Sign in to use this feature.

Years

Between: -

Subjects

remove_circle_outline
remove_circle_outline
remove_circle_outline
remove_circle_outline
remove_circle_outline
remove_circle_outline

Journals

Article Types

Countries / Regions

Search Results (13)

Search Parameters:
Keywords = local Parr functions

Order results
Result details
Results per page
Select all
Export citation of selected articles as:
10 pages, 2349 KB  
Article
Smoltification of Atlantic Salmon (Salmo salar L.) Is Associated with Enhanced Traffic and Renewal of B Cell Repertoire
by Aleksei Krasnov, Sergey Afanasyev, Marianne H. S. Hansen, Marta Bou, Lene Sveen and Jens-Erik Dessen
Genes 2024, 15(9), 1220; https://doi.org/10.3390/genes15091220 - 18 Sep 2024
Cited by 2 | Viewed by 2449
Abstract
The smoltification of farmed Atlantic salmon is commonly associated with mild immunosuppression. However, B cells may deviate from this trend, showing increased proliferation and migration during this period. This study assessed the effects of smoltification and adaptation to seawater in a controlled experiment. [...] Read more.
The smoltification of farmed Atlantic salmon is commonly associated with mild immunosuppression. However, B cells may deviate from this trend, showing increased proliferation and migration during this period. This study assessed the effects of smoltification and adaptation to seawater in a controlled experiment. Analyses were conducted on the head kidney, spleen, gill, and both visceral and subcutaneous fat (VAT, SAT) across four time points: parr, early and complete smoltification, and twelve weeks post-seawater transfer. Gene expression analysis was performed to track the distribution and developmental changes in their B cells. Expression profiles of three types of immunoglobulins (ig), including membrane-bound and secreted forms of igm, as well as B cell-specific markers pax1 and cd79, showed strong correlations and contrasted with profiles of other immune cell markers. The highest levels of expression were observed in the lymphatic tissue, followed by the VAT. Enhanced expression in the gill and adipose tissues of smolts suggested an increase in B cell populations. Parallel sequencing of the variable region of the IgM heavy chain was used to track B cell traffic, assessed by the co-occurrence of the most abundant sequences (clonotypes) across different tissues. Smoltification markedly enhanced traffic between all tissues, which returned to initial levels after twelve weeks in the sea. The preferred migration between the head kidney, spleen, and VAT supports the role of abdominal fat as a reservoir of lymphocytes. These findings are discussed in the context of recent studies that suggested the functional significance of B cell traffic in Atlantic salmon. Specifically, the migration of B cells expressing secreted immunoglobulins to virus-infected hearts has been identified as a key factor in the disease recovery and survival of fish challenged with salmon alphavirus (SAV); this process is accelerated by vaccination. Additionally, the study of melanized foci in the skeletal muscles revealed an association between antigen-dependent differentiation and the migration of B cells, indicating a transfer from local to systemic immune responses. Updating the antibody repertoire in the lymphatic and peripheral tissues of smolts may assist in their adaptation to the marine environment and in encountering new pathogens. Emerging evidence highlights B cell migration as an important and previously unrecognized immune mechanism in salmonids. Full article
(This article belongs to the Special Issue Genetic Studies of Fish)
Show Figures

