemistry and Molecular Biology)
Show Figures

Figure 1

15 pages, 2299 KB  
Article
The Only Chemoreceptor Encoded by che Operon Affects the Chemotactic Response of Agrobacterium to Various Chemoeffectors
by Jingyang Ye, Miaomiao Gao, Qingxuan Zhou, Hao Wang, Nan Xu and Minliang Guo
Microorganisms 2021, 9(9), 1923; https://doi.org/10.3390/microorganisms9091923 - 10 Sep 2021
Cited by 9 | Viewed by 3449
Abstract
Chemoreceptor (also called methyl-accepting chemotaxis protein, MCP) is the leading signal protein in the chemotaxis signaling pathway. MCP senses and binds chemoeffectors, specifically, and transmits the sensed signal to downstream proteins of the chemotaxis signaling system. The genome of Agrobacterium fabrum (previously, tumefaciens [...] Read more.
Chemoreceptor (also called methyl-accepting chemotaxis protein, MCP) is the leading signal protein in the chemotaxis signaling pathway. MCP senses and binds chemoeffectors, specifically, and transmits the sensed signal to downstream proteins of the chemotaxis signaling system. The genome of Agrobacterium fabrum (previously, tumefaciens) C58 predicts that a total of 20 genes can encode MCP, but only the MCP-encoding gene atu0514 is located inside the che operon. Hence, the identification of the exact function of atu0514-encoding chemoreceptor (here, named as MCP514) will be very important for us to understand more deeply the chemotaxis signal transduction mechanism of A. fabrum. The deletion of atu0514 significantly decreased the chemotactic migration of A. fabrum in a swim plate. The test of atu0514-deletion mutant (Δ514) chemotaxis toward single chemicals showed that the deficiency of MCP514 significantly weakened the chemotactic response of A. fabrum to four various chemicals, sucrose, valine, citric acid and acetosyringone (AS), but did not completely abolish the chemotactic response. MCP514 was localized at cell poles although it lacks a transmembrane (TM) region and is predicted to be a cytoplasmic chemoreceptor. The replacement of residue Phe328 showed that the helical structure in the hairpin subdomain of MCP514 is a direct determinant for the cellular localization of MCP514. Single respective replacements of key residues indicated that residues Asn336 and Val353 play a key role in maintaining the chemotactic function of MCP514. Full article
(This article belongs to the Special Issue Molecular Analysis of Plant Pathogenic Bacteria)
Show Figures

Figure 1

26 pages, 6097 KB  
Review
Multistep Signaling in Nature: A Close-Up of Geobacter Chemotaxis Sensing
by Marta A. Silva and Carlos A. Salgueiro
Int. J. Mol. Sci. 2021, 22(16), 9034; https://doi.org/10.3390/ijms22169034 - 21 Aug 2021
Cited by 5 | Viewed by 4350
Abstract
Environmental changes trigger the continuous adaptation of bacteria to ensure their survival. This is possible through a variety of signal transduction pathways involving chemoreceptors known as methyl-accepting chemotaxis proteins (MCP) that allow the microorganisms to redirect their mobility towards favorable environments. MCP are [...] Read more.
Environmental changes trigger the continuous adaptation of bacteria to ensure their survival. This is possible through a variety of signal transduction pathways involving chemoreceptors known as methyl-accepting chemotaxis proteins (MCP) that allow the microorganisms to redirect their mobility towards favorable environments. MCP are two-component regulatory (or signal transduction) systems (TCS) formed by a sensor and a response regulator domain. These domains synchronize transient protein phosphorylation and dephosphorylation events to convert the stimuli into an appropriate cellular response. In this review, the variability of TCS domains and the most common signaling mechanisms are highlighted. This is followed by the description of the overall cellular topology, classification and mechanisms of MCP. Finally, the structural and functional properties of a new family of MCP found in Geobacter sulfurreducens are revisited. This bacterium has a diverse repertoire of chemosensory systems, which represents a striking example of a survival mechanism in challenging environments. Two G. sulfurreducens MCP—GSU0582 and GSU0935—are members of a new family of chemotaxis sensor proteins containing a periplasmic PAS-like sensor domain with a c-type heme. Interestingly, the cellular location of this domain opens new routes to the understanding of the redox potential sensing signaling transduction pathways. Full article
(This article belongs to the Special Issue Bacterial Chemoreceptors and Chemosensory Pathways)
Show Figures

