Sign in to use this feature.

Years

Between: -

Subjects

remove_circle_outline
remove_circle_outline
remove_circle_outline
remove_circle_outline
remove_circle_outline
remove_circle_outline
remove_circle_outline
remove_circle_outline
remove_circle_outline

Journals

Article Types

Countries / Regions

Search Results (14)

Search Parameters:
Keywords = local linear GWR estimation

Order results
Result details
Results per page
Select all
Export citation of selected articles as:
28 pages, 32302 KB  
Article
Reconstructing Long-Term, High-Resolution Groundwater Storage Changes in the Songhua River Basin Using Supplemented GRACE and GRACE-FO Data
by Chuanqi Liu, Zhijie Zhang, Chi Xu and Wanchang Zhang
Remote Sens. 2024, 16(23), 4566; https://doi.org/10.3390/rs16234566 - 5 Dec 2024
Cited by 1 | Viewed by 2313
Abstract
The Gravity Recovery and Climate Experiment (GRACE) enables large-scale monitoring of terrestrial water storage changes, significantly contributing to hydrology and related fields. However, the coarse resolution of groundwater storage anomaly (GWSA) data limits local-scale research utilizing GRACE and GRACE-FO missions. In this study, [...] Read more.
The Gravity Recovery and Climate Experiment (GRACE) enables large-scale monitoring of terrestrial water storage changes, significantly contributing to hydrology and related fields. However, the coarse resolution of groundwater storage anomaly (GWSA) data limits local-scale research utilizing GRACE and GRACE-FO missions. In this study, we develop a regional downscaling model based on the linear regression relationship between GWSA and environmental variables, reducing the grid resolution of GWSA obtained from GRACE from approximately 25 km to 1 km. First, we estimate the missing values of monthly continuous terrestrial water storage anomaly (TWSA) for the period from 2003 to 2020 using interpolated multi-channel singular spectrum analysis (IMSSA). Next, we apply the water balance equation to separate GWSA from TWSA, which is provided jointly by the Global Land Data Assimilation System (GLDAS) and the distributed ecohydrological model ESSI-3. We then employ a partial least squares regression (PLSR) model to identify the most significant environmental variables related to GWSA. Precipitation (Prec), normalized difference vegetation index (NDVI), and actual evapotranspiration (AET), with variable importance in projection (VIP) values greater than 1.0, are recognized as effective variables for reconstructing long-term, high-resolution groundwater storage changes. Finally, we downscale and reconstruct the long-term (2003–2020), high-resolution (1 km × 1 km) monthly GWSA in the Songhua River Basin using fused and supplemented GRACE/GRACE-FO data, employing either geographically weighted regression (GWR) or random forest (RF) models. The results demonstrate superior performance of the GWR model (CC = 0.995, NSE = 0.989, RMSE = 2.505 mm) compared to the RF model in downscaling. The downscaled GWSA in the Songhua River Basin not only achieves high spatial resolution but also exhibits improved accuracy when compared to in situ groundwater observation records. This research enhances understanding of spatiotemporal variations in regional groundwater due to local agricultural and industrial water use, providing a scientific basis for regional water resource management. Full article
Show Figures

Graphical abstract

24 pages, 17782 KB  
Article
Estimation of Above-Ground Carbon Storage and Light Saturation Value in Northeastern China’s Natural Forests Using Different Spatial Regression Models
by Simin Wu, Yuman Sun, Weiwei Jia, Fan Wang, Shixin Lu and Haiping Zhao
Forests 2023, 14(10), 1970; https://doi.org/10.3390/f14101970 - 28 Sep 2023
Cited by 4 | Viewed by 2109
Abstract
In recent years, accurate estimation and spatial mapping of above-ground carbon (AGC) storage in forests have been crucial for formulating carbon trading policies and promoting sustainable development strategies. Forest structure complexities mean that during their growth, trees may be affected by the surrounding [...] Read more.
In recent years, accurate estimation and spatial mapping of above-ground carbon (AGC) storage in forests have been crucial for formulating carbon trading policies and promoting sustainable development strategies. Forest structure complexities mean that during their growth, trees may be affected by the surrounding environment, giving rise to spatial autocorrelation and heterogeneity in nearby forest segments. When estimating forest AGC through remote sensing, data saturation can arise in dense forest stands, adding to the uncertainties in AGC estimation. Our study used field-measured stand factors data from 138 forest fire risk plots located in Fenglin County in the Northeastern region, set within a series of temperate forest environments in 2021 and Sentinel-2 remote sensing image data with a spatial resolution of 10 m. Using ordinary least squares (OLS) as a baseline, we constructed and compared it against four spatial regression models, spatial lag model (SLM), spatial error model (SEM), spatial Durbin model (SDM), and geographically weighted regression (GWR), to better understand forest AGC spatial distribution. The results of local spatial analysis reveal significant spatial effects among plot data. The GWR model outperformed others with an R2 value of 0.695 and the lowest rRMSE at 0.273, considering spatial heterogeneity and extending the threshold range for AGC estimation. To address the challenge of light saturation during AGC estimation, we deployed traditional linear functions, the generalized additive model (GAM), and the quantile generalized additive model (QGAM). AGC light saturation values derived from QGAM most accurately reflect the actual conditions, with the forests in Fenglin County exhibiting a light saturation range of 108.832 to 129.894 Mg/ha. The GWR effectively alleviated the impact of data saturation, thereby reducing the uncertainty of AGC spatial distribution in Fenglin County. Overall, accurate predictions of large-scale forest carbon storage provide valuable guidance for forest management, forest conservation, and the promotion of sustainable development strategies. Full article
Show Figures

