Sign in to use this feature.

Years

Between: -

Subjects

remove_circle_outline
remove_circle_outline
remove_circle_outline
remove_circle_outline
remove_circle_outline
remove_circle_outline
remove_circle_outline

Journals

Article Types

Countries / Regions

Search Results (102)

Search Parameters:
Keywords = lead-free piezoelectric materials

Order results
Result details
Results per page
Select all
Export citation of selected articles as:
15 pages, 4990 KB  
Article
Multiscale Structural Modulation and Synergistic Enhancement of Transparency and Relaxor Behavior in La3+-Doped KNN Lead-Free Ceramics
by Xu Yang, Lingzhi Wang, Li Luo, Wenjuan Wu, Bo Wu, Junjie Li, Jie Li, Tixian Zeng and Gengpei Xia
Nanomaterials 2026, 16(2), 149; https://doi.org/10.3390/nano16020149 - 22 Jan 2026
Viewed by 51
Abstract
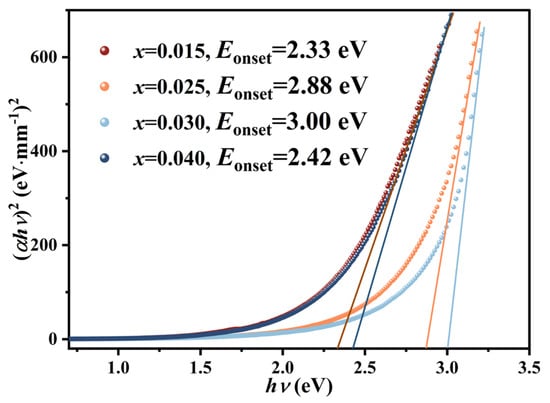
Lead-free transparent ferroelectric ceramics with integrated opto-electro-mechanical functionalities are pivotal for next-generation multifunctional devices. In this study, K0.48Na0.52NbO3-xLa2O3 (KNN-xLa, x = 0.005 − 0.04) ceramics were fabricated via a conventional [...] Read more.
Lead-free transparent ferroelectric ceramics with integrated opto-electro-mechanical functionalities are pivotal for next-generation multifunctional devices. In this study, K0.48Na0.52NbO3-xLa2O3 (KNN-xLa, x = 0.005 − 0.04) ceramics were fabricated via a conventional solid-state route to investigate the La3+-induced multiscale structural evolution and its modulation of optical and electrical properties. La3+ substitution drives a critical structural transition from an anisotropic orthorhombic phase (Amm2) to a high-symmetry pseudocubic-like tetragonal phase (P4mm) for x ≥ 0.025, characterized by minimal lattice distortion (c/a = 1.0052). This enhanced structural isotropy, coupled with submicron grain refinement (<1 μm) driven by VA-mediated solute drag, effectively suppresses light scattering. Consequently, a high-transparency plateau (T780 ≈ 53–58%, T1700 ≈ 70–72%) is achieved for 0.025 ≤ x ≤ 0.035. Simultaneously, the system undergoes a crossover from normal ferroelectric (FE) to relaxor (RF) state, governed by an FE–RF boundary at x = 0.015. While x = 0.005 exhibits robust piezoelectricity (d33 ≈ 92 pC/N), the x = 0.015 composition facilitates a transitional polar state with large strain (0.179%) and high polarization (Pm ≈ 33.3 μC/cm2, Pr ≈ 15.8 μC/cm2). Piezoresponse force microscopy (PFM) confirms the domain evolution from lamellar macro-domains to speckle-like polar nanoregions (PNRs), elucidating the intrinsic trade-off between optical transparency and piezoelectricity. This work underscores La3+ as a potent structural modifier for tailoring phase boundaries and defect chemistry, providing a cost-effective framework for developing high-performance transparent electromechanical materials. Full article
(This article belongs to the Special Issue Nanostructured Materials for Electric Applications)
Show Figures