Figure 1

14 pages, 1284 KB  
Review
Chemotaxis of Beneficial Rhizobacteria to Root Exudates: The First Step towards Root–Microbe Rhizosphere Interactions
by Haichao Feng, Ruixin Fu, Xueqin Hou, Yu Lv, Nan Zhang, Yunpeng Liu, Zhihui Xu, Youzhi Miao, Tino Krell, Qirong Shen and Ruifu Zhang
Int. J. Mol. Sci. 2021, 22(13), 6655; https://doi.org/10.3390/ijms22136655 - 22 Jun 2021
Cited by 174 | Viewed by 10679
Abstract
Chemotaxis, the ability of motile bacteria to direct their movement in gradients of attractants and repellents, plays an important role during the rhizosphere colonization by rhizobacteria. The rhizosphere is a unique niche for plant–microbe interactions. Root exudates are highly complex mixtures of chemoeffectors [...] Read more.
Chemotaxis, the ability of motile bacteria to direct their movement in gradients of attractants and repellents, plays an important role during the rhizosphere colonization by rhizobacteria. The rhizosphere is a unique niche for plant–microbe interactions. Root exudates are highly complex mixtures of chemoeffectors composed of hundreds of different compounds. Chemotaxis towards root exudates initiates rhizobacteria recruitment and the establishment of bacteria–root interactions. Over the last years, important progress has been made in the identification of root exudate components that play key roles in the colonization process, as well as in the identification of the cognate chemoreceptors. In the first part of this review, we summarized the roles of representative chemoeffectors that induce chemotaxis in typical rhizobacteria and discussed the structure and function of rhizobacterial chemoreceptors. In the second part we reviewed findings on how rhizobacterial chemotaxis and other root–microbe interactions promote the establishment of beneficial rhizobacteria-plant interactions leading to plant growth promotion and protection of plant health. In the last part we identified the existing gaps in the knowledge and discussed future research efforts that are necessary to close them. Full article
(This article belongs to the Special Issue Bacterial Chemoreceptors and Chemosensory Pathways)
Show Figures

Figure 1

26 pages, 5169 KB  
Article
Structure–Activity Relationship Study Reveals the Molecular Basis for Specific Sensing of Hydrophobic Amino Acids by the Campylobacter jejuni Chemoreceptor Tlp3
by Mohammad F. Khan, Mayra A. Machuca, Mohammad M. Rahman, Cengiz Koç, Raymond S. Norton, Brian J. Smith and Anna Roujeinikova
Biomolecules 2020, 10(5), 744; https://doi.org/10.3390/biom10050744 - 11 May 2020
Cited by 25 | Viewed by 4882
Abstract
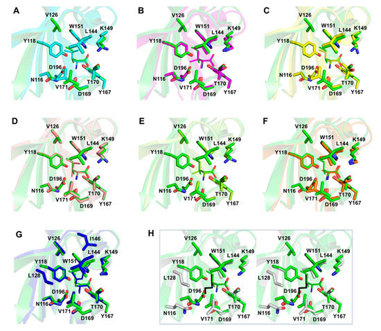
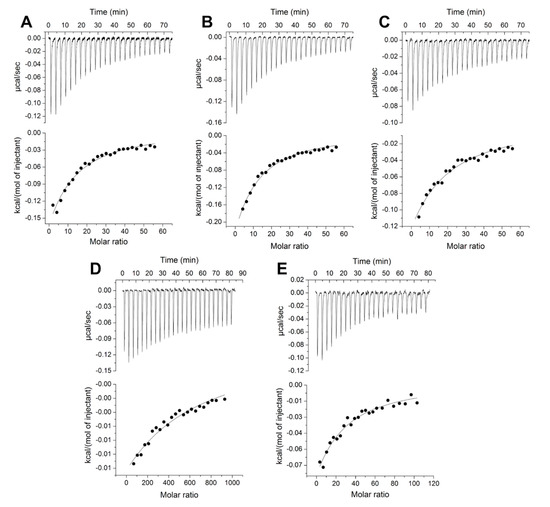
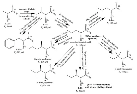
Chemotaxis is an important virulence factor of the foodborne pathogen Campylobacter jejuni. Inactivation of chemoreceptor Tlp3 reduces the ability of C. jejuni to invade human and chicken cells and to colonise the jejunal mucosa of mice. Knowledge of the structure of the [...] Read more.
Chemotaxis is an important virulence factor of the foodborne pathogen Campylobacter jejuni. Inactivation of chemoreceptor Tlp3 reduces the ability of C. jejuni to invade human and chicken cells and to colonise the jejunal mucosa of mice. Knowledge of the structure of the ligand-binding domain (LBD) of Tlp3 in complex with its ligands is essential for a full understanding of the molecular recognition underpinning chemotaxis. To date, the only structure in complex with a signal molecule is Tlp3 LBD bound to isoleucine. Here, we used in vitro and in silico screening to identify eight additional small molecules that signal through Tlp3 as attractants by directly binding to its LBD, and determined the crystal structures of their complexes. All new ligands (leucine, valine, α-amino-N-valeric acid, 4-methylisoleucine, β-methylnorleucine, 3-methylisoleucine, alanine, and phenylalanine) are nonpolar amino acids chemically and structurally similar to isoleucine. X-ray crystallographic analysis revealed the hydrophobic side-chain binding pocket and conserved protein residues that interact with the ammonium and carboxylate groups of the ligands determine the specificity of this chemoreceptor. The uptake of hydrophobic amino acids plays an important role in intestinal colonisation by C. jejuni, and our study suggests that C. jejuni seeks out hydrophobic amino acids using chemotaxis. Full article
Show Figures