Figure 1

29 pages, 12061 KB  
Article
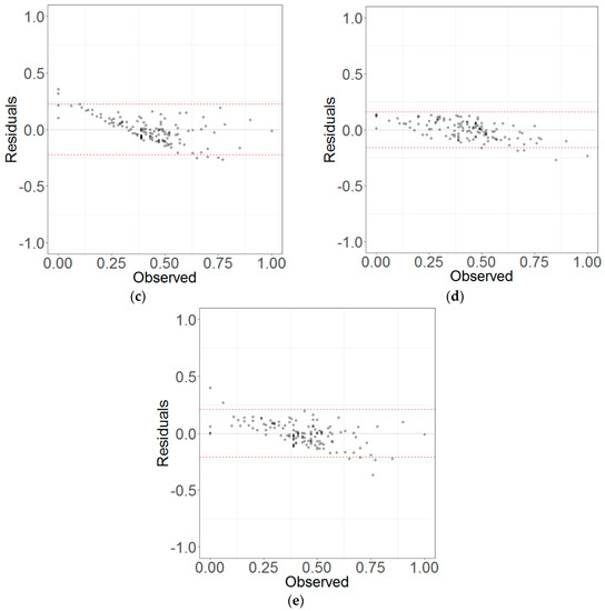
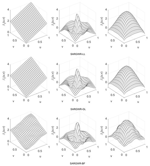
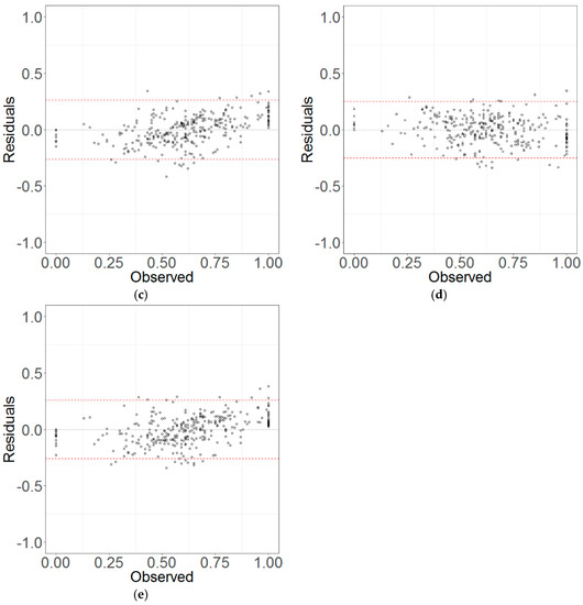
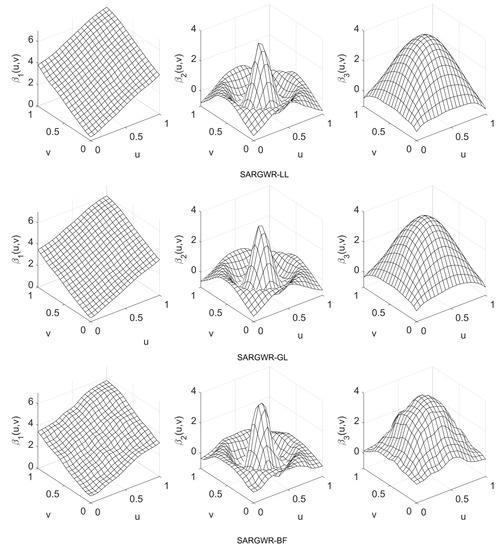
Non-Iterative Multiscale Estimation for Spatial Autoregressive Geographically Weighted Regression Models
by Shi-Jie Gao, Chang-Lin Mei, Qiu-Xia Xu and Zhi Zhang
Entropy 2023, 25(2), 320; https://doi.org/10.3390/e25020320 - 9 Feb 2023
Cited by 4 | Viewed by 2284
Abstract
Multiscale estimation for geographically weighted regression (GWR) and the related models has attracted much attention due to their superiority. This kind of estimation method will not only improve the accuracy of the coefficient estimators but also reveal the underlying spatial scale of each [...] Read more.
Multiscale estimation for geographically weighted regression (GWR) and the related models has attracted much attention due to their superiority. This kind of estimation method will not only improve the accuracy of the coefficient estimators but also reveal the underlying spatial scale of each explanatory variable. However, most of the existing multiscale estimation approaches are backfitting-based iterative procedures that are very time-consuming. To alleviate the computation complexity, we propose in this paper a non-iterative multiscale estimation method and its simplified scenario for spatial autoregressive geographically weighted regression (SARGWR) models, a kind of important GWR-related model that simultaneously takes into account spatial autocorrelation in the response variable and spatial heterogeneity in the regression relationship. In the proposed multiscale estimation methods, the two-stage least-squares (2SLS) based GWR and the local-linear GWR estimators of the regression coefficients with a shrunk bandwidth size are respectively taken to be the initial estimators to obtain the final multiscale estimators of the coefficients without iteration. A simulation study is conducted to assess the performance of the proposed multiscale estimation methods, and the results show that the proposed methods are much more efficient than the backfitting-based estimation procedure. In addition, the proposed methods can also yield accurate coefficient estimators and such variable-specific optimal bandwidth sizes that correctly reflect the underlying spatial scales of the explanatory variables. A real-life example is further provided to demonstrate the applicability of the proposed multiscale estimation methods. Full article
(This article belongs to the Section Information Theory, Probability and Statistics)
Show Figures