Figure 1

35 pages, 3619 KB  
Review
Research Progress on the Preparation, Modification, and Applications of g-C3N4 in Photocatalysis and Piezoelectric Photocatalysis
by Mengyang Li, Liuqing Yang, Yizhe Song, Hongru Hou, Yujie Fang, Yucheng Liu, Lihao Xie and Dingze Lu
Inorganics 2025, 13(9), 300; https://doi.org/10.3390/inorganics13090300 - 5 Sep 2025
Viewed by 2079
Abstract
The metal-free polymeric semiconductor graphitic carbon nitride (g-C3N4) has emerged as a promising material for photocatalytic applications due to its responsiveness to visible light, adjustable electronic structure, and stability. This review systematically summarizes recent advances in preparation strategies, including [...] Read more.
The metal-free polymeric semiconductor graphitic carbon nitride (g-C3N4) has emerged as a promising material for photocatalytic applications due to its responsiveness to visible light, adjustable electronic structure, and stability. This review systematically summarizes recent advances in preparation strategies, including thermal polycondensation, solvothermal synthesis, and template methods. Additionally, it discusses modification approaches such as heterojunction construction, elemental doping, defect engineering, morphology control, and cocatalyst loading. Furthermore, it explores the diverse applications of g-C3N4-based materials in photocatalysis, including hydrogen (H2) evolution, carbon dioxide (CO2) reduction, pollutant degradation, and the emerging field of piezoelectric photocatalysis. Particular attention is given to g-C3N4 composites that are rationally designed to enhance charge separation and light utilization. Additionally, the synergistic mechanism of photo–piezocatalysis is examined, wherein a mechanically induced piezoelectric field facilitates carrier separation and surface reactions. Despite significant advancements, challenges persist, including limited visible-light absorption, scalability issues, and uncertainties in the multi-field coupling mechanisms. The aim of this review is to provide guidelines for future research that may lead to the development of high-performance and energy-efficient catalytic systems in the context of environmental and energy applications. Full article
(This article belongs to the Special Issue Featured Papers in Inorganic Materials 2025)
Show Figures

Figure 1

16 pages, 2891 KB  
Article
Hysteresis Loops Design for Nanoporous Ferroelectrics
by Xuan Huang, Fengjuan Yang, Lifei Du, Jiong Wang, Yongfeng Liang and Pingping Wu
Materials 2025, 18(15), 3606; https://doi.org/10.3390/ma18153606 - 31 Jul 2025
Viewed by 863
Abstract
The design and adjustable properties of nanoporous materials are important for current and future technological applications, research, and development. In addition, nanoporous ferroelectric materials have the potential to achieve competitive ferroelectric, dielectric, and piezoelectric characteristics. In this work, using the phase-field model, we [...] Read more.
The design and adjustable properties of nanoporous materials are important for current and future technological applications, research, and development. In addition, nanoporous ferroelectric materials have the potential to achieve competitive ferroelectric, dielectric, and piezoelectric characteristics. In this work, using the phase-field model, we found that the shape of pores in barium titanite ceramics governs the formation of the ferroelectric domain structure and the switching hysteresis loop. A remanent polarization-coercive field (Pr-Ec) diagram is introduced to denote the shape of the hysteresis loops. We performed a fundamental study in understanding how the domain structures affect the properties of domain-engineered porous ferroelectrics. Simulation results show that the hysteresis loop of porous ferroelectrics can be designed by controlling the shape/orientation of the ellipse-shaped pores. Numerical simulations also verify that the dielectric/piezoelectric properties can be improved with artificially designed porous structures. These phase-field results may be useful in the development of highly performing lead-free ferroelectric/piezoelectric materials. Full article
(This article belongs to the Special Issue Advances in Piezoelectric/Dielectric Ceramics and Composites)
Show Figures

