Sign in to use this feature.

Years

Between: -

Subjects

remove_circle_outline
remove_circle_outline
remove_circle_outline
remove_circle_outline
remove_circle_outline
remove_circle_outline
remove_circle_outline
remove_circle_outline

Journals

Article Types

Countries / Regions

Search Results (15)

Search Parameters:
Keywords = magnetorheological grease

Order results
Result details
Results per page
Select all
Export citation of selected articles as:
14 pages, 2678 KB  
Article
Modeling and Experimental Investigation on Rheological Characteristics of Magnetorheological Fluids and Greases Under Steady and Large-Amplitude Oscillatory Shear
by Ran Deng, Min Sun, Zhou Zhou, Meng Zhou, Lu Han, Jiong Wang, Yiyang Bai, Limeng Peng, Junyu Chen, Guang Zhang, Min Tang and Zhong Zhang
Magnetochemistry 2025, 11(11), 97; https://doi.org/10.3390/magnetochemistry11110097 - 6 Nov 2025
Viewed by 542
Abstract
This study systematically investigates the complex nonlinear rheological behavior of magnetorheological fluids (MRFs) and greases (MRGs) through comparative experiments under two shear modes (steady-state shear and large-amplitude oscillatory shear) at room temperature. Results demonstrate that during steady-state shear tests, the apparent viscosity of [...] Read more.
This study systematically investigates the complex nonlinear rheological behavior of magnetorheological fluids (MRFs) and greases (MRGs) through comparative experiments under two shear modes (steady-state shear and large-amplitude oscillatory shear) at room temperature. Results demonstrate that during steady-state shear tests, the apparent viscosity of both materials decreases with the increasing shear rate, exhibiting shear-thinning behavior at high shear rates that aligns with the Herschel–Bulkley constitutive model. Throughout the logarithmically increasing shear rate range, the viscosity and shear stress of MRF consistently exceed those of MRG. Under low-frequency, large-amplitude oscillatory shear (LAOS) conditions, both materials display pronounced viscoelasticity and hysteresis. At higher current levels, the maximum shear stress of MRF surpasses MRG, but its hysteresis loops exhibit reduced smoothness. The Bouc–Wen model accurately characterizes the nonlinear hysteresis of both materials, with model parameters successfully identified via a genetic algorithm. This work establishes a universal framework for the dynamic mechanical response mechanisms of magnetorheological materials, providing theoretical guidance for designing and predicting the performance of smart damping devices. Full article
Show Figures

Figure 1

13 pages, 10739 KB  
Article
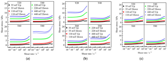
Study of the Effect of Continuous Thermal Effects on the Shear Stability of Magnetorheological Grease
by Yiliang Li, Jiabao Pan and Jin Wang
Appl. Sci. 2023, 13(24), 13116; https://doi.org/10.3390/app132413116 - 9 Dec 2023
Cited by 1 | Viewed by 1616
Abstract
Magnetorheological dampers in the service of the medium in a project experience continuous thermal effects, frequent reciprocating shear and other complex conditions. Shear stability is an important indicator of the reliability of a magnetorheological media service. Magnetorheological grease (MRG) was prepared using hydroxy [...] Read more.
Magnetorheological dampers in the service of the medium in a project experience continuous thermal effects, frequent reciprocating shear and other complex conditions. Shear stability is an important indicator of the reliability of a magnetorheological media service. Magnetorheological grease (MRG) was prepared using hydroxy iron powder with a mass fraction of 30% and lithium grease of different consistency grades as a continuous phase. The results of magnetic and rheological properties analysis were combined to investigate the mechanism of the continuous thermal effect on the shear stability of MRG. The results show that changes in the temperature field and magnetic field cause significant changes in the magnetic and rheological properties of MRG. At low temperatures and low magnetic fields, the soap fiber structure unique to MRG can effectively inhibit the movement of magnetic particles, with slight changes in the rheological properties and excellent shear stability. When the temperature increases to 80 °C, 00#MRG is damaged by the high temperature. The soap fiber structure is fractured and reorganized, and the rheological properties change significantly. However, the rheological properties of 1#MRG remain largely unchanged during the magnetic field enhancement to saturation, showing better shear stability. The higher consistency continuous phase has excellent heat resistance and better shear performance stability in the face of thermomagnetic coupling conditions, but the fiber breakage caused by continuous reciprocating shear poses a challenge to the service stability of MRG. Full article
(This article belongs to the Section Mechanical Engineering)
Show Figures