Figure 1

19 pages, 4563 KB  
Article
Do Vibrant Places Promote Active Living? Analyzing Local Vibrancy, Running Activity, and Real Estate Prices in Beijing
by Yuan Lai, Jiatong Li, Jiachen Zhang, Lan Yan and Yifeng Liu
Int. J. Environ. Res. Public Health 2022, 19(24), 16382; https://doi.org/10.3390/ijerph192416382 - 7 Dec 2022
Cited by 4 | Viewed by 3800
Abstract
Although extensive research has investigated urban vibrancy as a critical indicator for spatial planning, urban design, and economic development, the unclear relationship between local vibrancy and active living needs to be clarified and requires more in-depth analysis. This study localizes urban vibrancy at [...] Read more.
Although extensive research has investigated urban vibrancy as a critical indicator for spatial planning, urban design, and economic development, the unclear relationship between local vibrancy and active living needs to be clarified and requires more in-depth analysis. This study localizes urban vibrancy at both hyper-local and neighborhood scales by integrating high-resolution, large-scale, and heterogeneous urban datasets and analyzing interactions among variables representing vibrancy’s environmental, economic, and social aspects. We utilize publicly available urban open data, Points of Interest requested from API, and leisure running trajectories acquired through data mining to investigate the spatial distribution of various vibrancy indicators and how they interact with physical activity at the local scale. Based on these variables, we then construct linear regression models and Geographically Weighted Regression (GWR) models to test and estimate how local vibrancy and physical activity relate to residential real estate characteristics. The results reveal the strong impact of urban form on local vibrancy but not physical activeness. At the neighborhood level, all vibrancy factors are statistically significant to local residential real estate prices but with different interactions based on location. Our study highlights the importance of accounting for locality and different physical, environmental, social, and economic factors when analyzing and interpreting urban vibrancy at a granular scale within a city. Full article
Show Figures

