Sign in to use this feature.

Years

Between: -

Subjects

remove_circle_outline
remove_circle_outline
remove_circle_outline
remove_circle_outline
remove_circle_outline
remove_circle_outline

Journals

Article Types

Countries / Regions

Search Results (23)

Search Parameters:
Keywords = laser precipitation monitor

Order results
Result details
Results per page
Select all
Export citation of selected articles as:
19 pages, 5510 KB  
Article
Unveiling Population Structure Dynamics of Populus euphratica Riparian Forests Along the Tarim River Using Terrestrial LiDAR
by Alfidar Arkin, Asadilla Yusup, Ümüt Halik, Abdulla Abliz, Ailiya Ainiwaer, Aolei Tian and Maimaiti Mijiti
Forests 2025, 16(2), 368; https://doi.org/10.3390/f16020368 - 18 Feb 2025
Cited by 4 | Viewed by 1404
Abstract
The Populus euphratica desert riparian forest, predominantly distributed along the Tarim River in northwestern China, has experienced significant degradation due to climate change and anthropogenic activities. Despite its ecological importance, systematic assessments of P. euphratica stand structure across the entire Tarim River remain [...] Read more.
The Populus euphratica desert riparian forest, predominantly distributed along the Tarim River in northwestern China, has experienced significant degradation due to climate change and anthropogenic activities. Despite its ecological importance, systematic assessments of P. euphratica stand structure across the entire Tarim River remain scarce. This study employed terrestrial laser scanning (TLS) to capture high-resolution 3D structural data from 2741 individual trees across 30 plots within six transects, covering the 1300 km mainstream of the Tarim River. ANOVA, PCA, and RDA were applied to examine tree structure variation and environmental influences. Results revealed a progressive decline in key structural parameters from the upper to lower reaches of the river, with the lower reaches showing pronounced degradation. Stand density decreased from 440 to 257 trees per hectare, mean stand height declined from 9.3 m to 5.6 m, mean crown diameter reduced from 4.1 m to 3.8 m, canopy cover dropped from 62% to 42%, and the leaf area index fell from 0.51 to 0.29. Age class distributions varied along the river, highlighting population structures indicative of growth in the upper reaches, stability in the middle reaches, and decline in the lower reaches. Abiotic factors, including groundwater depth, soil salinity, soil moisture, and precipitation, exhibited strong correlations with stand structural parameters (p < 0.05, R2 ≥ 0.69). The findings highlight significant spatial variations in tree structure, with healthier growth in the upper reaches and degradation in the lower reaches, enhance our understanding of forest development processes, and emphasize the urgent need for targeted conservation strategies. This comprehensive quantification of P. euphratica stand structure and its environmental drivers offer valuable insights into the dynamics of desert riparian forest ecosystems. The findings contribute to understanding forest development processes and provide a scientific basis for formulating effective conservation strategies to sustain these vital desert ecosystems, as well as for the monitoring of regional environmental changes. Full article
Show Figures

Figure 1

14 pages, 15792 KB  
Article
A Highly Sensitive TDLAS-Based Water Vapor Isotopes Sensor Using a Quantum Cascade Laser
by Wenling Jin, Nailiang Cao and Yufei Ma
Sensors 2025, 25(3), 840; https://doi.org/10.3390/s25030840 - 30 Jan 2025
Cited by 2 | Viewed by 2172
Abstract
Based on tunable diode laser absorption spectroscopy (TDLAS), a water isotopes detection system was developed to detect the isotopic abundance of water vapor in the atmosphere. A single 1483.79 cm−1 quantum cascade laser (QCL) and a 3120 cm optical path multi-pass cell [...] Read more.
Based on tunable diode laser absorption spectroscopy (TDLAS), a water isotopes detection system was developed to detect the isotopic abundance of water vapor in the atmosphere. A single 1483.79 cm−1 quantum cascade laser (QCL) and a 3120 cm optical path multi-pass cell (MPC) were adopted in the detection system. The selected spectral range, as well as the laser technology used, is particularly interesting for the real-time monitoring of water vapor isotopes in the atmosphere. In this study, a single laser can be used to perform high-sensitivity, rapid investigations of H2O, H218O, H217O, and HDO absorption lines. Finally, we measured the abundance values of three isotopes of water vapor in the atmosphere and compared them with data from the Global Network of Isotopes in Precipitation (GNIP) website, dedicated to exploring the possibility of in situ monitoring of H₂O isotopes in the atmosphere. Full article
Show Figures