Figure 1

10 pages, 1483 KB  
Article
Ferroelectric and Piezoelectric Properties of (Mg1/3Nb2/3)4+-Doped Bismuth Sodium Titanate Ceramics
by Yonggang Zhao, Ning Yang, Yi Chen, Xingting Li, Luyao Wang, Peng Wang and Guangzhi Dong
Ceramics 2025, 8(3), 88; https://doi.org/10.3390/ceramics8030088 - 13 Jul 2025
Cited by 1 | Viewed by 785
Abstract
Lead-free (Bi1/2Na1/2)(Ti1−x(Mg1/3Nb2/3)x)O3 ceramics were synthesized using the solid-phase method, and the effects of varying (Mg1/3Nb2/3)4+ content, substituting for Ti4+ ions at the B-site of [...] Read more.
Lead-free (Bi1/2Na1/2)(Ti1−x(Mg1/3Nb2/3)x)O3 ceramics were synthesized using the solid-phase method, and the effects of varying (Mg1/3Nb2/3)4+ content, substituting for Ti4+ ions at the B-site of the BNT perovskite lattice, on piezoelectric performance were systematically investigated. The influence of sintering temperature on both piezoelectric and ferroelectric properties was also explored, revealing that sintering temperature significantly affects both the microstructure and the electrical properties of the ceramics. The results indicate that the incorporation of (Mg1/3Nb2/3)4+ significantly enhances the piezoelectric and ferroelectric properties of BNT ceramics. Specifically, a maximum piezoelectric constant of 91 pC/N was achieved at a sintering temperature of 1160 °C and a doping concentration of x = 0.01. By comparing the ferroelectric properties across different doping levels and sintering temperatures, this study provides valuable insights for further design and process optimization of BNT-based piezoelectric materials. Full article
(This article belongs to the Special Issue Advances in Electronic Ceramics, 2nd Edition)
Show Figures

Figure 1

20 pages, 7521 KB  
Article
The Design and Fabrication of Shear-Mode Piezoelectric Accelerometers with High Bandwidth Using High Piezoelectric g-Coefficient NKN-Based Ceramics
by Jian-Hao Huang, Chien-Min Cheng, Sheng-Yuan Chu and Cheng-Che Tsai
Materials 2025, 18(8), 1813; https://doi.org/10.3390/ma18081813 - 15 Apr 2025
Viewed by 871
Abstract
In this work, lead-free (Na0.475K0.475Li0.05)NbO3 + x wt.% ZnO (NKLN, x = 0 to 0.3) piezoelectric ceramics with high piezoelectric g-coefficients were prepared by conventional solid-state synthesis method. By adding different concentrations of ZnO dopants, we [...] Read more.
In this work, lead-free (Na0.475K0.475Li0.05)NbO3 + x wt.% ZnO (NKLN, x = 0 to 0.3) piezoelectric ceramics with high piezoelectric g-coefficients were prepared by conventional solid-state synthesis method. By adding different concentrations of ZnO dopants, we aimed to improve the material properties and enhance their piezoelectric properties. The effects of the ZnO addition on the microstructure, dielectric, piezoelectric and ferroelectric properties of the proposed samples are investigated. Adding ZnO reduced the dielectric constant and improved the g-value of the samples. The properties of the samples without ZnO doping were g33 = 31 mV·m/N, g15 = 34 mV·m/N, kp = 0.39, Qm = 92, εr = 458, d33 = 127 pC/N and dielectric loss = 3.4%. With the preferable ZnO doping of 1 wt.%, the piezoelectric properties improved to g33 = 40 mV·m/N, g15 = 44 mV·m/N, kp = 0.44, Qm = 89, εr = 406, d33 = 139 pC/N and dielectric loss = 2.4%. Finally, ring-shaped shear mode piezoelectric accelerometers were fabricated using the optimum ZnO-doped samples. The simulated resonant frequency using ANSYS 2024 R1 software was approximately 23 kHz, while the actual measured resonant frequency of the devices was 19 kHz. The sensitivity was approximately 7.08 mV/g. This piezoelectric accelerometer suits applications requiring lower sensitivity and higher resonant frequencies, such as monitoring high-frequency vibrations in high-speed machinery, robotic arms or scientific research and engineering fields involving high-frequency vibration testing. Full article
(This article belongs to the Special Issue Advances in Ferroelectric and Piezoelectric Materials)
Show Figures