Figure 1

17 pages, 5481 KB  
Article
Estimating Regional PM2.5 Concentrations in China Using a Global-Local Regression Model Considering Global Spatial Autocorrelation and Local Spatial Heterogeneity
by Heng Su, Yumin Chen, Huangyuan Tan, Annan Zhou, Guodong Chen and Yuejun Chen
Remote Sens. 2022, 14(18), 4545; https://doi.org/10.3390/rs14184545 - 11 Sep 2022
Cited by 10 | Viewed by 2896
Abstract
Linear regression models are commonly used for estimating ground PM2.5 concentrations, but the global spatial autocorrelation and local spatial heterogeneity of PM2.5 distribution are either ignored or only partially considered in commonly used models for estimating PM2.5 concentrations. Therefore, taking [...] Read more.
Linear regression models are commonly used for estimating ground PM2.5 concentrations, but the global spatial autocorrelation and local spatial heterogeneity of PM2.5 distribution are either ignored or only partially considered in commonly used models for estimating PM2.5 concentrations. Therefore, taking both global spatial autocorrelation and local spatial heterogeneity into consideration, a global-local regression (GLR) model is proposed for estimating ground PM2.5 concentrations in the Yangtze River Delta (YRD) and in the Beijing, Tianjin, Hebei (BTH) regions of China based on the aerosol optical depth data, meteorological data, remote sensing data, and pollution source data. Considering the global spatial autocorrelation, the GLR model extracts global factors by the eigenvector spatial filtering (ESF) method, and combines the fraction of them that passes further filtering with the geographically weighted regression (GWR) method to address the local spatial heterogeneity. Comprehensive results show that the GLR model outperforms the ordinary GWR and ESF models, and the GLR model has the best performance at the monthly, seasonal, and annual levels. The average adjusted R2 of the monthly GLR model in the YRD region (the BTH region) is 0.620 (0.853), which is 8.0% and 7.4% (6.8% and 7.0%) higher than that of the monthly ESF and GWR models, respectively. The average cross-validation root mean square error of the monthly GLR model is 7.024 μg/m3 in the YRD region, and 9.499 μg/m3 in the BTH region, which is lower than that of the ESF and GWR models. The GLR model can effectively address the spatial autocorrelation and spatial heterogeneity, and overcome the shortcoming of the ordinary GWR model that overfocuses on local features and the disadvantage of the poor local performance of the ordinary ESF model. Overall, the GLR model with good spatial and temporal applicability is a promising method for estimating PM2.5 concentrations. Full article
(This article belongs to the Special Issue Stereoscopic Remote Sensing of Air Pollutants and Applications)
Show Figures

Figure 1

20 pages, 4687 KB  
Article
Modeling Spatio-Temporal Divergence in Land Vulnerability to Desertification with Local Regressions
by Vito Imbrenda, Rosa Coluzzi, Valerio Di Stefano, Gianluca Egidi, Luca Salvati, Caterina Samela, Tiziana Simoniello and Maria Lanfredi
Sustainability 2022, 14(17), 10906; https://doi.org/10.3390/su141710906 - 31 Aug 2022
Cited by 31 | Viewed by 2609
Abstract
Taken as a classical issue in applied economics, the notion of ‘convergence’ is based on the concept of path dependence, i.e., from the previous trajectory undertaken by the system during its recent history. Going beyond social science, a ‘convergence’ perspective has been more [...] Read more.
Taken as a classical issue in applied economics, the notion of ‘convergence’ is based on the concept of path dependence, i.e., from the previous trajectory undertaken by the system during its recent history. Going beyond social science, a ‘convergence’ perspective has been more recently adopted in environmental studies. Spatial convergence in non-linear processes, such as desertification risk, is a meaningful notion since desertification represents a (possibly unsustainable) development trajectory of socio-ecological systems towards land degradation on a regional or local scale. In this study, we test—in line with the classical convergence approach—long-term equilibrium conditions in the evolution of desertification processes in Italy, a European country with significant socioeconomic and environmental disparities. Assuming a path-dependent development of desertification risk in Italy, we provided a diachronic analysis of the Environmental Sensitive Area Index (ESAI), estimated at a disaggregated spatial resolution at three times (1960s, 1990s, and 2010s) in the recent history of Italy, using a spatially explicit approach based on geographically weighted regressions (GWRs). The results of local regressions show a significant path dependence in the first time interval (1960–1990). A less significant evidence for path-dependence was observed for the second period (1990–2010); in both cases, the models’ goodness-of-fit (global adjusted R2) was satisfactory. A strong polarization along the latitudinal gradient characterized the first observation period: Southern Italian land experienced worse conditions (e.g., climate aridity, urbanization) and the level of land vulnerability in Northern Italy remained quite stable, alimenting the traditional divergence in desertification risk characteristic of the country. The empirical analysis delineated a more complex picture for the second period. Convergence (leading to stability, or even improvement, of desertification risk) in some areas of Southern Italy, and a more evident divergence (leading to worse environmental conditions because of urban sprawl and crop intensification) in some of the land of Northern Italy, were observed, leading to an undesired spatial homogenization toward higher vulnerability levels. Finally, this work suggests the importance of spatially explicit approaches providing relevant information to design more effective policy strategies. In the case of land vulnerability to degradation in Italy, local regression models oriented toward a ‘convergence’ perspective, may be adopted to uncover the genesis of desertification hotspots at both the regional and local scale. Full article
Show Figures