Figure 1

16 pages, 9384 KB  
Article
Effect of Sepiolite on the Field-Dependent Normal Force of Magnetorheological Grease
by Mengwei Du, Huixing Wang, Xudan Ye, Kun Qian and Jiong Wang
Materials 2023, 16(16), 5627; https://doi.org/10.3390/ma16165627 - 15 Aug 2023
Viewed by 1517
Abstract
In order to investigate the influence of sepiolite minerals on the normal force of magnetorheological grease (MRG), a mixed sample (ALCH) on the basis of preparing an aluminum–lithium-based magnetorheological grease (base sample ALC), containing sepiolite was further prepared. The field-dependent normal force of [...] Read more.
In order to investigate the influence of sepiolite minerals on the normal force of magnetorheological grease (MRG), a mixed sample (ALCH) on the basis of preparing an aluminum–lithium-based magnetorheological grease (base sample ALC), containing sepiolite was further prepared. The field-dependent normal force of the two samples was tested using a rotational rheometer, considering conditions such as magnetic field, time, strain amplitude, frequency, and temperature, and the results were compared. The results indicate that sepiolite limits the field dependent normal force of the magnetorheological grease under steady state shear, and is unaffected by magnetic field, time, temperature, and shear rate. Sepiolite has minimal impact on the transient response of the magnetorheological grease. Under oscillatory shear, the magnetic field is an important factor influencing the field-dependent normal force response of the sepiolite-magnetorheological grease (ALCH). At low magnetic fields, the field-dependent normal force of the sepiolite-containing sample (ALCH) is greater than that of the base sample (ALC), while this relationship is reversed at high magnetic fields, unaffected by other factors. Under long-term shear conditions, both samples exhibit good shear stability, as well as consistency at different frequencies and strain amplitudes. However, an increase in shear rate reduces the normal force, and temperature also affects the field-dependent normal force. The patterns of variation in steady-state and oscillatory shear modes are not entirely the same, but both exhibit a characteristic decrease with increasing temperature under high magnetic field intensities. Sepiolite can reduce the temperature sensitivity of the normal force of the magnetorheological grease. In conclusion, the introduction of sepiolite is beneficial for the application of magnetorheology in high-precision devices. Full article
(This article belongs to the Special Issue Advances in Smart Materials and Applications)
Show Figures