Figure 1

16 pages, 3807 KB  
Article
A Study on the Effect of Conductive Particles on the Performance of Road-Suitable Barium Titanate/Polyvinylidene Fluoride Composite Materials
by Zhenhua Zhao, Rui Li, Chen Zhao and Jianzhong Pei
Materials 2025, 18(5), 1185; https://doi.org/10.3390/ma18051185 - 6 Mar 2025
Cited by 1 | Viewed by 1262
Abstract
The design of piezoelectric roads is one of the future directions of smart roads. In order to ensure the environmentally friendly and long-lasting use of piezoelectric road materials, lead-free piezoelectric ceramics (barium titanate), polymer piezoelectric materials (polyvinylidene fluoride), and conductive particles (conductive carbon [...] Read more.
The design of piezoelectric roads is one of the future directions of smart roads. In order to ensure the environmentally friendly and long-lasting use of piezoelectric road materials, lead-free piezoelectric ceramics (barium titanate), polymer piezoelectric materials (polyvinylidene fluoride), and conductive particles (conductive carbon black and graphene) were used to prepare composite piezoelectric materials. The electrical performance was studied by the conductivity, dielectric properties, and piezoelectric properties of the composite materials. Then, the mechanical properties of the composite material were investigated by load compression tests. Finally, the microstructure of the composite materials was studied. The results showed that as the amount of conductive particles increased, the electrical performance was improved. However, further addition of conductive particles led to a decline in the electrical performance. The addition of conductive particles had a minimal effect on the mechanical properties of composite materials. The composite material met road use requirements. The overall structure of the composite materials was compact, with a clear wrapping effect of the polymer, and good interface compatibility. The addition of conductive carbon black and graphene had no significant impact on the structure of the composite materials. Full article
Show Figures

Figure 1

16 pages, 3334 KB  
Article
Lead-Free Ceramics in Prestressed Ultrasonic Transducers
by Claus Scheidemann, Peter Bornmann, Walter Littmann and Tobias Hemsel
Actuators 2025, 14(2), 55; https://doi.org/10.3390/act14020055 - 25 Jan 2025
Cited by 3 | Viewed by 1959
Abstract
Today’s ultrasonic transducers find broad application in diverse technology branches and most often cannot be replaced by other actuators. They are typically based on lead-containing piezoelectric ceramics. These should be replaced for environmental and health issues by lead-free alternatives. Multiple material alternatives are [...] Read more.
Today’s ultrasonic transducers find broad application in diverse technology branches and most often cannot be replaced by other actuators. They are typically based on lead-containing piezoelectric ceramics. These should be replaced for environmental and health issues by lead-free alternatives. Multiple material alternatives are already known, but there is a lack of information about their technological readiness level. To fill this gap, a small series of prestressed longitudinally vibrating transducers was set up with a standard PZT material and two lead-free variants within this study. The entire process for building the transducers is documented: characteristics of individual ring ceramics, burn-in results, and free vibration and characteristics under load are shown. The main result is that the investigated lead-free materials are ready to use within ultrasonic bolted Langevin transducers (BLTs) for medium-power applications, when the geometrical setup of the transducer is adopted. Since lead-free ceramics need higher voltages to achieve the same power level, the driving electronics or the mechanical setup must be altered specifically for each material. Lower self-heating of the lead-free materials might be attractive for heat-sensitive processes. Full article
(This article belongs to the Special Issue Piezoelectric Ultrasonic Actuators and Motors)
Show Figures

Figure 1

26 pages, 7707 KB  
Review
Textured Lead-Free Piezoelectric Ceramics: A Review of Template Effects
by Temesgen Tadeyos Zate, Cenk Abdurrahmanoglu, Vincenzo Esposito and Astri Bjørnetun Haugen
Materials 2025, 18(3), 477; https://doi.org/10.3390/ma18030477 - 21 Jan 2025
Cited by 13 | Viewed by 3654
Abstract
Crystallographic texture engineering through templated grain growth (TGG) has gained prominence as a highly effective strategy for optimizing the electromechanical performance of lead-free piezoelectric ceramics, offering a pathway toward sustainable alternatives to lead-based systems like lead zirconate titanate (PZT). By achieving high degrees [...] Read more.
Crystallographic texture engineering through templated grain growth (TGG) has gained prominence as a highly effective strategy for optimizing the electromechanical performance of lead-free piezoelectric ceramics, offering a pathway toward sustainable alternatives to lead-based systems like lead zirconate titanate (PZT). By achieving high degrees of texture, with Lotgering factors (LFs) often exceeding 90%, these systems have demonstrated piezoelectric properties that rival or even surpass their lead-based counterparts. Despite these advancements, the field lacks a comprehensive understanding of how specific template parameters influence the texture quality and functional properties across different material systems. This review provides an in-depth analysis of the influence of the template morphology, composition, and crystallographic orientation on the texturing of key lead-free systems, including BaTiO3 (BT), (K0.5Na0.5)NbO3 (KNN), and Bi0.5Na0.5TiO3 (BNT). Furthermore, it explores how the template selection affects the induced crystallographic direction, and how this impacts the material’s phase structure and domain configurations, ultimately influencing the piezoelectric and dielectric properties. By consolidating the existing knowledge and identifying current challenges, this work highlights key strategies for optimizing the texture and electromechanical performance in lead-free ceramics, providing essential insights for future research aimed at advancing high-performance, environmentally friendly piezoelectric materials for applications such as sensors, actuators, and energy-harvesting devices. Full article
Show Figures