Figure 1

21 pages, 4500 KB  
Article
Validation of DSDs of GPM DPR with Ground-Based Disdrometers over the Tianshan Region, China
by Xinyu Lu, Xiuqin Wang, Cheng Li, Yan Liu, Yong Zeng and Hong Huo
Remote Sens. 2025, 17(1), 79; https://doi.org/10.3390/rs17010079 - 28 Dec 2024
Cited by 2 | Viewed by 1467
Abstract
The Tianshan Mountains are known as the “Water Tower of Central Asia” and are of significant strategic importance for Xinjiang as well as the Central Asian region. Accurately monitoring the spatiotemporal distribution of precipitation in the Tianshan Mountains is crucial for understanding global [...] Read more.
The Tianshan Mountains are known as the “Water Tower of Central Asia” and are of significant strategic importance for Xinjiang as well as the Central Asian region. Accurately monitoring the spatiotemporal distribution of precipitation in the Tianshan Mountains is crucial for understanding global water cycles and climate change. Raindrop Size Distribution (DSD) parameters play an important role in improving quantitative precipitation estimation with radar and understanding microphysical precipitation processes. In this study, DSD parameters in the Tianshan Mountains were evaluated on the basis of Global Precipitation Measurement mission (GPM) dual-frequency radar data (DPR) and ground-based laser disdrometer observations from 2019 to 2024. With the disdrometer observations as the true values, we performed spatiotemporal matching between the satellite radar and laser disdrometer data. The droplet spectrum parameters retrieved with the GPM dual-frequency radar system were compared with those calculated from the laser disdrometer observations. The reflectivity observations from the GPM DPR in both the Ku and Ka bands (ZKu and ZKa) were greater than the actual observations, with ZKa displaying a greater degree of overestimation than ZKu. In the applied single-frequency retrieval algorithm (SFA), the rainfall parameters retrieved from the Ka band outperformed those retrieved from the Ku band, indicating that the Ka band has stronger detection capability in the Tianshan Mountains area, where light rain predominates. The dual-frequency ratio (DFR), i.e., the differences in the reflectivity of the raindrop spectra obtained from both the Ku and Ka bands, fluctuated more greatly than those of the GPM DPR. DFR is a monotonically increasing function of the mass-weighted mean drop diameter (Dm). Rainfall rate (R) and Dm exhibited a strong positive correlation, and the fitted curve followed a power function distribution. Full article
(This article belongs to the Section Atmospheric Remote Sensing)
Show Figures

Figure 1

12 pages, 4594 KB  
Article
Monitoring of Directed Energy Deposition Laser Beam of Nickel-Based Superalloy via High-Speed Mid-Wave Infrared Coaxial Camera
by Marco Mazzarisi, Andrea Angelastro, Sabina Luisa Campanelli, Vito Errico, Paolo Posa, Andrea Fusco, Teresa Colucci, Alexander John Edwards and Simona Corigliano
J. Manuf. Mater. Process. 2024, 8(6), 294; https://doi.org/10.3390/jmmp8060294 - 18 Dec 2024
Cited by 2 | Viewed by 2972
Abstract
Directed Energy Deposition Laser Beam (DED-LB) is a promising additive manufacturing technique that uses a laser source and a powder stream to build or repair metal components. Repair applications offer significant economic and environmental benefits but are more challenging to develop, especially for [...] Read more.
Directed Energy Deposition Laser Beam (DED-LB) is a promising additive manufacturing technique that uses a laser source and a powder stream to build or repair metal components. Repair applications offer significant economic and environmental benefits but are more challenging to develop, especially for components that are difficult to process due to their intricate geometries and materials. Process conditions can change precipitously, and it is essential to implement monitoring systems that ensure high process stability and, consequently, superior end-product quality. In the present work, a mid-wave infrared coaxial camera was used to monitor the melt pool geometry. To simulate the challenging repair process conditions of the DED-LB process, experimental tests were carried out on substrates with different thicknesses. The stability of the deposition process on nickel-based superalloys was analyzed by means of MATLAB algorithms. Thus, the effect of open-loop and closed-loop monitoring with back control on laser power on the process conditions was assessed and quantified. Metallographic analysis of the produced samples was carried out to validate the analyses performed by the monitoring system. The occurrence of production defects (lack of fusion and porosity) related to parameters not directly controllable by monitoring systems, such as penetration depth and dilution, was determined. Full article
Show Figures