Figure 1

12 pages, 3154 KB  
Article
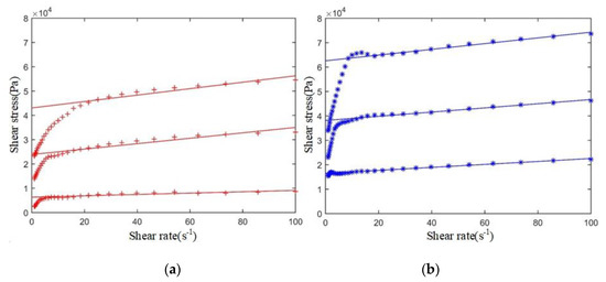
Study of Magnetorheological Grease’s Thermomagnetic Coupling Rheology
by Jiabao Pan, Rui Li and Ao Wang
Appl. Sci. 2023, 13(15), 8922; https://doi.org/10.3390/app13158922 - 3 Aug 2023
Cited by 4 | Viewed by 1852
Abstract
The controllable rheological properties of magnetorheological grease offer significant application prospects in regulating the lubrication behavior of frictional substrates. A novel nano-magnetorheological grease was prepared using nanoscale manganese ferrite as magnetic particles. The prepared magnetorheological grease underwent magnetic field scanning and rate scanning [...] Read more.
The controllable rheological properties of magnetorheological grease offer significant application prospects in regulating the lubrication behavior of frictional substrates. A novel nano-magnetorheological grease was prepared using nanoscale manganese ferrite as magnetic particles. The prepared magnetorheological grease underwent magnetic field scanning and rate scanning studies under thermomagnetic coupling, and we investigated the variation patterns of rheological parameters under different temperatures and magnetic field intensities. The Herschel–Bulkley rheological model was utilized for data fitting to determine the shear yield stress of the magnetorheological grease. Furthermore, the variation patterns of shear yield stress with increasing magnetic field intensity were explored. The results demonstrated that the apparent viscosity and shear stress of the magnetorheological grease decreased with increasing temperature, while they increased with enhanced magnetic field intensity. The apparent viscosity of the magnetorheological grease decreased with increasing shear rate. Additionally, the shear yield stress of the magnetorheological grease decreased with a temperature rise, but increased when an external magnetic field was applied. The adverse effects of high temperature on the magnetorheological grease could be mitigated by the application of an external magnetic field. Full article
(This article belongs to the Special Issue Engineering Applications of Nanofluids)
Show Figures

Figure 1

20 pages, 11565 KB  
Article
Structural Design and Controllability of Magnetorheological Grease Buffers under Impact Loading
by Gaoyang Kong, Qing Ouyang, Hongsheng Hu, Wenfeng Xiang and Wei Zhao
Materials 2023, 16(13), 4724; https://doi.org/10.3390/ma16134724 - 29 Jun 2023
Cited by 4 | Viewed by 1561
Abstract
Shock loads can pose a great threat to personnel or instruments, and efficient control of the buffering process is an effective means of reducing damage from shock energy. In this paper, magneto-rheological grease was used as the internal controllable material of the buffer [...] Read more.
Shock loads can pose a great threat to personnel or instruments, and efficient control of the buffering process is an effective means of reducing damage from shock energy. In this paper, magneto-rheological grease was used as the internal controllable material of the buffer to address the turbulence and settling problems of conventional magneto-rheological fluid. A bending and folding back magnetic circuit is proposed, and the magnetic circuit simulation was verified. The corresponding dynamic mechanical model was established, and the mechanical response characteristics of the buffer under impact load were also simulated dynamically. The mechanical properties of the designed and processed device were tested, and a variable current control method was used to improve the performance of the shock resistance of the buffer. The response of the magnetorheological grease buffer under different drop hammer impacts was investigated. The buffering effect and controllability of the buffer were analyzed by comparing the acceleration, velocity, and top-end cap displacement at the same drop hammer height for different current magnitudes. The results show that the buffer performance of the buffer gradually improved as the current increased. The response time of the designed new magnetorheological buffer was determined by the jump time of the peak damping force to be 9 ms. Lastly, the controllability was verified by manually and automatically adjusting the current magnitude, and the results were compared with those at 300 mm drop hammer height and 0.5 A current magnitude, and the continuous variable current control was found to be effective. This provides a feasible reference for scholars to study optimal buffer control. Full article
(This article belongs to the Special Issue Advances in Smart Materials and Applications)
Show Figures