Figure 1

18 pages, 2911 KB  
Article
Mechanism of Signalling and Adaptation through the Rhodobacter sphaeroides Cytoplasmic Chemoreceptor Cluster
by Jennifer A. de Beyer, Andrea Szöllössi, Elaine Byles, Roman Fischer and Judith P. Armitage
Int. J. Mol. Sci. 2019, 20(20), 5095; https://doi.org/10.3390/ijms20205095 - 14 Oct 2019
Cited by 7 | Viewed by 3947
Abstract
Rhodobacter sphaeroides has two chemotaxis clusters, an Escherichia coli-like cluster with membrane-spanning chemoreceptors and a less-understood cytoplasmic cluster. The cytoplasmic CheA is split into CheA4, a kinase, and CheA3, a His-domain phosphorylated by CheA4 and a phosphatase [...] Read more.
Rhodobacter sphaeroides has two chemotaxis clusters, an Escherichia coli-like cluster with membrane-spanning chemoreceptors and a less-understood cytoplasmic cluster. The cytoplasmic CheA is split into CheA4, a kinase, and CheA3, a His-domain phosphorylated by CheA4 and a phosphatase domain, which together phosphorylate and dephosphorylate motor-stopping CheY6. In bacterial two-hybrid analysis, one major cytoplasmic chemoreceptor, TlpT, interacted with CheA4, while the other, TlpC, interacted with CheA3. Both clusters have associated adaptation proteins. Deleting their methyltransferases and methylesterases singly and together removed chemotaxis, but with opposite effects. The cytoplasmic cluster signal overrode the membrane cluster signal. Methylation and demethylation of specific chemoreceptor glutamates controls adaptation. Tandem mass spectroscopy and bioinformatics identified four putative sites on TlpT, three glutamates and a glutamine. Mutating each glutamate to alanine resulted in smooth swimming and loss of chemotaxis, unlike similar mutations in E. coli chemoreceptors. Cells with two mutated glutamates were more stoppy than wild-type and responded and adapted to attractant addition, not removal. Mutating all four sites amplified the effect. Cells were non-motile, began smooth swimming on attractant addition, and rapidly adapted back to non-motile before attractant removal. We propose that TlpT responds and adapts to the cell’s metabolic state, generating the steady-state concentration of motor-stopping CheY6~P. Membrane-cluster signalling produces a pulse of CheY3/CheY4~P that displaces CheY6~P and allows flagellar rotation and smooth swimming before both clusters adapt. Full article
(This article belongs to the Special Issue Bacterial Chemoreceptors)
Show Figures

Figure 1

17 pages, 917 KB  
Article
Transcriptome Profiling Reveals the EanI/R Quorum Sensing Regulon in Pantoea Ananatis LMG 2665T
by Siphathele Sibanda, Stanford Kwenda, Collins K. Tanui, Divine Y. Shyntum, Teresa A. Coutinho and Lucy N. Moleleki
Genes 2018, 9(3), 148; https://doi.org/10.3390/genes9030148 - 7 Mar 2018
Cited by 6 | Viewed by 6041
Abstract
Pantoea ananatis LMG 2665T synthesizes and utilizes acyl homoserine lactones (AHLs) for signalling. The complete set of genes regulated by the EanI/R quorum sensing (QS) system in this strain is still not fully known. In this study, RNA-sequencing (RNA-seq) was used to [...] Read more.
Pantoea ananatis LMG 2665T synthesizes and utilizes acyl homoserine lactones (AHLs) for signalling. The complete set of genes regulated by the EanI/R quorum sensing (QS) system in this strain is still not fully known. In this study, RNA-sequencing (RNA-seq) was used to identify the EanI/R regulon in LMG 2665T. Pairwise comparisons of LMG 2665T in the absence of AHLs (Optical density (OD)600 = 0.2) and in the presence of AHLs (OD600 = 0.5) were performed. Additionally, pairwise comparisons of LMG 2665T and its QS mutant at OD600 = 0.5 were undertaken. In total, 608 genes were differentially expressed between LMG 2665T at OD600 = 0.5 versus the same strain at OD600 = 0.2 and 701 genes were differentially expressed between LMG 2665T versus its QS mutant at OD600 = 0.5. A total of 196 genes were commonly differentially expressed between the two approaches. These constituted approximately 4.5% of the whole transcriptome under the experimental conditions used in this study. The RNA-seq data was validated by reverse transcriptase quantitative polymerase chain reaction (RT-qPCR). Genes found to be regulated by EanI/R QS were those coding for redox sensing, metabolism, flagella formation, flagella dependent motility, cell adhesion, biofilm formation, regulators, transport, chemotaxis, methyl accepting proteins, membrane proteins, cell wall synthesis, stress response and a large number of hypothetical proteins. The results of this study give insight into the genes that are regulated by the EanI/R system in LMG 2665T. Functional characterization of the QS regulated genes in LMG 2665T could assist in the formulation of control strategies for this plant pathogen. Full article
Show Figures

Figure 1

Back to TopTop