Figure 1

20 pages, 77111 KB  
Article
Research on the Temporal and Spatial Distributions of Standing Wood Carbon Storage Based on Remote Sensing Images and Local Models
by Xiaoyong Zhang, Yuman Sun, Weiwei Jia, Fan Wang, Haotian Guo and Ziqi Ao
Forests 2022, 13(2), 346; https://doi.org/10.3390/f13020346 - 18 Feb 2022
Cited by 13 | Viewed by 3028
Abstract
Background and Objectives: It is important to understand the temporal and spatial distributions of standing wood carbon storage in forests to maintain ecological balance and forest dynamics. Such information can provide technical and data support for promoting ecological construction, formulating different afforestation policies, [...] Read more.
Background and Objectives: It is important to understand the temporal and spatial distributions of standing wood carbon storage in forests to maintain ecological balance and forest dynamics. Such information can provide technical and data support for promoting ecological construction, formulating different afforestation policies, and implementing forest management strategies. Long-term series of Landsat 5 (Thematic Mapper, TM) and Landsat 8 (Operational Land Imager, OLI) remote sensing images and digital elevation models (DEM), as well as multiphase survey data, provide new opportunities for research on the temporal and spatial distributions of standing wood carbon storage in forests. Methods: The extracted remote sensing factors, terrain factors, and forest stand factors were analyzed with stepwise regression in relation to standing wood carbon storage to identify significant influential factors, build a global ordinary least squares (OLS) model and a linear mixed model (LMM), and construct a local geographically weighted regression (GWR), multiscale geographically weighted regression model (MGWR), temporally weighted regression (TWR), and geographically and temporally weighted regression (GTWR). Model evaluation indicators were used to calculate residual Moran’s I values, and the optimal model was selected to explore the spatiotemporal dynamics of standing wood carbon storage in the Liangshui Nature Reserve. Results: Remote sensing factors, topographic factors (Slope), and stand factors (Age and DBH) were significantly correlated with standing wood carbon storage, and the constructed global models exhibited fitting effects inferior to those of the established local models. LMM is also used as a global model to add random effects on the basis of OLS, and R2 is increased to 0.52 compared with OLS. The local models based on geographically weighted regression, namely, GWR, MGWR, TWR, and GTWR, all have good performance. Compared with OLS, the R2 is increased to 0.572, 0.589, 0.643, and 0.734, and the fitting effect of GTWR is the best. GTWR can overcome spatial autocorrelation and temporal autocorrelation problems, with a higher R2 (0.734) and a more ideal model residual than other models. This study develops a model for carbon storage (CS) considering various influential factors in the Liangshui area and provides a possible solution for the estimation of long-term carbon storage distribution. Full article
(This article belongs to the Special Issue Biomass Estimation and Carbon Stocks in Forest Ecosystems)
Show Figures

Figure 1

14 pages, 1102 KB  
Article
Selection of the Bandwidth Matrix in Spatial Varying Coefficient Models to Detect Anisotropic Regression Relationships
by Xijian Hu, Yaori Lu, Huiguo Zhang, Haijun Jiang and Qingdong Shi
Mathematics 2021, 9(18), 2343; https://doi.org/10.3390/math9182343 - 21 Sep 2021
Cited by 5 | Viewed by 2531
Abstract
The commonly used Geographically Weighted Regression (GWR) fitting method for a spatial varying coefficient model is to select a bandwidth h for the geographic location (u, v), and assign the same weight to the two dimensions. However, spatial data usually [...] Read more.
The commonly used Geographically Weighted Regression (GWR) fitting method for a spatial varying coefficient model is to select a bandwidth h for the geographic location (u, v), and assign the same weight to the two dimensions. However, spatial data usually present anisotropy. The introduction of a two-dimensional bandwidth matrix not only gives weight from two dimensions separately, but also increases the direction of kernel smoothness. The adaptive bandwidth matrix is more flexible. Therefore, in this paper, a two dimensional bandwidth matrix is introduced into the spatial varying coefficient model for parameter estimation. Through simulation experiments, the results obtained under the adaptive bandwidth matrix are compared with those obtained under the global bandwidth matrix, indicating the effectiveness of introducing the adaptive bandwidth matrix. Full article
Show Figures

