Sign in to use this feature.

Years

Between: -

Subjects

remove_circle_outline
remove_circle_outline
remove_circle_outline
remove_circle_outline

Journals

Article Types

Countries / Regions

Search Results (41)

Search Parameters:
Keywords = laryngeal mask airway

Order results
Result details
Results per page
Select all
Export citation of selected articles as:
11 pages, 277 KB  
Review
Non-Invasive Surfactant Administration in Preterm Infants
by Faten Budajaja, Nadine Lahage and Ivan L. Hand
Children 2026, 13(1), 150; https://doi.org/10.3390/children13010150 - 21 Jan 2026
Abstract
Background: Although surfactant replacement therapy has been a cornerstone of respiratory distress syndrome (RDS) management for decades, traditional delivery via endotracheal intubation and mechanical ventilation is associated with procedure-related complications and increased risk of bronchopulmonary dysplasia (BPD). These concerns have driven the development [...] Read more.
Background: Although surfactant replacement therapy has been a cornerstone of respiratory distress syndrome (RDS) management for decades, traditional delivery via endotracheal intubation and mechanical ventilation is associated with procedure-related complications and increased risk of bronchopulmonary dysplasia (BPD). These concerns have driven the development of less invasive surfactant administration strategies. Objective: This review aims to summarize and evaluate the current literature on less invasive surfactant delivery techniques used in preterm infants with RDS, with a focus on their feasibility, efficacy, and short- and long-term neonatal outcomes. Methods: We reviewed the available literature evaluating less invasive surfactant administration methods, including InSurE, Less Invasive Surfactant Therapy/Minimally Invasive Surfactant Therapy (LISA/MIST), surfactant administration via laryngeal mask airway (SALSA/LMA), pharyngeal administration, and nebulized surfactant. We compared major outcomes, namely the need for mechanical ventilation, incidence of BPD, procedural complications and long-term neurodevelopmental outcomes. Results: Non-invasive surfactant administration techniques have been associated with reduced exposure to mechanical ventilation and lower rates of BPD compared with conventional approaches. Studies on LISA/MIST demonstrate the most consistent evidence in reducing the need for mechanical ventilation and BPD, while other techniques such as LMA-assisted delivery and nebulization show promise but remain limited by device constraints, gestational age applicability, and heterogeneous study designs. Long-term neurodevelopmental outcome data remain sparse across all techniques. Conclusions: Non-invasive surfactant administration represents an important advancement in the management of RDS. While several techniques offer potential advantages over traditional intubation-based delivery, further high-quality studies are required to optimize patient selection, standardize techniques, develop safe and effective delivery devices, and evaluate long-term neurodevelopmental outcomes. Full article
(This article belongs to the Special Issue Diagnosis and Management of Newborn Respiratory Distress Syndrome)
11 pages, 664 KB  
Article
Randomized Prospective Comparison of the SingularityTM Air Laryngeal Mask and Two Second-Generation Laryngeal Masks in Adult Patients
by Danijel Novina, Nadja Ettlin, Norbert Nickel, Norbert Aeppli, JoEllen Welter and Alexander Dullenkopf
J. Clin. Med. 2025, 14(23), 8513; https://doi.org/10.3390/jcm14238513 - 30 Nov 2025
Viewed by 342
Abstract
Background/Objectives: Supraglottic airway devices are commonly used airway management tools, with various second-generation laryngeal masks available for patients undergoing general anesthesia. These devices offer improved sealing, gastric suction capabilities, and the potential for tracheal intubation. This study compared the recently introduced SingularityTM [...] Read more.
Background/Objectives: Supraglottic airway devices are commonly used airway management tools, with various second-generation laryngeal masks available for patients undergoing general anesthesia. These devices offer improved sealing, gastric suction capabilities, and the potential for tracheal intubation. This study compared the recently introduced SingularityTM Air laryngeal mask with two well-established devices, Ambu® AuraGainTM and i-GEL®, under clinical conditions. Methods: We prospectively included 98 adult patients scheduled for elective surgery requiring general anesthesia. Patients were randomized to one of three laryngeal mask groups, and data on insertion success, ventilation efficiency, and postoperative complications, such as sore throat and dysesthesia, were collected. The primary endpoint was oropharyngeal sealing pressure, with additional assessments of insertion ease and bronchoscopic glottic visibility. Results: Median initial oropharyngeal leak pressure was lowest with i-GEL® (22 cm H2O) as opposed to Ambu® AuraGainTM (25 cm H2O) and SingularityTM Air (25 cm H2O) [p = 0.0138], but this difference equalized after 15–30 min. I-GEL® showed higher insertion success (88%, p = 0.001) and shorter time-to-first ventilation (29 s, p = 0.0106). Conversely, the gastric tube insertion rate was lower (70% versus >90% in the other masks). The Ambu® AuraGainTM and SingularityTM Air performed similarly for most parameters. No significant differences were observed in tracheal intubation potential or postoperative adverse events among the three groups. Conclusions: The SingularityTM Air performed comparably to Ambu® AuraGainTM and i-Gel laryngeal masks in oropharyngeal sealing pressure. I-Gel® had the highest successful insertion rate. Most of the differences detected were not statistically significant, with all three masks providing effective airway management. Full article
(This article belongs to the Section Anesthesiology)
Show Figures