Figure 1

23 pages, 15560 KB  
Article
Surface Modification of Gold Nanorods (GNRDs) Using Double Thermo-Responsive Block Copolymers: Evaluation of Self-Assembly and Stability of Nanohybrids
by Jesús E. Márquez-Castro, Angel Licea-Claverie, Carlos Guerrero-Sánchez and Eugenio R. Méndez
Polymers 2024, 16(23), 3293; https://doi.org/10.3390/polym16233293 - 26 Nov 2024
Viewed by 2350
Abstract
A series of copolymers containing a thermo-responsive biocompatible first block of poly[di(ethylene glycol) methyl ether methacrylate)-co-(oligo(ethylene glycol) methyl ether methacrylate], P(DEGMA-co-OEGMA) were chain-extended to incorporate either poly(N-isopropylacrylamide), PNIPAAm or poly(N-isopropylacrylamide-co-butyl acrylate), P(NIPAAm-co-BA) as [...] Read more.
A series of copolymers containing a thermo-responsive biocompatible first block of poly[di(ethylene glycol) methyl ether methacrylate)-co-(oligo(ethylene glycol) methyl ether methacrylate], P(DEGMA-co-OEGMA) were chain-extended to incorporate either poly(N-isopropylacrylamide), PNIPAAm or poly(N-isopropylacrylamide-co-butyl acrylate), P(NIPAAm-co-BA) as second thermo-responsive block using reversible addition–fragmentation chain transfer (RAFT) polymerization. P(DEGMA-co-OEGMA)-b-PNIPAAm copolymers showed two response temperatures at 33 and 43 °C in an aqueous solution forming stable aggregates at 37 °C. In contrast, P(DEGMA-co-OEGMA)-b-P(NIPAAm-co-BA) copolymers showed aggregation below room temperature due to the shift in response temperature provoked by the presence of hydrophobic butyl acrylate (BA) units, and shrinkage upon heating up to body temperature, while maintaining the second response temperature above 40 °C. The terminal trithiocarbonate group of the block copolymers was modified to a thiol functionality and used to stabilize gold nanorods (GNRDs) via the “grafting to” approach. The Localized Surface Plasmon Resonance (LSPR) absorption band of GNRDs with an aspect ratio of 3.9 (length/diameter) was located at 820 nm after surface grafting with block copolymers showing a hydrodynamic diameter of 160 nm at 37 °C. On the other hand, the stability of the P(DEGMA-co-OEGMA)-b-PNIPAAm@GNRDs and P(DEGMA-co-OEGMA)-b-P(NIPAAm-co-BA)@GNRDs nanohybrids was monitored for 8 days; where the LSPR absorption band did not shift or show any broadening. Aqueous dispersed nanohybrids were irradiated with a near-infrared laser (300 mW), where the temperature of the surroundings increased 16 °C after 16 min, where conditions for no precipitation were determined. These tailored temperature-responsive nanohybrids represent interesting candidates to develop drug nanocarriers for photo-thermal therapies. Full article
(This article belongs to the Special Issue State-of-the-Art Polymer Science and Technology in Mexico)
Show Figures