Figure 1

34 pages, 8999 KB  
Review
A Review on Vibration Control Strategies Using Magnetorheological Materials Actuators: Application Perspective
by Aji Masa’id, Bhre Wangsa Lenggana, U. Ubaidillah, Didik Djoko Susilo and Seung-Bok Choi
Actuators 2023, 12(3), 113; https://doi.org/10.3390/act12030113 - 3 Mar 2023
Cited by 30 | Viewed by 8245
Abstract
Magnetorheological (MR) materials are a group of smart materials used in new technologies with controlled reliability. The development of these materials is expanding, starting from MR fluids, elastomers, grease, and gel. This large number of material types further expands the various applications of [...] Read more.
Magnetorheological (MR) materials are a group of smart materials used in new technologies with controlled reliability. The development of these materials is expanding, starting from MR fluids, elastomers, grease, and gel. This large number of material types further expands the various applications of MR materials as a creative technology to support performance enhancement. For example, MR fluid is used to improve the performance of shock absorbers such as vehicle suspension, the damping of building structures, and polishing of the workpiece. MR elastomers are used for engine mounting, insulation base, and many other applications with intelligent material properties such as stiffness controllability. However, there are still complexities in the practical implementation of the control system beyond reliability. Many previous studies have focused on the performance improvement and reliability of MR materials as smart materials for application devices and systems. In this review article, the specific discussion related to vibration control strategies in MR material-based systems was thoroughly investigated. To discuss this point, many MR applications including transportation system and vibration isolation were adopted using different types of control strategies. Many different control strategies that have been used for MR applications such as fuzzy logic control, optimal control, and skyhook control are discussed in-depth in terms of the inherent control characteristics of merits and demerits. Full article
(This article belongs to the Section Actuator Materials)
Show Figures

Figure 1

22 pages, 4964 KB  
Review
Bibliometric Review of Magnetorheological Materials
by U Ubaidillah, Bhre Wangsa Lenggana and Seung-Bok Choi
Sustainability 2022, 14(23), 15816; https://doi.org/10.3390/su142315816 - 28 Nov 2022
Cited by 4 | Viewed by 3177
Abstract
The findings and technological developments related to intelligent materials are increasingly attracting the attention of scientists. One such field is that of magnetorheological (MR) materials. Scientific studies on MR materials have been carried out to determine the performance and characteristics of, for example, [...] Read more.
The findings and technological developments related to intelligent materials are increasingly attracting the attention of scientists. One such field is that of magnetorheological (MR) materials. Scientific studies on MR materials have been carried out to determine the performance and characteristics of, for example, MR dampers, MR elastomers, and MR foams. To the best of the authors’ knowledge, there has been no statistical discussion in the form of bibliometric analyses of developments in the field of MR materials in the last ten years. This is fascinating, considering that bibliometric studies have considerable impacts and contributions, such as studies on the growth of research patterns, avoiding the repetition of research topics, and analyzing future research. This also supports the future sustainability of the topic of MR materials, helping to bridge the gap that has probably existed since the introduction of MR materials. The relationship between the authors’ scientific research, domestic and global collaborations, and the evolution of themes over the last few years is also shown in this analysis. Thus, this study aimed to fill the gap in such materials by conducting a bibliometric analysis of 1830 articles related to MR materials published over the last 10 years. The results indicated that the field of MR materials has exhibited good growth. The introduction of MR fluid materials to new types of MR materials is still in the early stages of research, such as in applications with MR foam. Further analysis showed that there is a connection and dominance of scientific publications related to MR technology. Furthermore, based on bibliometric analysis, dominant theme changes in the area of MR elastomers, particularly related to carbonyl iron particles and MR polishing, is seldom mentioned, as is also the case for MR gels, MR foam, and MR grease. However, the discussion of new MR materials is a good opportunity to promote developments in the field of MR materials. Full article
(This article belongs to the Special Issue Sustainability in Mechanical Design and Product Development)
Show Figures