Figure 1

14 pages, 2608 KB  
Article
Long-Range Effects in Topologically Defective Arm-Chair Graphene Nanoribbons
by Enrique Louis, Guillermo Chiappe, José A. Vergés and Emilio San-Fabián
Nanomaterials 2024, 14(9), 778; https://doi.org/10.3390/nano14090778 - 30 Apr 2024
Cited by 1 | Viewed by 1784
Abstract
The electronic structure of 7/9-AGNR superlattices with up to eight unit cells has been studied by means of state-of-the-art Density Functional Theory (DFT) and also by two model Hamiltonians, the first one including only local interactions (Hubbard model, Hu) while the second one [...] Read more.
The electronic structure of 7/9-AGNR superlattices with up to eight unit cells has been studied by means of state-of-the-art Density Functional Theory (DFT) and also by two model Hamiltonians, the first one including only local interactions (Hubbard model, Hu) while the second one is extended to allow long-range Coulomb interactions (Pariser, Parr and Pople model, PPP). Both are solved within mean field approximation. At this approximation level, our calculations show that 7/9 interfaces are better described by spin non-polarized solutions than by spin-polarized wavefunctions. Consequently, both Hu and PPP Hamiltonians lead to electronic structures characterized by a gap at the Fermi level that diminishes as the size of the system increases. DFT results show similar trends although a detailed analysis of the density of states around the Fermi level shows quantitative differences with both Hu and PPP models. Before improving model Hamiltonians, we interpret the electronic structure obtained by DFT in terms of bands of topological states: topological states localized at the system edges and extended bulk topological states that interact between them due to the long-range Coulomb terms of Hamiltonian. After careful analysis of the interaction among topological states, we find that the discrepancy between ab initio and model Hamiltonians can be resolved considering a screened long-range interaction that is implemented by adding an exponential cutoff to the interaction term of the PPP model. In this way, an adjusted cutoff distance λ=2 allows a good recovery of DFT results. In view of this, we conclude that the correct description of the density of states around the Fermi level (Dirac point) needs the inclusion of long-range interactions well beyond the Hubbard model but not completely unscreened as is the case for the PPP model. Full article
Show Figures

Figure 1

16 pages, 2762 KB  
Article
Theoretical Investigation on Selected 3-Amino-5-[(2,4,6-trinitrophenyl)amino]-1H-1,2,4-triazole Salts with Energetic Anions: A Perspective
by Jelena Tamuliene and Jonas Sarlauskas
Energies 2024, 17(2), 460; https://doi.org/10.3390/en17020460 - 17 Jan 2024
Viewed by 1323
Abstract
The current work is dedicated to the search for new high-energy materials (HEMs) with improved characteristics, which are gained through agglomeration with salts. The research was performed by Becke’s three-parameter hybrid functional approach, with non-local correlation provided by Lee, Yang, and Parr, and [...] Read more.
The current work is dedicated to the search for new high-energy materials (HEMs) with improved characteristics, which are gained through agglomeration with salts. The research was performed by Becke’s three-parameter hybrid functional approach, with non-local correlation provided by Lee, Yang, and Parr, and the cc-pVTZ basis set. The structure, total energy, and heat of formation, presented as binding energy per atom of the most stable compounds formed due to 3-amino-5-[(2,4,6-trinitrophenyl) amino]-1H-1,2,4-triazole (APATO) within selected salts, were obtained to foresee its influence on resistance to shock stimuli, detonation pressure, and velocity of the materials under study. The results obtained allow us to foresee that only agglomeration with precise salts could lead to a significant improvement in the stability of the specific high-energy materials and resistance to shock stimuli. We also show that agglomeration leads to better energetic properties of the above-mentioned compound, although the improvement may be insignificant in some cases. Full article
(This article belongs to the Special Issue Trends and Prospects in Advanced Energy Materials 2023)
Show Figures

Figure 1

24 pages, 9997 KB  
Article
Structural Analysis and Reactivity Insights of (E)-Bromo-4-((4-((1-(4-chlorophenyl)ethylidene)amino)-5-phenyl-4H-1,2,4-triazol-3-yl)thio)-5-((2-isopropylcyclohexyl)oxy) Furan-2(5H)-one: A Combined Approach Using Single-Crystal X-ray Diffraction, Hirshfeld Surface Analysis, and Conceptual Density Functional Theory
by Ahmed H. Bakheit, Mohamed W. Attwa, Adnan A. Kadi and Hamad M. Alkahtani
Crystals 2023, 13(9), 1313; https://doi.org/10.3390/cryst13091313 - 28 Aug 2023
Cited by 16 | Viewed by 3714
Abstract
This study presents a comprehensive exploration of the structure–reactivity relationship of (E)-3-bromo-4-((4-((1-(4-chlorophenyl)ethylidene)amino)-5-phenyl-4H-1,2,4-triazol-3-yl)thio)-5-((2-isopropylcyclohexyl)oxy)furan-2(5H)-one. The study embarked on an in-depth investigation into the solid-state crystal structure of this organic compound, employing computational Density Functional Theory (DFT) and related methodologies, which have not extensively [...] Read more.
This study presents a comprehensive exploration of the structure–reactivity relationship of (E)-3-bromo-4-((4-((1-(4-chlorophenyl)ethylidene)amino)-5-phenyl-4H-1,2,4-triazol-3-yl)thio)-5-((2-isopropylcyclohexyl)oxy)furan-2(5H)-one. The study embarked on an in-depth investigation into the solid-state crystal structure of this organic compound, employing computational Density Functional Theory (DFT) and related methodologies, which have not extensively been used in the examination of such compounds. A single-crystal X-ray diffraction (SCXRD) analysis was initially performed, supplemented by a Hirshfeld surfaces analysis. This latter approach was instrumental in visualizing and quantifying intermolecular interactions within the crystal structures, offering a detailed representation of the molecule’s shape and properties within its crystalline environment. The concept of energy framework calculations was utilized to understand the varied types of energies contributing to the supramolecular architecture of the molecules within the crystal. The Conceptual DFT (CDFT) was applied to predict global reactivity descriptors and local nucleophilic/electrophilic Parr functions, providing a deeper understanding of the compound’s chemical reactivity properties. The aromatic character and π–π stacking ability were also evaluated with the help of LOLIPOP and ring aromaticity measures. This comprehensive approach not only provides a detailed description of the structure and properties of the investigated compound but also offers valuable insights into the design and development of new materials involving 1,2,4-triazole systems. Full article
(This article belongs to the Special Issue Density Functional Theory (DFT) and Beyond for Crystalline Materials)
Show Figures