Graphical abstract

21 pages, 4278 KB  
Article
Performance of the Thies Clima 3D Stereo Disdrometer: Evaluation during Rain and Snow Events
by Sabina Angeloni, Elisa Adirosi, Alessandro Bracci, Mario Montopoli and Luca Baldini
Sensors 2024, 24(5), 1562; https://doi.org/10.3390/s24051562 - 28 Feb 2024
Cited by 1 | Viewed by 2619
Abstract
Imaging disdrometers are widely used in field campaigns to provide information on the shape of hydrometeors, together with the diameter and the fall velocity, which can be used to derive information on the shape–size relations of hydrometeors. However, due to their higher price [...] Read more.
Imaging disdrometers are widely used in field campaigns to provide information on the shape of hydrometeors, together with the diameter and the fall velocity, which can be used to derive information on the shape–size relations of hydrometeors. However, due to their higher price compared to laser disdrometers, their use is limited to scientific research purposes. The 3D stereo (3DS) is a commercial imaging disdrometer recently made available by Thies Clima and on which there are currently no scientific studies in the literature. The most innovative feature of the 3DS is its ability in capturing images of the particles passing through the measurement volume, crucial to provide an accurate classification of hydrometeors based on information about their shape, especially in the case of solid precipitation. In this paper. the performance of the new device is analyzed by comparing 3DS with the Laser Precipitation Monitor (LPM) from the same manufacturer, which is a known laser disdrometer used in many research works. The data used in this paper were obtained from measurements of the two instruments carried out at the Casale Calore site in L’Aquila during the CORE-LAQ (Combined Observations of Radar Experiments in L’Aquila) campaign. The objective of the comparison analysis is to analyze the differences between the two disdrometers in terms of hydrometeor classification, number and falling speed of particles, precipitation intensity, and total cumulative precipitation on an event basis. As regards the classification of precipitation, the two instruments are in excellent agreement in identifying rain and snow; greater differences are observed in the case of particles in mixed phase (rain and snow) or frozen phase (hail). Due to the different measurement area of the two disdrometers, the 3DS generally detects more particles than the LPM. The performance differences also depend on the size of the hydrometeors and are more significant in the case of small particles, i.e., D < 1 mm. In the case of rain events, the two instruments are in agreement with respect to the terminal velocity in still air predicted by the Gunn and Kinzer model for drops with a diameter of less than 3 mm, while, for larger particles, terminal velocity is underestimated by both the disdrometers. The agreement between the two instruments in terms of total cumulative precipitation per event is very good. Regarding the 3DS ability to capture images of hydrometeors, the raw data provide, each minute, from one to four images of single particles and information on their size and type. Their number and coarse resolution make them suitable to support only qualitative analysis of the shape of precipitating particles. Full article
(This article belongs to the Special Issue Atmospheric Precipitation Sensors)
Show Figures

Figure 1

15 pages, 2838 KB  
Article
Determining the Effects of Inter-Layer Time Interval in Powder-Fed Laser-Directed Energy Deposition on the Microstructure of Inconel 718 via In Situ Thermal Monitoring
by Evan Handler, Aref Yadollahi, Yucheng Liu and Scott M. Thompson
Materials 2024, 17(3), 538; https://doi.org/10.3390/ma17030538 - 23 Jan 2024
Cited by 4 | Viewed by 2586
Abstract
Cylindrical Inconel 718 specimens were fabricated via a blown-powder, laser-directed energy deposition (DED-L) additive manufacturing (AM) process equipped with a dual thermal monitoring system to learn key process–structure relationships. Thermographic inspection of the heat affected zone (HAZ) and melt pool was performed with [...] Read more.
Cylindrical Inconel 718 specimens were fabricated via a blown-powder, laser-directed energy deposition (DED-L) additive manufacturing (AM) process equipped with a dual thermal monitoring system to learn key process–structure relationships. Thermographic inspection of the heat affected zone (HAZ) and melt pool was performed with different layer-to-layer time intervals of ~0 s, 5 s, and 10 s, using an infrared camera and dual-wavelength pyrometer, respectively. Maximum melt pool temperatures were found to increase with layer number within a substrate affected zone (SAZ), and then asymptotically decrease. As the layer-to-layer time interval increased the HAZ temperature responses became more repetitive, indicating a desirable approach for achieving a more homogeneous microstructure along the height of a part. Microstructural variations in grain size and the coexistence of specific precipitate phases and Laves phases persisted among the investigated samples despite the employed standard heat treatment. This indicates that the effectiveness of any post DED-L heat treatment depends significantly on the initial, as-printed microstructure. Overall, this study demonstrates the importance of part size, part number per build, and time intervals on DED-L process parameter selection and post-process heat treatments for achieving better quality control. Full article
(This article belongs to the Collection Additive Manufacturing: Alloy Design and Process Innovations)
Show Figures