Figure 1

30 pages, 4508 KB  
Review
Participation of Polymer Materials in the Structure of Piezoelectric Composites
by Cosmin Ionuț Pîrvu, Alexandru Sover and Mărioara Abrudeanu
Polymers 2024, 16(24), 3603; https://doi.org/10.3390/polym16243603 - 23 Dec 2024
Cited by 8 | Viewed by 3788
Abstract
This review explores the integration of polymer materials into piezoelectric composite structures, focusing on their application in sensor technologies, and wearable electronics. Piezoelectric composites combining ceramic phases like BaTiO3, KNN, or PZT with polymers such as PVDF exhibit significant potential due [...] Read more.
This review explores the integration of polymer materials into piezoelectric composite structures, focusing on their application in sensor technologies, and wearable electronics. Piezoelectric composites combining ceramic phases like BaTiO3, KNN, or PZT with polymers such as PVDF exhibit significant potential due to their enhanced flexibility, processability, and electrical performance. The synergy between the high piezoelectric sensitivity of ceramics and the mechanical flexibility of polymers enables the development of advanced materials for biomedical devices, energy conversion, and smart infrastructure applications. This review discusses the evolution of lead-free ceramics, the challenges in improving polymer–ceramic interfaces, and innovations like 3D printing and surface functionalization, which enhance charge transfer and material durability. It also covers the effects of radiation on these materials, particularly in nuclear applications, and strategies to enhance radiation resistance. The review concludes that polymer materials play a critical role in advancing piezoelectric composite technologies by addressing environmental and functional challenges, paving the way for future innovations. Full article
(This article belongs to the Section Polymer Composites and Nanocomposites)
Show Figures

Figure 1

15 pages, 7239 KB  
Article
Low Sintering Temperature Effect on Crystal Structure and Dielectric Properties of Lead-Free Piezoelectric Bi0.5Na0.5TiO3-NaFeTiO4
by Luis G. Betancourt-Cantera, Yaneli Reséndiz-Trejo, Félix Sánchez-De Jesús, Claudia A. Cortés Escobedo and Ana M. Bolarín-Miró
Materials 2024, 17(20), 5087; https://doi.org/10.3390/ma17205087 - 18 Oct 2024
Cited by 4 | Viewed by 1513
Abstract
Bi0.5Na0.5TiO3 (BNT) emerges as a promising ferroelectric and piezoelectric lead-free candidate to substitute the contaminant Pb[TixZr1−x]O3 (PZT). However, to obtain optimal ferroelectric and piezoelectric properties, BNT must be sintered at high temperatures. In [...] Read more.
Bi0.5Na0.5TiO3 (BNT) emerges as a promising ferroelectric and piezoelectric lead-free candidate to substitute the contaminant Pb[TixZr1−x]O3 (PZT). However, to obtain optimal ferroelectric and piezoelectric properties, BNT must be sintered at high temperatures. In this work, the reduction of sintering temperature by using iron added to BNT is demonstrated, without significant detriment to the dielectric properties. BNT-xFe with iron from x = 0 to 0.1 mol (∆x = 0.025) were synthesized using high-energy ball milling followed by sintering at 900 °C. XRD analysis confirmed the presence of rhombohedral BNT together with a new phase of NaFeTiO4 (NFT), which was also corroborated using optical and electronic microscopy. The relative permittivity, in the range of 400 to 500 across all the frequencies, demonstrated the stabilization effect of the iron in BNT. Additionally, the presence of iron elevates the transition from ferroelectric to paraelectric structure, increasing it from 330 °C in the iron-free sample to 370 °C in the sample with the maximum iron concentration (0.1 mol). The dielectric losses maintain constant values lower than 0.1. In this case, low dielectric loss values are ideal for ferroelectric and piezoelectric materials, as they ensure minimal energy dissipation. Likewise, the electrical conductivity maintains a semiconductor behavior across a range of 50 Hz to 1 × 106 Hz, indicating the potential of these materials for applications at different frequencies. Additionally, the piezoelectric constant (d33) values decrease slightly when low concentrations of iron are added, maintaining values between 30 and 48 pC/N for BNT-0.025Fe and BNT-0.05Fe, respectively. Full article
Show Figures