Figure 1

18 pages, 3487 KB  
Article
Computational Studies of Energetic Property Peculiarities in Trinitrophenyl-Substituted Nitramines
by Jelena Tamuliene and Jonas Sarlauskas
Energies 2023, 16(13), 5180; https://doi.org/10.3390/en16135180 - 5 Jul 2023
Cited by 3 | Viewed by 1714
Abstract
This research was performed using Becke’s three-parameter hybrid functional approach with non-local correlation provided by Lee, Yang, and Parr and the cc-pVTZ basis set. The geometry, total energy, and heat of formation of the most stable conformers of the nitramines under study were [...] Read more.
This research was performed using Becke’s three-parameter hybrid functional approach with non-local correlation provided by Lee, Yang, and Parr and the cc-pVTZ basis set. The geometry, total energy, and heat of formation of the most stable conformers of the nitramines under study were obtained to obtain the density, resistance to shock stimuli, detonation pressure, and velocity of the materials under study. The results obtained allow us to predict new multipurpose energetic materials with a good balance between energy and stability. Our findings show that N-(2-nitroethyl)-N-(2,4,6-trinitrophenyl)nitramine, N-(2,4,6-trinitrophenyl)-N-[(3,4,5-trinitro-1H-pyrazol-1-yl)methyl]nitramine, N-(2,2-dinitroethyl)-N-(2,4,6-trinitrophenyl)nitramine, N-(2,2,2-trinitroethyl)-N-(2,4,6-trinitrophenyl)nitramine, and N-(trinitromethyl)-N-(2,4,6-trinitrophenyl)nitramine possess better explosive properties and a greater stability compared to tetryl, although they remain sensitive to shock stimuli. Referring to the results obtained, we recommend new tetryl analogs containing dinitroethyl, trinitroethyl, and trinitromethyl substituents for practical usage. Full article
(This article belongs to the Section D1: Advanced Energy Materials)
Show Figures

Figure 1

14 pages, 3847 KB  
Article
Impact of Incremental Methylene Groups on the Energetic Properties of Aromatic Nitramines
by Jelena Tamuliene and Jonas Sarlauskas
Energies 2023, 16(7), 3117; https://doi.org/10.3390/en16073117 - 29 Mar 2023
Cited by 3 | Viewed by 1798
Abstract
The investigation of a series of secondary aromatic nitramines was performed to reveal the impact of incremental methylene groups on the stability, shock impulse, and energetic properties of these compounds. Becke’s three-parameter hybrid functional approach with non-local correlation provided by Lee, Yang, and [...] Read more.
The investigation of a series of secondary aromatic nitramines was performed to reveal the impact of incremental methylene groups on the stability, shock impulse, and energetic properties of these compounds. Becke’s three-parameter hybrid functional approach with non-local correlation provided by Lee, Yang, and Parr and a cc-pVTZ basis set was used to obtain the geometry, total energy, and heat of formation of the most stable conformers of these aromatic nitramines. These parameters were used to evaluate the density, resistance to shock stimuli, detonation pressure, and velocity of the nitramines under study. Referring to the results obtained, we concluded that the thermal stability and resistance to shock stimuli of the compound investigated was directly CH2 chain length-dependent, while their energetic- properties, such as detonation pressure and velocity, were worsened due to this chain increase. We also found that the stability of the compounds increases more significantly than the worsening energetic properties of aromatic nitramines. The results obtained reveal that in some cases the number of CH2 in the chain should be smaller than three so that the explosive properties of the compounds under study would not be worse than TNT. Full article
(This article belongs to the Section D1: Advanced Energy Materials)
Show Figures