Figure 1

15 pages, 3439 KB  
Article
Immobilisation of Molybdenum in a Sulphate-Reducing Bioreactor
by Pavlina Kousi, Dimitra-Artemis Strongyli, Petros E. Tsakiridis, Artin Hatzikioseyian and Emmanouella Remoundaki
Separations 2024, 11(1), 9; https://doi.org/10.3390/separations11010009 - 25 Dec 2023
Cited by 3 | Viewed by 2849
Abstract
This work presents a biological remediation process for molybdenum-bearing wastewater which may lead to the fabrication of biogenic Mo chalcogenide particles with (photo)catalytic properties. The process is based on dissimilatory sulphate reduction, utilising sulphate-reducing bacteria (SRB), and reductive precipitation of molybdate which is [...] Read more.
This work presents a biological remediation process for molybdenum-bearing wastewater which may lead to the fabrication of biogenic Mo chalcogenide particles with (photo)catalytic properties. The process is based on dissimilatory sulphate reduction, utilising sulphate-reducing bacteria (SRB), and reductive precipitation of molybdate which is the predominant species of molybdenum in oxygenated water/wastewater. The SRB culture was established in a biofilm reactor which was fed with synthetic solutions containing sulphate (17.7 mM), molybdate molybdenum (2 mM), divalent iron (1.7 mM) and ethanol as the carbon/electron donor. The performance of the bioreactor was monitored in terms of pH, sulphate and molybdenum (Mo(VI) and total) content. The presence of thiomolybdate species was studied by scanning UV-Vis absorbance of samples from the reactor outflow while the reactor precipitates were studied via electron microscopy coupled with energy dispersive spectrometry, X-ray diffractometry and laser light scattering. A molar molybdate/sulphate ratio of 1:12.5 proved effective for molybdate reduction and recovery by 76% in 96 h, whereas sulphate was reduced by 57%. Molybdenum was immobilised in the sulphidic precipitates of the bioreactor, presumably via two principal mechanisms: (i) microbially mediated reduction and precipitation, and (ii) thiomolybdate formation and sorption/incorporation into iron sulphides. Full article
Show Figures

Figure 1

18 pages, 4316 KB  
Article
The Influence of Medium on Fluorescence Quenching of Colloidal Solutions of the Nd3+: LaF3 Nanoparticles Prepared with HTMW Treatment
by Elena Timofeeva, Elena Orlovskaya, Alexandr Popov, Artem Shaidulin, Sergei Kuznetsov, Alexandr Alexandrov, Oleg Uvarov, Yuri Vainer, Gleb Silaev, Mihkel Rähn, Aile Tamm, Stanislav Fedorenko and Yurii Orlovskii
Nanomaterials 2022, 12(21), 3749; https://doi.org/10.3390/nano12213749 - 25 Oct 2022
Cited by 5 | Viewed by 2250
Abstract
An original method was proposed to reduce the quenching of the NIR fluorescence of colloidal solutions of 0.1 at. % Nd3+: LaF3 nanoparticles (NPs) synthesized by aqueous co-precipitation method followed by hydrothermal microwave treatment. For this, an aqueous colloidal solution [...] Read more.
An original method was proposed to reduce the quenching of the NIR fluorescence of colloidal solutions of 0.1 at. % Nd3+: LaF3 nanoparticles (NPs) synthesized by aqueous co-precipitation method followed by hydrothermal microwave treatment. For this, an aqueous colloidal solution of NPs was precipitated by centrifugation and dissolved in the same volume of DMSO. The kinetics of static fluorescence quenching of Nd3+ donors of doped NPs dispersed in two solvents was analyzed to determine and to compare the concentrations of OH- quenching acceptors uniformly distributed throughout the volume of the NPs. The dependences of the relative fluorescence quantum yield φ of colloidal solutions on the concentration of OH- groups in the NPs were calculated and were also used to determine concentration of acceptors in the volume of NPs in different solvents. It was found that the concentration of OH- groups in NPs dispersed in DMSO is almost two times lower than in NPs dispersed in water. This gives an almost two-fold increase in the relative fluorescence quantum yield φ for the former. The sizes of synthesized NPs were monitored by common TEM and by applying a rapid procedure based on optical visualization of the trajectories of the Brownian motion of NPs in solution using a laser ultramicroscope. The use of two different methods made it possible to obtain more detailed information about the studied NPs. Full article
(This article belongs to the Special Issue Fluorescent Quantum Dot Nanomaterials)
Show Figures