Figure 1

18 pages, 6511 KB  
Article
Design and Feasibility Study of MRG–Based Variable Stiffness Soft Robot
by Luojing Huang, Hongsheng Hu and Qing Ouyang
Micromachines 2022, 13(11), 2036; https://doi.org/10.3390/mi13112036 - 21 Nov 2022
Cited by 15 | Viewed by 3119
Abstract
The conventional pneumatic soft robot has the problem of insufficient stiffness, while in the magnetorheological soft robot, the magnetic field provided by electromagnet has the disadvantage of oversized structure and poor flexibility. This paper presents a variable stiffness pneumatic soft robot based on [...] Read more.
The conventional pneumatic soft robot has the problem of insufficient stiffness, while in the magnetorheological soft robot, the magnetic field provided by electromagnet has the disadvantage of oversized structure and poor flexibility. This paper presents a variable stiffness pneumatic soft robot based on magnetorheological grease (MRG) to solve these problems. Its three soft fingers cooperate with the adjustable gripper to adjust the gripping range for the robot hand, and it is used to provide gripping driving force through the bending drive. The MRG layer is designed on the gripping surface to provide adaptivity and rigid support for the gripped objects. A magnetic-air structure consisting of a Halbach array and Halbach array actuator is designed inside the soft fingers to provide a flexible magnetic field for the MRG layer. Theoretical and simulation analysis is carried out, and the results show that the state of the MRG changes and the stiffness of the clamping surface changes under the working pressure of 30 kPa. Finally, the experiment further proves the variable and high adaptivity of the surface stiffness of the gripping surface to reduce the damage to the gripped objects. Full article
Show Figures

Figure 1

22 pages, 2075 KB  
Review
Sedimentation Stability of Magnetorheological Fluids: The State of the Art and Challenging Issues
by Seung-Bok Choi
Micromachines 2022, 13(11), 1904; https://doi.org/10.3390/mi13111904 - 3 Nov 2022
Cited by 43 | Viewed by 4914
Abstract
Among the many factors causing particle sedimentation, three principal ingredients are heavily involved: magnetic particles, a carrier liquid (base oil), and additives (surfactant). Therefore, many works have been carried out to improve the sedimentation stability of magnetorheological fluids (MRFs) by adopting the three [...] Read more.
Among the many factors causing particle sedimentation, three principal ingredients are heavily involved: magnetic particles, a carrier liquid (base oil), and additives (surfactant). Therefore, many works have been carried out to improve the sedimentation stability of magnetorheological fluids (MRFs) by adopting the three methods. In the particle modification stage, the weight concentration, size distribution, particle shape, coated materials, and combinations of different sizes of the particles have been proposed, while for the modification of the carrier liquid, several works on the density increment, wettability control, and the use of natural oils, lubricant oil, grease, and ethyl- and butyl-acetate oils have been undertaken. Recently, in certain recipes to improve sedimentation stability, some additives such as aluminum stearate were used to increase the redispersibility of the aggregated particles. In addition, several works using more than two recipes modifying both the particles and base oils are being actively carried out to achieve higher sedimentation stability. This review article comprehensively introduces and discuses the recipes to improve sedimentation stability from the aspects of the three ingredients. A few conceptual methodologies to prevent the sedimentation occurring via a bottle’s storage on the shelves of the application systems are also presented, since, to the author’s knowledge, there has not been a report on this issue. These are challenging works to be explored and developed for successful application systems’ MRFs. Full article
(This article belongs to the Special Issue Micro/Nanofluids in Magnetic/Electric Fields)
Show Figures