Figure 1

20 pages, 39026 KB  
Article
Conceptual DFT-Based Computational Peptidology of Marine Natural Compounds: Discodermins A–H
by Norma Flores-Holguín, Juan Frau and Daniel Glossman-Mitnik
Molecules 2020, 25(18), 4158; https://doi.org/10.3390/molecules25184158 - 11 Sep 2020
Cited by 37 | Viewed by 3636
Abstract
A methodology based on the concepts that arise from Density Functional Theory named Conceptual Density Functional Theory (CDFT) was chosen for the calculation of some global and local reactivity descriptors of the Discodermins A–H family of marine peptides through the consideration of the [...] Read more.
A methodology based on the concepts that arise from Density Functional Theory named Conceptual Density Functional Theory (CDFT) was chosen for the calculation of some global and local reactivity descriptors of the Discodermins A–H family of marine peptides through the consideration of the KID (Koopmans in DFT) technique that was successfully used in previous studies of this kind of molecular systems. The determination of active sites of the studied molecules for different kinds of reactivities was achieved by resorting to some CDFT-based descriptors like the Fukui functions as well as the Parr functions derived from Molecular Electron Density Theory (MEDT). A few properties identified with their ability to behave as a drug and the bioactivity of the peptides considered in this examination were acquired by depending on a homology model by studying the correlation with the known bioactivity of related molecules in their interaction with various biological receptors. With the further object of analyzing their bioactivity, some parameters of usefulness for future QSAR studies, their predicted biological targets, and the ADME (Absorption, Distribution, Metabolism, and Excretion) parameters related to the Discodermins A–H pharmacokinetics are also reported. Full article
Show Figures

Figure 1

19 pages, 415 KB  
Article
Shannon Entropy in Confined He-Like Ions within a Density Functional Formalism
by Sangita Majumdar and Amlan K. Roy
Quantum Rep. 2020, 2(1), 189-207; https://doi.org/10.3390/quantum2010012 - 10 Feb 2020
Cited by 28 | Viewed by 3821
Abstract
Shannon entropy in position ( S r ) and momentum ( S p ) spaces, along with their sum ( S t ) are presented for unit-normalized densities of He, Li + and Be 2 + ions, spatially confined at the center of [...] Read more.
Shannon entropy in position ( S r ) and momentum ( S p ) spaces, along with their sum ( S t ) are presented for unit-normalized densities of He, Li + and Be 2 + ions, spatially confined at the center of an impenetrable spherical enclosure defined by a radius r c . Both ground, as well as some selected low-lying singly excited states, viz., 1sns (n = 2–4) 3S, 1snp (n = 2–3) 3P, 1s3d 3D, are considered within a density functional methodology that makes use of a work function-based exchange potential along with two correlation potentials (local Wigner-type parametrized functional, as well as the more involved non-linear gradient- and Laplacian-dependent Lee-Yang-Parr functional). The radial Kohn-Sham (KS) equation is solved using an optimal spatial discretization scheme via the generalized pseudospectral (GPS) method. A detailed systematic analysis of the confined system (relative to the corresponding free system) is performed for these quantities with respect to r c in tabular and graphical forms, with and without electron correlation. Due to compression, the pattern of entropy in the aforementioned states becomes characterized by various crossovers at intermediate and lower r c regions. The impact of electron correlation is more pronounced in the weaker confinement limit and appears to decay with the rise in confinement strength. The exchange-only results are quite good to provide a decent qualitative discussion. The lower bounds provided by the entropic uncertainty relation hold well in all cases. Several other new interesting features are observed. Full article
(This article belongs to the Special Issue Applications of Information Entropies in Quantum Science)
Show Figures