Figure 1

26 pages, 9754 KB  
Article
Quantitative Precipitation Estimation over Antarctica Using Different Ze-SR Relationships Based on Snowfall Classification Combining Ground Observations
by Alessandro Bracci, Luca Baldini, Nicoletta Roberto, Elisa Adirosi, Mario Montopoli, Claudio Scarchilli, Paolo Grigioni, Virginia Ciardini, Vincenzo Levizzani and Federico Porcù
Remote Sens. 2022, 14(1), 82; https://doi.org/10.3390/rs14010082 - 24 Dec 2021
Cited by 16 | Viewed by 7400
Abstract
Snow plays a crucial role in the hydrological cycle and energy budget of the Earth, and remote sensing instruments with the necessary spatial coverage, resolution, and temporal sampling are essential for snowfall monitoring. Among such instruments, ground-radars have scanning capability and a resolution [...] Read more.
Snow plays a crucial role in the hydrological cycle and energy budget of the Earth, and remote sensing instruments with the necessary spatial coverage, resolution, and temporal sampling are essential for snowfall monitoring. Among such instruments, ground-radars have scanning capability and a resolution that make it possible to obtain a 3D structure of precipitating systems or vertical profiles when used in profiling mode. Radars from space have a lower spatial resolution, but they provide a global view. However, radar-based quantitative estimates of solid precipitation are still a challenge due to the variability of the microphysical, geometrical, and electrical features of snow particles. Estimations of snowfall rate are usually accomplished using empirical, long-term relationships between the equivalent radar reflectivity factor (Ze) and the liquid-equivalent snowfall rate (SR). Nevertheless, very few relationships take advantage of the direct estimation of the microphysical characteristics of snowflakes. In this work, we used a K-band vertically pointing radar collocated with a laser disdrometer to develop Ze-SR relationships as a function of snow classification. The two instruments were located at the Italian Antarctic Station Mario Zucchelli. The K-band radar probes the low-level atmospheric layers, recording power spectra at 32 vertical range gates. It was set at a high vertical resolution (35 m), with the first trusted range gate at a height of only 100 m. The disdrometer was able to provide information on the particle size distribution just below the trusted radar gate. Snow particles were classified into six categories (aggregate, dendrite aggregate, plate aggregate, pristine, dendrite pristine, plate pristine). The method was applied to the snowfall events of the Antarctic summer seasons of 2018–2019 and 2019–2020, with a total of 23,566 min of precipitation, 15.3% of which was recognized as showing aggregate features, 33.3% dendrite aggregate, 7.3% plates aggregate, 12.5% pristine, 24% dendrite pristine, and 7.6% plate pristine. Applying the appropriate Ze-SR relationship in each snow category, we calculated a total of 87 mm water equivalent, differing from the total found by applying a unique Ze-SR. Our estimates were also benchmarked against a colocated Alter-shielded weighing gauge, resulting in a difference of 3% in the analyzed periods. Full article
Show Figures

Figure 1

17 pages, 17280 KB  
Article
Monitoring the Effects of Slope Hazard Mitigation and Weather on Rockfall along a Colorado Highway Using Terrestrial Laser Scanning
by Luke Weidner and Gabriel Walton
Remote Sens. 2021, 13(22), 4584; https://doi.org/10.3390/rs13224584 - 15 Nov 2021
Cited by 30 | Viewed by 3989
Abstract
Rockfall is a frequent hazard in mountainous areas, but risks can be mitigated by the construction of protection structures and slope modification. In this study, two rock slopes along a highway in western Colorado were monitored monthly using Terrestrial Laser Scanning (TLS) before, [...] Read more.
Rockfall is a frequent hazard in mountainous areas, but risks can be mitigated by the construction of protection structures and slope modification. In this study, two rock slopes along a highway in western Colorado were monitored monthly using Terrestrial Laser Scanning (TLS) before, during, and after mitigation activities were performed to observe the influence of construction and weather variables on rockfall activity. Between September 2020 and February 2021, the slopes were mechanically scaled and reinforced using rock bolts, wire mesh, and polyurethane resin injection. We used a state-of-the-art TLS monitoring workflow to process the acquired point clouds, including semi-automated algorithms for alignment, change detection, clustering, and rockfall-volume calculation. Our initial hypotheses were that the slope-construction activities would have an immediate effect on the rockfall rate post-construction and would exhibit a decreased correlation with weather-related triggering factors, such as precipitation and freeze-thaw cycles. However, our observations did not confirm this, and instead an increase in post-construction rockfall was recorded, with strong correlation to weather-related triggering factors. While this does not suggest that the overall mitigation efforts were ineffective in reducing rockfall hazard and risk of large blocks, we did not find evidence that mitigation efforts influenced the rockfall hazard associated with the release of small- to medium-sized blocks (<1 m3). These results can be used to develop improved and tailored mitigation methods for rock slopes in the future. Full article
(This article belongs to the Special Issue EO for Mapping Natural Resources and Geohazards)
Show Figures