Figure 1

19 pages, 4886 KB  
Article
Effect of Magnetorheological Grease’s Viscosity to the Torque Performance in Magnetorheological Brake
by Khairul Anwar Abdul Kadir, Nurhazimah Nazmi, Norzilawati Mohamad, Muhammad Kashfi Shabdin, Dimas Adiputra, Saiful Amri Mazlan, Nur Azmah Nordin, Shahir Mohd Yusuf and Ubaidillah
Materials 2022, 15(16), 5717; https://doi.org/10.3390/ma15165717 - 19 Aug 2022
Cited by 15 | Viewed by 2687
Abstract
Recently, magnetorheological grease (MRG) has been utilized in magnetorheological (MR) brakes to generate a braking torque based on the current applied. However, the high initial viscosity of MRG has increased the off-state torque that led to the viscous drag of the brake. Therefore, [...] Read more.
Recently, magnetorheological grease (MRG) has been utilized in magnetorheological (MR) brakes to generate a braking torque based on the current applied. However, the high initial viscosity of MRG has increased the off-state torque that led to the viscous drag of the brake. Therefore, in this study, the off-state viscosity of MRG can be reduced by the introduction of dilution oil as an additive. Three samples consist of pure MRG (MRG 1) and MRG with different types of dilution oil; hydraulic (MRG 2) and kerosene (MRG 3) were prepared by mixing grease and spherical carbonyl iron particles (CIP) using a mechanical stirrer. The rheological properties in the rotational mode were examined using a rheometer and the torque performances in MR brake were evaluated by changing the current of 0 A, 0.4 A, 0.8 A, and 1.2 A with fixed angular speed. The result shows that MRG 3 has the lowest viscosity which is almost 93% reduction while the viscosity of MRG 2 has lowered to 25%. However, the torque performances generated by MRG 3 were highest, 1.44 Nm, when 1.2 A of current was applied and followed by MRG 2 and MRG 1. This phenomenon indicated that the improvement of torque performances was dependent on the viscosity of MRG. By reducing the viscosity of MRG, the restriction on CIP to form chain formation has also decreased and strengthen the torque of MRG brake. Consequently, the utilization of dilution oil in MRG could be considered in MR brake in near future. Full article
(This article belongs to the Special Issue Smart Materials: Next Generation in Science and Technology)
Show Figures

Figure 1

12 pages, 2701 KB  
Article
Studies with Rheological Behavior of Composite Lithium-Based Magnetorheological Grease
by Hua Yan, Pingyang Li, Chi Duan and Xiaomin Dong
Metals 2021, 11(11), 1826; https://doi.org/10.3390/met11111826 - 13 Nov 2021
Cited by 7 | Viewed by 2439
Abstract
Magnetorheological (MR) grease has advantages of the anti-settlement behavior and excellent sealing property compared with conventional MR materials. However, the rheological behaviors of MR effect and shear yield stress are too small to limit the further applications with MR grease. This paper proposes [...] Read more.
Magnetorheological (MR) grease has advantages of the anti-settlement behavior and excellent sealing property compared with conventional MR materials. However, the rheological behaviors of MR effect and shear yield stress are too small to limit the further applications with MR grease. This paper proposes a composite lithium-based MR grease with boric acid-hydroxyl stearic acid to improve the rheological behaviors. Eight different samples of composite lithium-based MR grease with different ratios of mass between lithium stearate and lithium borate are prepared by the saponification method. The rheological behaviors are tested and discussed with qualitative and quantitative analysis. The experimental results show that the off-state viscosity reduces with the decrement of the ratio of mass under low shear rate which changes from 68.7 Pa·s to 16.5 Pa·s. Lithium stearate content has more effects with off-state viscosity. Based on the Herschel-Bingham model, the shear stress of composite lithium-based MR grease can be improved dramatically by adjusting the ratio of mass which is increased by 170% under the magnetic flux density of 0.2 T. Compared with single lithium-based MR grease, the maximum yield shear stress is increased by 166.7% at off-state and the maximum MR effect is also increased by 19.1%. The MR effect can reach 23,600% with a specific mass ratio of the composite MR grease. The experimental results validate that the feasibility of the performance improvement by the composite lithium-based MR grease. Full article
Show Figures