Figure 1

18 pages, 8002 KB  
Article
Remote Sensing Estimation of Bamboo Forest Aboveground Biomass Based on Geographically Weighted Regression
by Jingyi Wang, Huaqiang Du, Xuejian Li, Fangjie Mao, Meng Zhang, Enbin Liu, Jiayi Ji and Fangfang Kang
Remote Sens. 2021, 13(15), 2962; https://doi.org/10.3390/rs13152962 - 28 Jul 2021
Cited by 28 | Viewed by 4365
Abstract
Bamboo forests are widespread in subtropical areas and are well known for their rapid growth and great carbon sequestration ability. To recognize the potential roles and functions of bamboo forests in regional ecosystems, forest aboveground biomass (AGB)—which is closely related to forest productivity, [...] Read more.
Bamboo forests are widespread in subtropical areas and are well known for their rapid growth and great carbon sequestration ability. To recognize the potential roles and functions of bamboo forests in regional ecosystems, forest aboveground biomass (AGB)—which is closely related to forest productivity, the forest carbon cycle, and, in particular, carbon sinks in forest ecosystems—is calculated and applied as an indicator. Among the existing studies considering AGB estimation, linear or nonlinear regression models are the most frequently used; however, these methods do not take the influence of spatial heterogeneity into consideration. A geographically weighted regression (GWR) model, as a spatial local model, can solve this problem to a certain extent. Based on Landsat 8 OLI images, we use the Random Forest (RF) method to screen six variables, including TM457, TM543, B7, NDWI, NDVI, and W7B6VAR. Then, we build the GWR model to estimate the bamboo forest AGB, and the results are compared with those of the cokriging (COK) and orthogonal least squares (OLS) models. The results show the following: (1) The GWR model had high precision and strong prediction ability. The prediction accuracy (R2) of the GWR model was 0.74, 9%, and 16% higher than the COK and OLS models, respectively, while the error (RMSE) was 7% and 12% lower than the errors of the COK and OLS models, respectively. (2) The bamboo forest AGB estimated by the GWR model in Zhejiang Province had a relatively dense spatial distribution in the northwestern, southwestern, and northeastern areas. This is in line with the actual bamboo forest AGB distribution in Zhejiang Province, indicating the potential practical value of our study. (3) The optimal bandwidth of the GWR model was 156 m. By calculating the variable parameters at different positions in the bandwidth, close attention is given to the local variation law in the estimation of the results in order to reduce the model error. Full article
Show Figures

Figure 1

18 pages, 292 KB  
Article
Location-Specific Adjustments in Population and Employment across Metropolitan America
by Gordon F. Mulligan and John I. Carruthers
Urban Sci. 2021, 5(1), 24; https://doi.org/10.3390/urbansci5010024 - 26 Feb 2021
Cited by 3 | Viewed by 2648
Abstract
This paper examines the joint adjustment of population and employment numbers across America’s metropolitan areas during the period 1990–2015. Current levels of both are estimated, for 10 year periods, using their lagged (own and cross) levels and eight other lagged variables. Population is [...] Read more.
This paper examines the joint adjustment of population and employment numbers across America’s metropolitan areas during the period 1990–2015. Current levels of both are estimated, for 10 year periods, using their lagged (own and cross) levels and eight other lagged variables. Population is affected by both human and natural amenities and employment by wages, patents, and other attributes of the workforce. This paper questions the conventional interpretation of the adjustment process by using geographically weighted regression (GWR) instead of standard linear (OLS, 2GLS) regression. Here the various estimates are all local, so the long-run equilibrium solutions for the adjustment process vary over space. Convergence no longer indicates a stable universal solution but instead involves a mix of stable and unstable local solutions. Local sustainability becomes an issue when making projections because employment can quickly lead or lag population in some metropolitan labor markets. Full article
20 pages, 5253 KB  
Article
Estimating PM2.5 Concentrations Using Spatially Local Xgboost Based on Full-Covered SARA AOD at the Urban Scale
by Zhiyu Fan, Qingming Zhan, Chen Yang, Huimin Liu and Muhammad Bilal
Remote Sens. 2020, 12(20), 3368; https://doi.org/10.3390/rs12203368 - 15 Oct 2020
Cited by 37 | Viewed by 4525
Abstract
The adverse effects caused by PM2.5 have drawn extensive concern and it is of great significance to identify its spatial distribution. Satellite-derived aerosol optical depth (AOD) has been widely used for PM2.5 estimation. However, the coarse spatial resolution and the gaps [...] Read more.
The adverse effects caused by PM2.5 have drawn extensive concern and it is of great significance to identify its spatial distribution. Satellite-derived aerosol optical depth (AOD) has been widely used for PM2.5 estimation. However, the coarse spatial resolution and the gaps caused by data deficiency impede its better application at the urban scale. Additionally, obtaining accurate results in unsampled spatial areas when PM2.5 ground sites are insufficient and distribute sparsely is also a challenging issue for PM2.5 spatial distribution estimation. This paper aimed to develop a model, i.e., spatially local extreme gradient boosting (SL-XGB), combining the powerful fitting ability of machine learning and optimal bandwidths of local models, to better estimate PM2.5 concentration at the urban scale by using Beijing as the study area. This paper adopted simplified high-resolution MODIS aerosol retrieval algorithm (SARA) AOD at 500 m resolution as the major independent variable, hence, ensuring the estimation can be operated at a fine scale. Moreover, the extreme gradient boosting (XGBoost) model was adopted to fill the gaps in SARA AOD, thus improving its availability. Then, based on full-covered SARA AOD and other multisource data, the SL-XGB model, integrating multiple local XGBoost models and particular optimal bandwidths, was trained to estimate PM2.5 concentration. For comparison, SL-XGB and two other models, XGBoost and geographically weighted regression (GWR), were evaluated by 10-fold cross validation (CV). The sample-based CV results reveal that the SL-XGB performed the best as assessed through R2 (0.88), root mean square error (RMSE = 24.08 μg/m3) and mean prediction error (MPE = 16.90 μg/m3). Additionally, SL-XGB also performed the best in the site-based CV with a R2 of 0.86, a RMSE of 26.15 μg/m3 and a MPE of 17.97 μg/m3, which shows its good spatial generalization ability. These results demonstrate that SL-XGB can better simultaneously handle non-linear and spatial heterogeneity issues despite spatially limited data at the urban scale. As far as the PM2.5 concentration distribution was concerned, it presented a gradient increase in PM2.5 concentrations from the northwest to the southeast in Beijing, with abundant spatial details. Overall, the proposed approach for PM2.5 estimation showed outstanding performance and can support preventive pollution control and mitigation at the urban scale. Full article
(This article belongs to the Section Atmospheric Remote Sensing)
Show Figures