Figure 1

18 pages, 3710 KB  
Article
Investigation of the Wind-Induced Airflow Pattern Near the Thies LPM Precipitation Gauge
by Enrico Chinchella, Arianna Cauteruccio, Mattia Stagnaro and Luca G. Lanza
Sensors 2021, 21(14), 4880; https://doi.org/10.3390/s21144880 - 17 Jul 2021
Cited by 13 | Viewed by 3040
Abstract
The airflow velocity pattern generated by a widely used non-catching precipitation gauge (the Thies laser precipitation monitor or LPM) when immersed in a wind field is investigated using computational fluid dynamics (CFD). The simulation numerically solves the unsteady Reynolds-averaged Navier–Stokes (URANS) equations and [...] Read more.
The airflow velocity pattern generated by a widely used non-catching precipitation gauge (the Thies laser precipitation monitor or LPM) when immersed in a wind field is investigated using computational fluid dynamics (CFD). The simulation numerically solves the unsteady Reynolds-averaged Navier–Stokes (URANS) equations and the setup is validated against dedicated wind tunnel measurements. The adopted k-ω shear stress transport (SST) turbulence model closely reproduces the flow pattern generated by the complex, non-axisymmetric outer geometry of the instrument. The airflow pattern near the measuring area varies with the wind direction, the most intense recirculating flow and turbulence being observed when the wind blows from the back of the instrument. Quantitative parameters are used to discuss the magnitude of the airflow perturbations with respect to the ideal configuration where the instrument is transparent to the wind. The generated airflow pattern is expected to induce some bias in operational measurements, especially in strong wind conditions. The proposed numerical simulation framework provides a basis to develop correction curves for the wind-induced bias of non-catching gauges, as a function of the undisturbed wind speed and direction. Full article
(This article belongs to the Special Issue Rain Sensors)
Show Figures

Figure 1

13 pages, 2214 KB  
Article
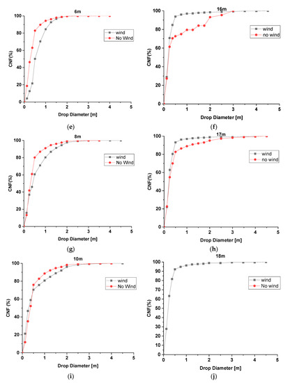
Analysis of Water Droplet Distribution in Wind for the Fluidic Sprinkler
by Frank Agyen Dwomoh, Shouqi Yuan, Hong Li, Xingye Zhu, Junping Liu, Richard Mensah and Alexander Fordjour
Water 2020, 12(12), 3320; https://doi.org/10.3390/w12123320 - 26 Nov 2020
Cited by 6 | Viewed by 2546
Abstract
The fluidic sprinkler, a relatively new type of rotating sprinkler, has been the subject of quite a lot of research about its structural parameters, hydraulic characteristics, and water distribution profile, albeit under indoor conditions. The fluidic sprinkler’s performance in terms of water distribution [...] Read more.
The fluidic sprinkler, a relatively new type of rotating sprinkler, has been the subject of quite a lot of research about its structural parameters, hydraulic characteristics, and water distribution profile, albeit under indoor conditions. The fluidic sprinkler’s performance in terms of water distribution profile and droplet size distribution pattern in wind has seen little investigation. To obtain information about its droplet size distribution in wind, the Thiess Clima Laser Precipitation Monitor was employed. Drop diameter, drop velocity, and the number of drops at varying distances from the fluidic sprinkler were measured in both wind and no wind at three operating pressures of 250, 300, and 350 kPa. The logistic model was adopted to fit a relationship between the drop diameter and the cumulative numeric frequency (CNF) and the cumulative volumetric frequency (CVF) values resulting in very high correlation coefficient (R2) values of above 0.99 for all conditions. At 250, 300, and 350 kPa, drops traveled 0.6, 1.0, and 1.3 m, respectively, farther in wind than in no wind along the direction of throw. Drops exhibited a spectrum of velocities and diameters at a given radial distance from the sprinkler. Up to two-thirds of the radius of throw, the proportion of drops with diameters ranging from 0.125 mm to 1.00 mm were above 80% at 300 and 350 kPa. Full article
(This article belongs to the Section Water, Agriculture and Aquaculture)
Show Figures

