Sign in to use this feature.

Years

Between: -

Subjects

remove_circle_outline
remove_circle_outline

Journals

Article Types

Countries / Regions

Search Results (4)

Search Parameters:
Keywords = magnetic measurements (VSM and SQUID)

Order results
Result details
Results per page
Select all
Export citation of selected articles as:
13 pages, 5379 KB  
Article
Potassium Ferrite for Biomedical Applications
by João P. F. Carvalho, Tânia Vieira, Jorge Carvalho Silva, Paula I. P. Soares, Nuno M. Ferreira, Carlos O. Amorim, Sílvia Soreto Teixeira and Manuel P. F. Graça
Materials 2023, 16(10), 3880; https://doi.org/10.3390/ma16103880 - 22 May 2023
Cited by 10 | Viewed by 2596
Abstract
Ferrites have been widely studied for their use in the biomedical area, mostly due to their magnetic properties, which gives them the potential to be used in diagnostics, drug delivery, and in treatment with magnetic hyperthermia, for example. In this work, KFeO2 [...] Read more.
Ferrites have been widely studied for their use in the biomedical area, mostly due to their magnetic properties, which gives them the potential to be used in diagnostics, drug delivery, and in treatment with magnetic hyperthermia, for example. In this work, KFeO2 particles were synthesized with a proteic sol-gel method using powdered coconut water as a precursor; this method is based on the principles of green chemistry. To improve its properties, the base powder obtained was subjected to multiple heat treatments at temperatures between 350 and 1300 °C. The samples obtained underwent structural, morphological, biocompatibility, and magnetic characterization. The results show that upon raising the heat treatment temperature, not only is the wanted phase detected, but also the secondary phases. To overcome these secondary phases, several different heat treatments were carried out. Using scanning electron microscopy, grains in the micrometric range were observed. Saturation magnetizations between 15.5 and 24.1 emu/g were observed for the samples containing KFeO2 with an applied field of 50 kOe at 300 K. From cellular compatibility (cytotoxicity) assays, for concentrations up to 5 mg/mL, only the samples treated at 350 °C were cytotoxic. However, the samples containing KFeO2, while being biocompatible, had low specific absorption rates (1.55–5.76 W/g). Full article
Show Figures

Figure 1

13 pages, 4100 KB  
Article
Facile Synthesis of Hollow Fe3O4-rGO Nanocomposites for the Electrochemical Detection of Acetaminophen
by Lazhen Shen, Jinlong Dong, Bin Wen, Xiangping Wen and Jianhui Li
Nanomaterials 2023, 13(4), 707; https://doi.org/10.3390/nano13040707 - 12 Feb 2023
Cited by 21 | Viewed by 3571
Abstract
Acetaminophen (AC) is one of the most popular pharmacologically active substances used as an analgesic and antipyretic drug. Herein, a new type of hollow Fe3O4-rGO/GCE electrode was prepared for electrochemical detection of AC through a three-step approach involving a [...] Read more.
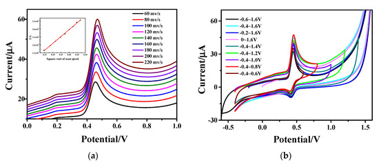
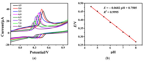
Acetaminophen (AC) is one of the most popular pharmacologically active substances used as an analgesic and antipyretic drug. Herein, a new type of hollow Fe3O4-rGO/GCE electrode was prepared for electrochemical detection of AC through a three-step approach involving a solvothermal method for the synthesis of hollow Fe3O4 and the chemical reduction of graphene oxide (GO) for reduced graphene oxide (rGO) and Fe3O4-rGO nanocomposites modified on the glassy carbon electrode (GCE) surface. The as-prepared Fe3O4-rGO nanocomposites were characterized using a transmission electron microscope (TEM), X-ray diffraction (XRD), and a magnetic measurement system (SQUID-VSM). The magnetic Fe3O4-rGO/GCE electrodes were employed for the electrochemical detection of AC using cyclic voltammetry (CV), electrochemical impedance spectroscopy (EIS), and square wave voltammetry (SWV) and exhibited an ultra-high selectivity and accuracy, a low detection limit of 0.11 µmol/L with a wider linear range from 5 × 10−7 to 10−4 mol/L, and high recovery between 100.52% and 101.43%. The obtained Fe3O4-rGO-modified GCE displays great practical significance for the detection of AC in drug analysis. Full article
Show Figures