Graphical abstract

31 pages, 6867 KB  
Article
mgwr: A Python Implementation of Multiscale Geographically Weighted Regression for Investigating Process Spatial Heterogeneity and Scale
by Taylor M. Oshan, Ziqi Li, Wei Kang, Levi J. Wolf and A. Stewart Fotheringham
ISPRS Int. J. Geo-Inf. 2019, 8(6), 269; https://doi.org/10.3390/ijgi8060269 - 8 Jun 2019
Cited by 601 | Viewed by 32947
Abstract
Geographically weighted regression (GWR) is a spatial statistical technique that recognizes that traditional ‘global’ regression models may be limited when spatial processes vary with spatial context. GWR captures process spatial heterogeneity by allowing effects to vary over space. To do this, GWR calibrates [...] Read more.
Geographically weighted regression (GWR) is a spatial statistical technique that recognizes that traditional ‘global’ regression models may be limited when spatial processes vary with spatial context. GWR captures process spatial heterogeneity by allowing effects to vary over space. To do this, GWR calibrates an ensemble of local linear models at any number of locations using ‘borrowed’ nearby data. This provides a surface of location-specific parameter estimates for each relationship in the model that is allowed to vary spatially, as well as a single bandwidth parameter that provides intuition about the geographic scale of the processes. A recent extension to this framework allows each relationship to vary according to a distinct spatial scale parameter, and is therefore known as multiscale (M)GWR. This paper introduces mgwr, a Python-based implementation of MGWR that explicitly focuses on the multiscale analysis of spatial heterogeneity. It provides novel functionality for inference and exploratory analysis of local spatial processes, new diagnostics unique to multi-scale local models, and drastic improvements to efficiency in estimation routines. We provide two case studies using mgwr, in addition to reviewing core concepts of local models. We present this in a literate programming style, providing an overview of the primary software functionality and demonstrations of suggested usage alongside the discussion of primary concepts and demonstration of the improvements made in mgwr. Full article
(This article belongs to the Special Issue Free and Open Source Tools for Geospatial Analysis and Mapping)
Show Figures