Figure 1

14 pages, 5334 KB  
Article
Development and Field Test of Integrated Electronics Piezoelectric Accelerometer Based on Lead-Free Piezoelectric Ceramic for Centrifugal Pump Monitoring
by Byung-Hoon Kim, Dae-Sic Jang, Jeong-Han Lee, Min-Ku Lee and Gyoung-Ja Lee
Sensors 2024, 24(19), 6436; https://doi.org/10.3390/s24196436 - 4 Oct 2024
Viewed by 2124
Abstract
In this study, an Integrated Electronics Piezoelectric (IEPE)-type accelerometer based on an environmentally friendly lead-free piezoceramic was fabricated, and its field applicability was verified using a cooling pump owned by the Korea Atomic Energy Research Institute (KAERI). As an environmentally friendly piezoelectric material, [...] Read more.
In this study, an Integrated Electronics Piezoelectric (IEPE)-type accelerometer based on an environmentally friendly lead-free piezoceramic was fabricated, and its field applicability was verified using a cooling pump owned by the Korea Atomic Energy Research Institute (KAERI). As an environmentally friendly piezoelectric material, 0.96(K,Na)NbO3-0.03(Bi,Na,K,Li)ZrO3-0.01BiScO3 (0.96KNN-0.03BNKLZ-0.01BS) piezoceramic with an optimized piezoelectric charge constant (d33) was introduced. It was manufactured in a ring shape using a solid-state reaction method for application to a compression mode accelerometer. The fabricated ceramic ring has a high piezoelectric constant d33 of ~373 pC/N and a Curie temperature TC of ~330 °C. It was found that the electrical and physical characteristics of the 0.96KNN-0.03BNKLZ-0.01BS piezoceramic were comparable to those of a Pb(Zr,Ti)O3 (PZT) ring ceramic. As a result of a vibration test of the IEPE accelerometer fabricated using the lead-free piezoelectric ceramic, the resonant frequency fr = 20.0 kHz and voltage sensitivity Sv = 101.1 mV/g were confirmed. The fabricated IEPE accelerometer sensor showed an excellent performance equivalent to or superior to that of a commercial IEPE accelerometer sensor based on PZT for general industrial use. A field test was carried out to verify the applicability of the fabricated sensor in an actual industrial environment. The test was conducted by simultaneously installing the developed sensor and a commercial PZT-based sensor in the ball bearing housing location of a centrifugal pump. The centrifugal pump was operated at 1180 RPM, and the generated vibration signals were collected and analyzed. The test results confirmed that the developed eco-friendly lead-free sensor has comparable vibration measurement capability to that of commercial PZT-based sensors. Full article
Show Figures