Figure 1

17 pages, 5072 KB  
Article
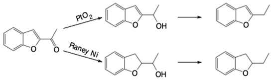
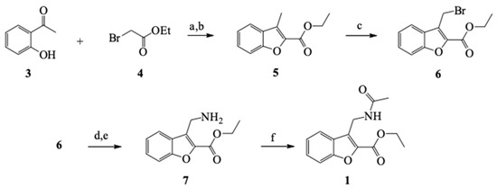
Quantum Reality in the Selective Reduction of a Benzofuran System
by Arturo Coaviche-Yoval, Erik Andrade-Jorge, Cuauhtémoc Pérez-González, Héctor Luna, Ricardo Tovar-Miranda and José G. Trujillo-Ferrara
Molecules 2019, 24(11), 2061; https://doi.org/10.3390/molecules24112061 - 30 May 2019
Cited by 5 | Viewed by 3345
Abstract
Two 2,3-disubstituted benzofurans (1 and 2), analogs of gamma-aminobutyric acid (GABA), were synthesized to obtain their 2,3-dihydro derivatives from the Pd/C-driven catalytic reduction of the double bond in the furanoid ring. The synthesis produced surprising by-products. Therefore, theoretical calculations of global [...] Read more.
Two 2,3-disubstituted benzofurans (1 and 2), analogs of gamma-aminobutyric acid (GABA), were synthesized to obtain their 2,3-dihydro derivatives from the Pd/C-driven catalytic reduction of the double bond in the furanoid ring. The synthesis produced surprising by-products. Therefore, theoretical calculations of global and local reactivity were performed based on Pearson’s hard and soft acids and bases (HSAB) principle to understand the regioselectivity that occurred in the reduction of the olefinic carbons of the compounds. Local electrophilicity (ωk) was the most useful parameter for explaining the selectivity of the polar reactions. This local parameter was defined with the condensed Fukui function and redefined with the electrophilic (Pk+) Parr function. The similar patterns of both resulting sets of values helped to demonstrate the electrophilic behavior (soft acid) of the olefinic carbons in these compounds. The theoretical calculations, nuclear magnetic resonance, and resonance hybrids showed the moieties in each compound that are most susceptible to reduction. Full article
Show Figures

Graphical abstract

10 pages, 3224 KB  
Article
A Computational Study of Structure and Reactivity of N-Substitued-4-Piperidones Curcumin Analogues and Their Radical Anions
by Maximiliano Martínez-Cifuentes, Boris Weiss-López and Ramiro Araya-Maturana
Molecules 2016, 21(12), 1658; https://doi.org/10.3390/molecules21121658 - 2 Dec 2016
Cited by 6 | Viewed by 6245
Abstract
In this work, a computational study of a series of N-substitued-4-piperidones curcumin analogues is presented. The molecular structure of the neutral molecules and their radical anions, as well as their reactivity, are investigated. N-substituents include methyl and benzyl groups, while substituents [...] Read more.
In this work, a computational study of a series of N-substitued-4-piperidones curcumin analogues is presented. The molecular structure of the neutral molecules and their radical anions, as well as their reactivity, are investigated. N-substituents include methyl and benzyl groups, while substituents on the aromatic rings cover electron-donor and electron-acceptor groups. Substitutions at the nitrogen atom do not significantly affect the geometry and frontier molecular orbitals (FMO) energies of these molecules. On the other hand, substituents on the aromatic rings modify the distribution of FMO. In addition, they influence the capability of these molecules to attach an additional electron, which was studied through adiabatic (AEA) and vertical electron affinities (VEA), as well as vertical detachment energy (VDE). To study electrophilic properties of these structures, local reactivity indices, such as Fukui (f+) and Parr (P+) functions, were calculated, and show the influence of the aromatic rings substituents on the reactivity of α,β-unsaturated ketones towards nucleophilic attack. This study has potential implications for the design of curcumin analogues based on a 4-piperidone core with desired reactivity. Full article
Show Figures