Figure 1

11 pages, 862 KB  
Article
Comparison of Cardiorespiratory Effects of Two Balanced Anesthesia Protocols in Baboons (Papio hamadryas) Undergoing Laparoscopic Salpingectomy
by Roberta Pizzi, Claudia Piemontese, Caterina Vicenti, Elena Barazia, Marzia Stabile, Claudia Acquafredda, Luca Lacitignola, Marta Guadalupi, Pietro Laricchiuta and Francesco Staffieri
Vet. Sci. 2025, 12(12), 1134; https://doi.org/10.3390/vetsci12121134 - 29 Nov 2025
Viewed by 362
Abstract
Laparoscopic salpingectomy is a minimally invasive surgery that requires careful anesthetic management due to the effects of intra-abdominal gas insufflation. In this retrospective study, baboons (Papio hamadryas) were treated with two induction protocols: medetomidine–ketamine (MK; n = 16) and medetomidine–tiletamine–zolazepam (MZ; n = [...] Read more.
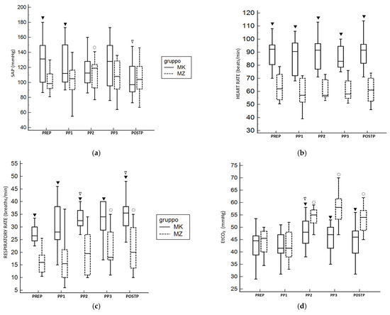
Laparoscopic salpingectomy is a minimally invasive surgery that requires careful anesthetic management due to the effects of intra-abdominal gas insufflation. In this retrospective study, baboons (Papio hamadryas) were treated with two induction protocols: medetomidine–ketamine (MK; n = 16) and medetomidine–tiletamine–zolazepam (MZ; n = 12) via intramuscular injection. A laryngeal mask (LMA) was used for airway management and anesthesia was maintained with isoflurane in 100% oxygen. For statistical analysis, the following parameters were analyzed via two-way ANOVA: heart rate (HR), respiratory rate (RR), systolic, diastolic, and mean arterial blood pressure (SAP, DAP, and MAP), end-tidal carbon dioxide (EtCO2), and peripheral oxygen saturation (SpO2) recorded five minutes before pneumoperitoneum (PREP), after abdominal insufflation (PP1), at 10 (PP2) and 20 (PP3) minutes post-insufflation, and 5 min after pneumoperitoneum interruption (POSTP). HR and RR were statistically significantly higher (p < 0.05) in the MK group compared to the MZ group at all time points of the study. EtCO2 was significantly higher (p < 0.05) in the MZ group at PP2, PP3, and POSTP time points. The incidence of hypotension was significantly greater in the MZ group (45.5%) compared to the MK group (6.25%). Hypercapnia was observed in all baboons sedated with the MZ protocol compared to 12.5% of the MK group. As a result, the MK protocol provided greater cardiorespiratory stability during laparoscopic surgery. Full article
(This article belongs to the Special Issue Emerging Trends in Veterinary Anesthesia and Analgesia)
Show Figures