Figure 1

16 pages, 4306 KB  
Article
Rheological Performance of Magnetorheological Grease with Embedded Graphite Additives
by Nur Alyaa Mohd Nasir, Nurhazimah Nazmi, Norzilawati Mohamad, Ubaidillah Ubaidillah, Nur Azmah Nordin, Saiful Amri Mazlan, Siti Aishah Abdul Aziz, Muhammad Kashfi Shabdin and Nurul Azhani Yunus
Materials 2021, 14(17), 5091; https://doi.org/10.3390/ma14175091 - 6 Sep 2021
Cited by 24 | Viewed by 3639
Abstract
The use of highly viscous grease as a medium in magnetorheological grease (MRG) provides the benefit of avoiding sedimentation from occurring. However, it limits the expansion of yield stress in the on-state condition, thus reducing the application performance during operation. Therefore, in this [...] Read more.
The use of highly viscous grease as a medium in magnetorheological grease (MRG) provides the benefit of avoiding sedimentation from occurring. However, it limits the expansion of yield stress in the on-state condition, thus reducing the application performance during operation. Therefore, in this study, the improvement in the rheological properties of MRG was investigated through the introduction of graphite as an additive. MRG with 10 wt % graphite (GMRG) was fabricated, and its properties were compared to a reference MRG sample. The microstructure of GMRG was characterized using an environmental scanning electron microscope (ESEM). The rheological properties of both samples, including apparent viscosity, yield stress, and viscoelasticity, were examined using a shear rheometer in rotational and oscillatory modes. The results demonstrated a slight increase in the apparent viscosity in GMRG and a significant improvement in yield stress by 38.8% at 3 A with growth about 32.7% higher compared to MRG from 0 to 3 A. An expansion of the linear viscoelastic region (LVE) from 0.01% to 0.1% was observed for the GMRG, credited to the domination of the elastic properties on the sample. These obtained results were confirmed based on ESEM, which described the contribution of graphite to constructing a more stable chain structure in the GMRG. In conclusion, the findings highlight the influence of the addition of graphite on improving the rheological properties of MRG. Hence, the addition of graphite in MRG shows the potential to be applied in many applications in the near future. Full article
Show Figures

Figure 1

15 pages, 5839 KB  
Article
Quasi-Static Rheological Properties of Lithium-Based Magnetorheological Grease under Large Deformation
by Huixing Wang, Guang Zhang and Jiong Wang
Materials 2019, 12(15), 2431; https://doi.org/10.3390/ma12152431 - 30 Jul 2019
Cited by 11 | Viewed by 3378
Abstract
This paper investigates the quasi-static rheological properties of lithium-based magnetorheological (MR) grease under large deformation. Three types of lithium-based MR grease comprising different mass ratios of carbonyl iron (CI) particles and lithium-based grease were prepared. The dependence of the magneto-induced stress–strain curves for [...] Read more.
This paper investigates the quasi-static rheological properties of lithium-based magnetorheological (MR) grease under large deformation. Three types of lithium-based MR grease comprising different mass ratios of carbonyl iron (CI) particles and lithium-based grease were prepared. The dependence of the magneto-induced stress–strain curves for MR grease on CI particles content, shear rate, and shear deformation under quasi-static monotonic shear conditions were tested and discussed. The results demonstrate that the shear rate dependence of the maximum yield stress is significantly weakened by the magnetic field, and this weakening is further enhanced as the CI particles content of MR grease increases. In addition, to evaluate and characterize the behavior of the cyclic shear–stress curves of MR grease under quasi-static condition, cyclic shear tests under different controlled conditions, i.e., CI particles content, shear rate, shear strain amplitude, and magnetic field strength, were conduct and analyzed. The magneto-induced shear stress of MR grease with higher CI particles content shows a sharp decrease during the transition from loading to unloading. Moreover, the experiment results also show that the damping characteristics of MR grease are highly correlated with CI particles content, shear strain, and magnetic field strength. Full article
Show Figures