Graphical abstract

15 pages, 3747 KB  
Article
Protonation Sites, Tandem Mass Spectrometry and Computational Calculations of o-Carbonyl Carbazolequinone Derivatives
by Maximiliano Martínez-Cifuentes, Graciela Clavijo-Allancan, Pamela Zuñiga-Hormazabal, Braulio Aranda, Andrés Barriga, Boris Weiss-López and Ramiro Araya-Maturana
Int. J. Mol. Sci. 2016, 17(7), 1071; https://doi.org/10.3390/ijms17071071 - 5 Jul 2016
Cited by 5 | Viewed by 6688
Abstract
A series of a new type of tetracyclic carbazolequinones incorporating a carbonyl group at the ortho position relative to the quinone moiety was synthesized and analyzed by tandem electrospray ionization mass spectrometry (ESI/MS-MS), using Collision-Induced Dissociation (CID) to dissociate the protonated species. Theoretical [...] Read more.
A series of a new type of tetracyclic carbazolequinones incorporating a carbonyl group at the ortho position relative to the quinone moiety was synthesized and analyzed by tandem electrospray ionization mass spectrometry (ESI/MS-MS), using Collision-Induced Dissociation (CID) to dissociate the protonated species. Theoretical parameters such as molecular electrostatic potential (MEP), local Fukui functions and local Parr function for electrophilic attack as well as proton affinity (PA) and gas phase basicity (GB), were used to explain the preferred protonation sites. Transition states of some main fragmentation routes were obtained and the energies calculated at density functional theory (DFT) B3LYP level were compared with the obtained by ab initio quadratic configuration interaction with single and double excitation (QCISD). The results are in accordance with the observed distribution of ions. The nature of the substituents in the aromatic ring has a notable impact on the fragmentation routes of the molecules. Full article
(This article belongs to the Special Issue Chemical Bond and Bonding 2016)
Show Figures

Graphical abstract

22 pages, 3597 KB  
Review
Applications of the Conceptual Density Functional Theory Indices to Organic Chemistry Reactivity
by Luis R. Domingo, Mar Ríos-Gutiérrez and Patricia Pérez
Molecules 2016, 21(6), 748; https://doi.org/10.3390/molecules21060748 - 9 Jun 2016
Cited by 1059 | Viewed by 24500
Abstract
Theoretical reactivity indices based on the conceptual Density Functional Theory (DFT) have become a powerful tool for the semiquantitative study of organic reactivity. A large number of reactivity indices have been proposed in the literature. Herein, global quantities like the electronic chemical potential [...] Read more.
Theoretical reactivity indices based on the conceptual Density Functional Theory (DFT) have become a powerful tool for the semiquantitative study of organic reactivity. A large number of reactivity indices have been proposed in the literature. Herein, global quantities like the electronic chemical potential μ, the electrophilicity ω and the nucleophilicity N indices, and local condensed indices like the electrophilic P k + and nucleophilic P k Parr functions, as the most relevant indices for the study of organic reactivity, are discussed. Full article
Show Figures

Figure 1

17 pages, 197 KB  
Article
From ELF to Compressibility in Solids
by Julia Contreras-García, Miriam Marqués, José Manuel Menéndez and José Manuel Recio
Int. J. Mol. Sci. 2015, 16(4), 8151-8167; https://doi.org/10.3390/ijms16048151 - 13 Apr 2015
Cited by 11 | Viewed by 6678
Abstract
Understanding the electronic nature of materials’ compressibility has alwaysbeen a major issue behind tabulation and rationalization of bulk moduli. This is especiallybecause this understanding is one of the main approaches to the design and proposal of newmaterials with a desired (e.g., ultralow) compressibility. [...] Read more.
Understanding the electronic nature of materials’ compressibility has alwaysbeen a major issue behind tabulation and rationalization of bulk moduli. This is especiallybecause this understanding is one of the main approaches to the design and proposal of newmaterials with a desired (e.g., ultralow) compressibility. It is well recognized that the softestpart of the solid will be the one responsible for its compression at the first place. In chemicalterms, this means that the valence will suffer the main consequences of pressurization.It is desirable to understand this response to pressure in terms of the valence properties(charge, volume, etc.). One of the possible approaches is to consider models of electronicseparability, such as the bond charge model (BCM), which provides insight into the cohesionof covalent crystals in analogy with the classical ionic model. However, this model relies onempirical parametrization of bond and lone pair properties. In this contribution, we havecoupled electron localization function (ELF) ab initio data with the bond charge modeldeveloped by Parr in order to analyze solid state compressibility from first principles andmoreover, to derive general trends and shed light upon superhard behavior. Full article
(This article belongs to the Special Issue Chemical Bond and Bonding 2015)
Show Figures

Graphical abstract

Back to TopTop