Figure 1

9 pages, 6757 KB  
Project Report
Airway Proficiency and Efficiency Amongst Anesthesia Providers and Respiratory Therapists: A Comparison Study
by Calleigh G. Brignull, Emily B. Williams, Harper A. Sprouse, Kyle J. Adams, Stephanie L. Tanner, John W. Sykes, Henry Moulder, William R. Hand and Robert R. Morgan
J. Clin. Med. 2025, 14(22), 8059; https://doi.org/10.3390/jcm14228059 - 13 Nov 2025
Viewed by 398
Abstract
Background/Objectives: Studies have demonstrated significant morbidity and mortality associated with airway management, especially when provided outside of the operative setting. The goal of this study was to compare baseline measurements of airway management procedures between anesthesia providers (CRNAs and anesthesiologists) and respiratory [...] Read more.
Background/Objectives: Studies have demonstrated significant morbidity and mortality associated with airway management, especially when provided outside of the operative setting. The goal of this study was to compare baseline measurements of airway management procedures between anesthesia providers (CRNAs and anesthesiologists) and respiratory therapists using high-fidelity manikins. Methods: This prospective study assessed anesthesia providers and respiratory therapists performing direct laryngoscopy (DL), video laryngoscopy (VL), and LMA placement. The same Laerdal SimMan high-fidelity manikin (Laerdal, Stavanger, Norway) was used in all assessments, with the detection of end-tidal “carbon dioxide” serving as evidence of success for each procedure. Each procedure was performed twice, once under “Healthy Patient” SimMan settings, and once under the “Limited Cervical Range of Motion (ROM)” (DL), “Pharyngeal Obstruction” (VL), and “Full Tongue Edema” (LMA) settings, respectively, to simulate a moderately difficult airway. The order in which the techniques were performed was randomized for each participant. Completion time and number of attempts were recorded for each procedure and compared between the groups. Results: Sixty-two providers (30 anesthesia providers and 32 respiratory therapists) were enrolled. There were no significant differences in average time to completion for any procedure, except respiratory therapists took longer than anesthesia providers in VL with simulated pharyngeal obstruction (p = 0.0004). There were no differences in number of attempts needed for successful completion. Conclusions: This study demonstrates that while completion times for DL and LMA placement were similar amongst provider groups, average time to completion of VL for respiratory therapists was longer under difficult simulated settings. These results reflect potential areas of improvement for other provider groups that may have airway privileges at their respective institutions. Full article
(This article belongs to the Special Issue Airway Management: From Basic Techniques to Innovative Technologies)
Show Figures

Figure 1

17 pages, 466 KB  
Article
Thiopental Versus Propofol in Combination with Remifentanil for Successful Classic Laryngeal Mask Airway Insertion: A Prospective, Randomised, Double-Blind Trial
by Mert Akan, Mensure Çakırgöz, İsmail Demirel, Ömürhan Saraç, Aysun Afife Kar, Ergin Alaygut, Oğuzhan Demirel, Hicret Yeniay and Abdurrahman Tünay
Pharmaceuticals 2025, 18(8), 1173; https://doi.org/10.3390/ph18081173 - 8 Aug 2025
Cited by 1 | Viewed by 1059
Abstract
Background: Remifentanil, an ultra-short-acting μ-receptor agonist, is used with propofol or thiopental for tracheal intubation without muscle relaxants. While effective with both, its combination with thiopental provides better hemodynamic stability. Thiopental has long been a standard intravenous agent for anaesthesia induction and [...] Read more.
Background: Remifentanil, an ultra-short-acting μ-receptor agonist, is used with propofol or thiopental for tracheal intubation without muscle relaxants. While effective with both, its combination with thiopental provides better hemodynamic stability. Thiopental has long been a standard intravenous agent for anaesthesia induction and remains a cost-effective alternative to propofol in resource-limited settings. To date, no study has directly compared the effects of thiopental–remifentanil and propofol–remifentanil combinations on LMA insertion conditions. This study aims to compare the effects of thiopental or propofol with 2 µg·kg−1 remifentanil on laryngeal mask airway (LMA) insertion conditions and success in a prospective, randomised double-blind study. Method: The study included 80 premedicated ASA I-II patients, aged 18–65, randomised into Group P (propofol) and Group T (thiopental). Anaesthesia induction was with 2 μg·kg−1 remifentanil, followed by 5 mg·kg−1 thiopental or 2.5 mg·kg−1 propofol. LMA insertion occurred 90 s post-induction. LMA insertion conditions were evaluated using a six-variable scale. Systolic arterial pressure (SAP), diastolic arterial pressure (DAP), mean arterial pressure (MAP), heart rate (HR), and bispectral index monitor (BIS) values were recorded at baseline, 1 min pre-insertion, and at 1, 2, 3, 4, and 5 min after insertion. Apnoea duration, loss of eyelash reflex duration, insertion duration, number of attempts, and perioperative complications were also documented. Results: Demographic data were similar. Group P showed significantly shorter eyelash reflex loss and LMA insertion durations, longer apnoea duration, and higher rates of full mouth opening, excellent LMA insertion condition, and hypotension or bradycardia compared to Group T (p < 0.05). Group P had significantly lower HR, SAP, DAP, and MAP at various time points (p < 0.05). There were no significant differences in blood presence on LMA, sore throat, or dysphagia (p > 0.05). Conclusions: In our study, administration of 2 μg·kg−1 remifentanil before induction along with thiopental or propofol was shown to provide acceptable LMA insertion conditions at comparable levels. As hemodynamic parameters were less affected, we believe the remifentanil–thiopental combination may be a suitable alternative. Full article
(This article belongs to the Special Issue Use of Anesthetic Agents: Management and New Strategy)
Show Figures