Figure 1

17 pages, 7553 KB  
Article
Microwave-Assisted Fabrication and Characterization of Carbon Fiber-Sodium Bismuth Titanate Composites
by Fareeha Azam, Muhammad Asif Rafiq, Furqan Ahmed, Adnan Moqbool, Osama Fayyaz, Zerfishan Imran, Muhammad Salman Habib and Rana Abdul Shakoor
Crystals 2024, 14(9), 798; https://doi.org/10.3390/cryst14090798 - 10 Sep 2024
Cited by 2 | Viewed by 1680
Abstract
Lead-based piezoelectric materials cause many environmental problems, regardless of their exceptional performance. To overcome this issue, a lead-free piezoelectric composite material was developed by incorporating different percentages of carbon fiber (CF) into the ceramic matrix of Bismuth Sodium Titanate (BNT) by employing the [...] Read more.
Lead-based piezoelectric materials cause many environmental problems, regardless of their exceptional performance. To overcome this issue, a lead-free piezoelectric composite material was developed by incorporating different percentages of carbon fiber (CF) into the ceramic matrix of Bismuth Sodium Titanate (BNT) by employing the microwave sintering technique. The aim of this study was also to evaluate the impact of microwave sintering on the microstructure and the electrical behavior of the carbon-fiber-reinforced Bi0.5Na0.5TiO3 composite (BNT-CF). A uniform distribution of the CF and increased densification of the BNT-CF was achieved, leading to improved piezoelectric properties. X-ray diffraction (XRD) showed the formation of a phase-pure crystalline perovskite structure consisting of CF and BNT. A Field Emission Scanning electron microscope (FESEM) revealed that utilizing microwave sintering at lower temperatures and shorter dwell times results in a superior densification of the BNT-CF. Raman Spectroscopy confirmed the perovskite structure of the BNT-CF and the presence of a Morphotropic Phase Boundary (MPB). An analysis of nanohardness indicated that the hardness of the BNT-CF increases with the increasing amount of CF. It is also revealed that the electrical conductivity of the BNT-CF at a low frequency is significantly influenced by the amount of CF and the temperature. Moreover, an increase in the carbon fiber concentration resulted in a decrease in dielectric properties. Finally, a lead-free piezoelectric BNT-CF showing dense and uniform microstructure was developed by the microwave sintering process. The promising properties of the BNT-CF make it attractive for many industrial applications. Full article
(This article belongs to the Special Issue Structural and Characterization of Composite Materials)
Show Figures

Figure 1

18 pages, 4690 KB  
Article
Preparation and Properties of Nb5+-Doped BCZT-Based Ceramic Thick Films by Scraping Process
by Yang Zou, Bijun Fang, Xiaolong Lu, Shuai Zhang and Jianning Ding
Materials 2024, 17(17), 4348; https://doi.org/10.3390/ma17174348 - 2 Sep 2024
Cited by 7 | Viewed by 1543
Abstract
A bottleneck characterized by high strain and low hysteresis has constantly existed in the design process of piezoelectric actuators. In order to solve the problem that actuator materials cannot simultaneously exhibit large strain and low hysteresis under relatively high electric fields, Nb5+ [...] Read more.
A bottleneck characterized by high strain and low hysteresis has constantly existed in the design process of piezoelectric actuators. In order to solve the problem that actuator materials cannot simultaneously exhibit large strain and low hysteresis under relatively high electric fields, Nb5+-doped 0.975(Ba0.85Ca0.15)[(Zr0.1Ti0.9)0.999Nb0.001]O3-0.025(Bi0.5Na0.5)ZrO3 (BCZTNb0.001-0.025BiNZ) ceramic thick films were prepared by a film scraping process combined with a solid-state twin crystal method, and the influence of sintering temperature was studied systematically. All BCZTNb0.001-0.025BiNZ ceramic thick films sintered at different sintering temperatures have a pure perovskite structure with multiphase coexistence, dense microstructure and typical dielectric relaxation behavior. The conduction mechanism of all samples at high temperatures is dominated by oxygen vacancies confirmed by linear fitting using the Arrhenius law. As the sintering temperature elevates, the grain size increases, inducing the improvement of dielectric, ferroelectric and field-induced strain performance. The 1325 °C sintered BCZTNb0.001-0.025BiNZ ceramic thick film has the lowest hysteresis (1.34%) and relatively large unipolar strain (0.104%) at 60 kV/cm, showing relatively large strain and nearly zero strain hysteresis compared with most previously reported lead-free piezoelectric ceramics and presenting favorable application prospects in the actuator field. Full article
Show Figures