Figure 1

18 pages, 1459 KB  
Article
A Comparative Assessment of Geostatistical, Machine Learning, and Hybrid Approaches for Mapping Topsoil Organic Carbon Content
by Lin Chen, Chunying Ren, Lin Li, Yeqiao Wang, Bai Zhang, Zongming Wang and Linfeng Li
ISPRS Int. J. Geo-Inf. 2019, 8(4), 174; https://doi.org/10.3390/ijgi8040174 - 3 Apr 2019
Cited by 74 | Viewed by 8591
Abstract
Accurate digital soil mapping (DSM) of soil organic carbon (SOC) is still a challenging subject because of its spatial variability and dependency. This study is aimed at comparing six typical methods in three types of DSM techniques for SOC mapping in an area [...] Read more.
Accurate digital soil mapping (DSM) of soil organic carbon (SOC) is still a challenging subject because of its spatial variability and dependency. This study is aimed at comparing six typical methods in three types of DSM techniques for SOC mapping in an area surrounding Changchun in Northeast China. The methods include ordinary kriging (OK) and geographically weighted regression (GWR) from geostatistics, support vector machines for regression (SVR) and artificial neural networks (ANN) from machine learning, and geographically weighted regression kriging (GWRK) and artificial neural networks kriging (ANNK) from hybrid approaches. The hybrid approaches, in particular, integrated the GWR from geostatistics and ANN from machine learning with the estimation of residuals by ordinary kriging, respectively. Environmental variables, including soil properties, climatic, topographic, and remote sensing data, were used for modeling. The mapping results of SOC content from different models were validated by independent testing data based on values of the mean error, root mean squared error and coefficient of determination. The prediction maps depicted spatial variation and patterns of SOC content of the study area. The results showed the accuracy ranking of the compared methods in decreasing order was ANNK, SVR, ANN, GWRK, OK, and GWR. Two-step hybrid approaches performed better than the corresponding individual models, and non-linear models performed better than the linear models. When considering the uncertainty and efficiency, ML and two-step approach are more suitable than geostatistics in regional landscapes with the high heterogeneity. The study concludes that ANNK is a promising approach for mapping SOC content at a local scale. Full article
Show Figures

Graphical abstract

27 pages, 8001 KB  
Article
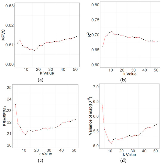
Optimizing kNN for Mapping Vegetation Cover of Arid and Semi-Arid Areas Using Landsat Images
by Hua Sun, Qing Wang, Guangxing Wang, Hui Lin, Peng Luo, Jiping Li, Siqi Zeng, Xiaoyu Xu and Lanxiang Ren
Remote Sens. 2018, 10(8), 1248; https://doi.org/10.3390/rs10081248 - 8 Aug 2018
Cited by 45 | Viewed by 5668
Abstract
Land degradation and desertification in arid and semi-arid areas is of great concern. Accurately mapping percentage vegetation cover (PVC) of the areas is critical but challenging because the areas are often remote, sparsely vegetated, and rarely populated, and it is difficult to collect [...] Read more.
Land degradation and desertification in arid and semi-arid areas is of great concern. Accurately mapping percentage vegetation cover (PVC) of the areas is critical but challenging because the areas are often remote, sparsely vegetated, and rarely populated, and it is difficult to collect field observations of PVC. Traditional methods such as regression modeling cannot provide accurate predictions of PVC in the areas. Nonparametric constant k-nearest neighbors (Cons_kNN) has been widely used in estimation of forest parameters and is a good alternative because of its flexibility. However, using a globally constant k value in Cons_kNN limits its ability of increasing prediction accuracy because the spatial variability of PVC in the areas leads to spatially variable k values. In this study, a novel method that spatially optimizes determining the spatially variable k values of Cons_kNN, denoted with Opt_kNN, was proposed to map the PVC in both Duolun and Kangbao County located in Inner Mongolia and Hebei Province of China, respectively, using Landsat 8 images and sample plot data. The Opt_kNN was compared with Cons_kNN, a linear stepwise regression (LSR), a geographically weighted regression (GWR), and random forests (RF) to improve the mapping for the study areas. The results showed that (1) most of the red and near infrared band relevant vegetation indices derived from the Landsat 8 images had significant contributions to improving the mapping accuracy; (2) compared with LSR, GWR, RF and Cons_kNN, Opt_kNN resulted in consistently higher prediction accuracies of PVC and decreased relative root mean square errors by 5%, 11%, 5%, and 3%, respectively, for Duolun, and 12%, 1%, 23%, and 9%, respectively, for Kangbao. The Opt_kNN also led to spatially variable and locally optimal k values, which made it possible to automatically and locally optimize k values; and (3) the RF that has become very popular in recent years did not perform the predictions better than the Opt_kNN for the both areas. Thus, the proposed method is very promising to improve mapping the PVC in the arid and semi-arid areas. Full article
(This article belongs to the Section Forest Remote Sensing)
Show Figures

Graphical abstract

Back to TopTop