Figure 1

16 pages, 1059 KB  
Article
Perioperative Outcomes of Non-Intubated Versus Intubated Anesthesia in Video-Assisted Thoracoscopic Surgery for Early-Stage Non-Small Cell Lung Cancer: A Propensity Score-Matched Analysis
by Hsiang-Han Huang, Li-Hua Chen, Hou-Chuan Lai, Zhi-Fu Wu, Ching-Lung Ko, Kai-Li Lo, Go-Shine Huang and Wei-Cheng Tseng
J. Clin. Med. 2025, 14(10), 3466; https://doi.org/10.3390/jcm14103466 - 15 May 2025
Viewed by 1685
Abstract
Background: Previous studies have shown that ventilation strategies used in general anesthesia influence perioperative outcomes of video-assisted thoracoscopic surgery (VATS). This study investigated the perioperative effects of non-intubated anesthesia (NIA) versus intubated anesthesia (IA) in patients with early-stage non-small cell lung cancer (NSCLC) [...] Read more.
Background: Previous studies have shown that ventilation strategies used in general anesthesia influence perioperative outcomes of video-assisted thoracoscopic surgery (VATS). This study investigated the perioperative effects of non-intubated anesthesia (NIA) versus intubated anesthesia (IA) in patients with early-stage non-small cell lung cancer (NSCLC) undergoing VATS. Methods: This retrospective cohort study analyzed patients who underwent elective VATS for early-stage NSCLC between January 2015 and December 2022. Patients were categorized into the NIA and IA groups based on the ventilation strategies during general anesthesia. Comprehensive outcome data, including intraoperative and postoperative variables, were compared between the two groups. Univariate and multivariate logistic regression models were used to assess the odds ratios for conversion from NIA to IA. Results: A total of 372 patients who received NIA and 1560 who received IA for VATS were eligible for analysis. After propensity score matching, 336 patients were included in each group. In the matched analysis, patients who received NIA demonstrated favorable perioperative outcomes, including reduced opioid consumption, lower postoperative complication rates, and shorter hospital stays, compared to those who received IA. Additionally, patients with a lower baseline oxygen saturation and those who experienced intraoperative pulmonary and cardiovascular adverse events had a higher risk of conversion from NIA to IA. Conclusions: NIA during VATS in patients with early-stage NSCLC was associated with superior perioperative outcomes. Prospective studies are warranted to further evaluate the impact of NIA on perioperative outcomes in this patient population. Full article
(This article belongs to the Section Anesthesiology)
Show Figures