Figure 1

17 pages, 2992 KB  
Article
Effects of Silicone Oil Viscosity and Carbonyl Iron Particle Weight Fraction and Size on Yield Stress for Magnetorheological Grease Based on a New Preparation Technique
by Kejie Wang, Xiaomin Dong, Junli Li, Kaiyuan Shi and Keju Li
Materials 2019, 12(11), 1778; https://doi.org/10.3390/ma12111778 - 31 May 2019
Cited by 27 | Viewed by 4282
Abstract
This paper investigated the effects of silicone oil viscosity (SOV) and carbonyl iron particle (CIP) weight fraction and size on dynamic yield stress for magnetorheological (MR) grease. The MR grease samples were prepared using orthogonal array L9 on the basis of a [...] Read more.
This paper investigated the effects of silicone oil viscosity (SOV) and carbonyl iron particle (CIP) weight fraction and size on dynamic yield stress for magnetorheological (MR) grease. The MR grease samples were prepared using orthogonal array L9 on the basis of a new preparation technology. The shear rheological tests were undertaken using a rotational shear rheometer and yield stress was obtained based on the Bingham fluid model. It was found that CIP fractions ranging from 65 wt% to 75 wt% and SOV varying from 50 m2·s−1 to 1000 m2·s−1 significantly affect the magnetic field-dependent yield stress of MR grease, but the CIPs with sizes of 3.2–3.9 μm hardly had any influence based on the analysis of variance (ANOVA). In addition, the yield stress of MR grease mainly depended on the CIP fraction and SOV by comparing their percent contribution (PC). It was further confirmed that there were positive effects of CIP fraction and SOV on yield stress through response surface analysis (RSA). The results showed a high dynamic yield stress. It indicated that MR grease is an intelligent material candidate which can be applied to many different areas requiring high field-induced rheological capabilities without flow for suspension. Moreover, based upon the multivariate regression equation, a constitutive model was developed to express the function of the yield stress as the SOV and fraction of CIPs under the application of magnetic fields. Full article
Show Figures

Figure 1

13 pages, 6428 KB  
Article
The Effect of Particle Shapes on the Field-Dependent Rheological Properties of Magnetorheological Greases
by Norzilawati Mohamad, Ubaidillah, Saiful Amri Mazlan, Seung-bok Choi, Siti Aishah Abdul Aziz and Masataka Sugimoto
Int. J. Mol. Sci. 2019, 20(7), 1525; https://doi.org/10.3390/ijms20071525 - 27 Mar 2019
Cited by 29 | Viewed by 3550
Abstract
The transient response of magnetorheological (MR) materials, in general, is very important for design consideration in MR-based devices. Better response to magnetic fields is beneficial for a better response rate to the electrical current applied in the electromagnetic coil. As a result, MR-based [...] Read more.
The transient response of magnetorheological (MR) materials, in general, is very important for design consideration in MR-based devices. Better response to magnetic fields is beneficial for a better response rate to the electrical current applied in the electromagnetic coil. As a result, MR-based devices would have a high response to external stimuli. In this work, the principal characteristics of magnetorheological greases (MRGs) which have two different particle shapes are experimentally investigated. One type of particle distributed in the grease medium is conventional spherical-shaped carbonyl iron (CI) particles, while the other is plate-like CI particles made using a high-energy rotary ball mill from spherical CI particles. A set of bidisperse MRG samples are firstly prepared by adjusting the weight percentage of the plate-like CI particles and mixing with the spherical CI particles. Subsequently, three important properties of MRGs in terms of their practical application are measured and compared between the two different particle shapes. The field-dependent apparent viscoelastic properties of the prepared MRG samples are measured, followed by the field-dependent storage and loss moduli using an oscillatory shear rheometer. In addition, the transient response time, which indicates the speed in the actuating period of MRGs, is measured by changing the strain amplitude. Then, a comparative assessment on the three properties are undertaken between two different particle shapes by presenting the corresponding results in the same plot. It is shown that the bidisperse MRG with plate-like CI particles exhibits an increase in the initial apparent viscosity as well as stiffness property compared to the MRG with spherical particles only. Full article
(This article belongs to the Section Materials Science)
Show Figures

Figure 1

Back to TopTop