Figure 1

35 pages, 9916 KB  
Review
A Comprehensive Review of Strategies toward Efficient Flexible Piezoelectric Polymer Composites Based on BaTiO3 for Next-Generation Energy Harvesting
by Ayda Bouhamed, Sarra Missaoui, Amina Ben Ayed, Ahmed Attaoui, Dalel Missaoui, Khawla Jeder, Nesrine Guesmi, Anouar Njeh, Hamadi Khemakhem and Olfa Kanoun
Energies 2024, 17(16), 4066; https://doi.org/10.3390/en17164066 - 16 Aug 2024
Cited by 28 | Viewed by 5568
Abstract
The increasing need for wearable and portable electronics and the necessity to provide a continuous power supply to these electronics have shifted the focus of scientists toward harvesting energy from ambient sources. Harvesting energy from ambient sources, including solar, wind, and mechanical energies, [...] Read more.
The increasing need for wearable and portable electronics and the necessity to provide a continuous power supply to these electronics have shifted the focus of scientists toward harvesting energy from ambient sources. Harvesting energy from ambient sources, including solar, wind, and mechanical energies, is a solution to meet rising energy demands. Furthermore, adopting lightweight power source technologies is becoming more decisive in choosing renewable energy technologies to power novel electronic devices. In this regard, piezoelectric nanogenerators (PENGs) based on polymer composites that can convert discrete and low-frequency irregular mechanical energy from their surrounding environment into electricity have attracted keen attention and made considerable progress. This review highlights the latest advancements in this technology. First, the working mechanism of piezoelectricity and the different piezoelectric materials will be detailed. In particular, the focus will be on polymer composites filled with lead-free BaTiO3 piezoceramics to provide environmentally friendly technology. The next section will discuss the strategies adopted to enhance the performance of BaTiO3-based polymer composites. Finally, the potential applications of the developed PENGs will be presented, and the novel trends in the direction of the improvement of PENGs will be detailed. Full article
Show Figures

Figure 1

11 pages, 3441 KB  
Article
Enhancing Energy Storage Performance of 0.85Bi0.5Na0.5TiO3-0.15LaFeO3 Lead-Free Ferroelectric Ceramics via Buried Sintering
by Yixiao Zhang, Yuchen Jia, Jian Yang, Zixuan Feng, Shuohan Sun, Xiaolong Zhu, Haotian Wang, Shiguang Yan and Ming Zheng
Materials 2024, 17(16), 4019; https://doi.org/10.3390/ma17164019 - 13 Aug 2024
Cited by 5 | Viewed by 1947
Abstract
Bismuth sodium titanate (Bi0.5Na0.5TiO3, BNT) ceramics are expected to replace traditional lead-based materials because of their excellent ferroelectric and piezoelectric characteristics, and they are widely used in the industrial, military, and medical fields. However, BNT ceramics have [...] Read more.
Bismuth sodium titanate (Bi0.5Na0.5TiO3, BNT) ceramics are expected to replace traditional lead-based materials because of their excellent ferroelectric and piezoelectric characteristics, and they are widely used in the industrial, military, and medical fields. However, BNT ceramics have a low breakdown field strength, which leads to unsatisfactory energy storage performance. In this work, 0.85Bi0.5Na0.5TiO3-0.15LaFeO3 ceramics are prepared by the traditional high-temperature solid-phase reaction method, and their energy storage performance is greatly enhanced by improving the process of buried sintering. The results show that the buried sintering method can inhibit the formation of oxygen vacancy, reduce the volatilization of Bi2O3, and greatly improve the breakdown field strength of the ceramics so that the energy storage performance can be significantly enhanced. The breakdown field strength increases from 210 kV/cm to 310 kV/cm, and the energy storage density increases from 1.759 J/cm3 to 4.923 J/cm3. In addition, the energy storage density and energy storage efficiency of these ceramics have good frequency stability and temperature stability. In this study, the excellent energy storage performance of the ceramics prepared by the buried sintering method provides an effective idea for the design of lead-free ferroelectric ceramics with high energy storage performance and greatly expands its application field. Full article
(This article belongs to the Special Issue Ferroelectric, Magnetic, and Multiferroic Materials and Applications)
Show Figures

Graphical abstract

Back to TopTop