Figure 1

15 pages, 5286 KB  
Article
Investigating Size- and Temperature-Dependent Coercivity and Saturation Magnetization in PEG Coated Fe3O4 Nanoparticles
by Chiranjib Nayek, Kaustuv Manna, Gourab Bhattacharjee, Pattukkannu Murugavel and Ihab Obaidat
Magnetochemistry 2017, 3(2), 19; https://doi.org/10.3390/magnetochemistry3020019 - 20 May 2017
Cited by 78 | Viewed by 10303
Abstract
Polyethylene glycol (PEG) coated magnetic Fe3O4 nanoparticles with diameters of 12 nm, 15 nm, and 16 nm were synthesized by the usual co-precipitation method. The structure and morphology of the samples were characterized using X-ray diffraction (XRD) and high resolution [...] Read more.
Polyethylene glycol (PEG) coated magnetic Fe3O4 nanoparticles with diameters of 12 nm, 15 nm, and 16 nm were synthesized by the usual co-precipitation method. The structure and morphology of the samples were characterized using X-ray diffraction (XRD) and high resolution transmission electron microscopy (HRTEM). The ac magnetic susceptibility measurements were carried out using a vibrating sample magnetometer (VSM). The dc magnetic measurements were carried out using a commercial Quantum Design superconducting quantum interference device (SQUID). The XRD patterns indicated the sole existence of the inverse cubic spinel phase of Fe3O4 in all the samples. The histograms extracted from the TEM images show narrow size distributions with average sizes that are very similar to those obtained from the XRD images using the Scherrer’s formula. The temperature dependence of both coercivity and saturation magnetization, which were determined from the magnetic hysteresis loops, were found to have considerable deviations from the Bloch’s and Kneller’s laws. The size-dependent coercivity and saturation magnetization were found to be non-monotonic at nearly all temperatures. These results are discussed and attributed mainly to the finite size effects in addition to the existence of inter-particle interactions and of spin-glass structures that resulted from frozen canted surface spins at low temperatures. Full article
Show Figures

Figure 1

10 pages, 3300 KB  
Article
Temperature- and Angle-Dependent Magnetic Properties of Ni Nanotube Arrays Fabricated by Electrodeposition in Polycarbonate Templates
by Yonghui Chen, Chen Xu, Yibo Zhou, Khan Maaz, Huijun Yao, Dan Mo, Shuangbao Lyu, Jinglai Duan and Jie Liu
Nanomaterials 2016, 6(12), 231; https://doi.org/10.3390/nano6120231 - 1 Dec 2016
Cited by 12 | Viewed by 5615
Abstract
Parallel arrays of Ni nanotubes with an external diameter of 150 nm, a wall thickness of 15 nm, and a length of 1.2 ± 0.3 µm were successfully fabricated in ion-track etched polycarbonate (PC) templates by electrochemical deposition. The morphology and crystal structure [...] Read more.
Parallel arrays of Ni nanotubes with an external diameter of 150 nm, a wall thickness of 15 nm, and a length of 1.2 ± 0.3 µm were successfully fabricated in ion-track etched polycarbonate (PC) templates by electrochemical deposition. The morphology and crystal structure of the nanotubes were characterized by scanning electron microscopy (SEM), transmission electron microscopy (TEM), and X-ray diffraction (XRD). Structural analyses indicate that Ni nanotubes have a polycrystalline structure with no preferred orientation. Angle dependent hysteresis studies at room temperature carried out by using a vibrating sample magnetometer (VSM) demonstrate a transition of magnetization between the two different magnetization reversal modes: curling rotation for small angles and coherent rotation for large angles. Furthermore, temperature dependent magnetic analyses performed with a superconducting quantum interference device (SQUID) magnetometer indicate that magnetization of the nanotubes follows modified Bloch’s law in the range 60–300 K, while the deviation of the experimental curve from this law below 60 K can be attributed to the finite size effects in the nanotubes. Finally, it was found that coercivity measured at different temperatures follows Kneller’s law within the premises of Stoner–Wohlfarth model for ferromagnetic nanostructures. Full article
Show Figures

Figure 1

Back to TopTop