Figure 1

17 pages, 5710 KB  
Article
Precise Topographic Model Assisted Slope Displacement Retrieval from Small Baseline Subsets Results: Case Study over a High and Steep Mining Slope
by Lianhuan Wei, Qiuyue Feng, Feiyue Liu, Yachun Mao, Shanjun Liu, Tianhong Yang, Cristiano Tolomei, Christian Bignami and Lixin Wu
Sensors 2020, 20(22), 6674; https://doi.org/10.3390/s20226674 - 21 Nov 2020
Cited by 4 | Viewed by 2876
Abstract
Due to the intrinsic side-looking geometry of synthetic aperture radar (SAR), time series interferometric SAR is only able to monitor displacements in line-of-sight (LOS) direction, which limits the accuracy of displacement measurement in landslide monitoring. This is because the LOS displacement is only [...] Read more.
Due to the intrinsic side-looking geometry of synthetic aperture radar (SAR), time series interferometric SAR is only able to monitor displacements in line-of-sight (LOS) direction, which limits the accuracy of displacement measurement in landslide monitoring. This is because the LOS displacement is only a three dimensional projection of real displacement of a certain ground object. Targeting at this problem, a precise digital elevation model (DEM) assisted slope displacement retrieval method is proposed and applied to a case study over the high and steep slope of the Dagushan open pit mine. In the case study, the precise DEM generated by laser scanning is first used to minimize topographic residuals in small baseline subsets analysis. Then, the LOS displacements are converted to slope direction with assistance of the precise DEM. By comparing with ground measurements, relative root mean square errors (RMSE) of the estimated slope displacements reach approximately 12–13% for the ascending orbit, and 5.4–9.2% for the descending orbit in our study area. In order to validate the experimental results, comparison with microseism monitoring results is also conducted. Moreover, both results have found that the largest slope displacements occur on the slope part, with elevations varying from −138 m to −210 m, which corresponds to the landslide area. Moreover, there is a certain correlation with precipitation, as revealed by the displacement time series. The outcome of this article shows that rock mass structure, lithology, and precipitation are main factors affecting the stability of high and steep mining slopes. Full article
(This article belongs to the Section Remote Sensors)
Show Figures

Figure 1

23 pages, 27076 KB  
Article
Minor Imbalance of the Lowermost Italian Glacier from 2006 to 2019
by Jessica De Marco, Luca Carturan, Livia Piermattei, Sara Cucchiaro, Daniele Moro, Giancarlo Dalla Fontana and Federico Cazorzi
Water 2020, 12(9), 2503; https://doi.org/10.3390/w12092503 - 8 Sep 2020
Cited by 14 | Viewed by 5313
Abstract
The response of very small glaciers to climate changes is highly scattered and little known in comparison with larger ice bodies. In particular, small avalanche-fed and debris-covered glaciers lack mass balance series of sufficient length. In this paper we present 13 years of [...] Read more.
The response of very small glaciers to climate changes is highly scattered and little known in comparison with larger ice bodies. In particular, small avalanche-fed and debris-covered glaciers lack mass balance series of sufficient length. In this paper we present 13 years of high-resolution observations over the Occidentale del Montasio Glacier, collected using Airborne Laser Scanning, Terrestrial Laser Scanning, and Structure from Motion Multi-View Stereo techniques for monitoring its geodetic mass balance and surface dynamics. The results have been analyzed jointly with meteorological variables, and compared to a sample of “reference” glaciers for the European Alps. From 2006 to 2019 the mass balance showed high interannual variability and an average rate much closer to zero than the average of the Alpine reference glaciers (−0.09 vs. −1.42 m water equivalent per year, respectively). This behavior can be explained by the high correlation between annual balance and solid precipitation, which displayed recent peaks. The air temperature is not significantly correlated with the mass balance, which is main controlled by avalanche activity, shadowing and debris cover. However, its rapid increase is progressively reducing the fraction of solid precipitation, and increasing the length of the ablation season. Full article
Show Figures

Figure 1

Back to TopTop