Figure 1

10 pages, 1540 KB  
Systematic Review
Incidences of Laryngospasm Using a Laryngeal Mask Airway or Endotracheal Tube in Paediatric Adenotonsillectomy: A Systematic Review
by Kevin Zi Kai Ooi, Rufinah Teo and Kok-Yong Chin
J. Clin. Med. 2025, 14(10), 3369; https://doi.org/10.3390/jcm14103369 - 12 May 2025
Viewed by 2478
Abstract
Background/Objectives: Adenotonsillectomy is common in paediatric otorhinolaryngology. Endotracheal intubation (ETT) has long been the preferred technique for securing the airway during anaesthesia, while the laryngeal mask airway (LMA) was introduced later as an alternative option. However, it is still unclear which of these [...] Read more.
Background/Objectives: Adenotonsillectomy is common in paediatric otorhinolaryngology. Endotracheal intubation (ETT) has long been the preferred technique for securing the airway during anaesthesia, while the laryngeal mask airway (LMA) was introduced later as an alternative option. However, it is still unclear which of these airway management methods is associated with a lower risk of triggering laryngospasm. This systematic review compares incidences of laryngospasm between the LMA and ETT in paediatric adenotonsillectomy. Methods: This systematic review followed guidelines outlined by Preferred Reporting Items for Systematic Reviews and Meta-Analyses (PRISMA). An extensive search of the literature was performed across three electronic databases, i.e. PubMed, Scopus, and Web of Science, covering all records available up to February 2024. Original studies comparing the use of LMAs and ETT in adenotonsillectomy among paediatric patients (aged 1 month–18 years) and reporting incidences of laryngospasm as the primary outcome were included in this review. Results: Five studies were included in the current review: three randomised controlled trials (RCTs) and two retrospective cohort studies. Incidences of laryngospasm during the use of LMAs and ETT in paediatric adenotonsillectomy were equivalent in most of these studies. Conclusions: The LMA does not reduce the incidence of laryngospasm as compared to ETT in paediatric adenotonsillectomy. More RCTs should be conducted to validate this observation. Full article
(This article belongs to the Section Anesthesiology)
Show Figures

Figure 1

16 pages, 280 KB  
Article
The Effect of Adding Remifentanil to Thiopental for Anaesthesia Induction on the Success of Classic Laryngeal Mask Airway Insertion: A Randomised Double-Blind Clinical Trial
by Mensure Çakırgöz, İsmail Demirel, Mert Akan, Ömürhan Saraç, Ergin Alaygut, Aysun Afife Kar, Oğuzhan Demirel and Emre Karagöz
Pharmaceuticals 2025, 18(5), 654; https://doi.org/10.3390/ph18050654 - 29 Apr 2025
Viewed by 1018
Abstract
Background: Remifentanil, an ultra-short-acting µ-receptor agonist, is used with propofol for optimal laryngeal mask airway (LMA) insertion. However, no studies have assessed its effects when combined with thiopental on LMA conditions. The combined use of thiopental and remifentanil may offer advantages, such [...] Read more.
Background: Remifentanil, an ultra-short-acting µ-receptor agonist, is used with propofol for optimal laryngeal mask airway (LMA) insertion. However, no studies have assessed its effects when combined with thiopental on LMA conditions. The combined use of thiopental and remifentanil may offer advantages, such as enhanced cardiovascular and respiratory stability. This study aims to compare the administration of thiopental with different doses of remifentanil to assess their combined effects on LMA insertion conditions and success in a prospective, randomised double-blind study. Method: A total of 100 ASA I–II patients (18–65 years), including both male and female participants, were randomly assigned to four remifentanil dose groups (0.5–3 µg.kg−1). Induction involved thiopental (5 mg.kg−1) after remifentanil. LMA insertion conditions were evaluated using a six-variable scale. Systolic arterial pressure (SAP), diastolic arterial pressure (DAP), mean arterial pressure (MAP), heart rate (HR), and bispectral index monitor (BIS) values, as well as apnoea duration, eyelash reflex loss time, and insertion attempts, were recorded at baseline, before insertion, and at 5 min post-insertion. Results: Time to eyelash reflex loss and LMA insertion were shorter in Groups III and IV than in Groups I and II (p < 0.001). Apnoea duration was longest in Group IV, followed by Group III (p < 0.001). Groups III and IV had significantly better LMA placement, mouth opening, and ease of insertion (p < 0.05). Coughing and gagging were highest in Group I (p < 0.001). SAP, MAP, HR, and DAP were significantly lower in Group IV at various time points (p < 0.05). HR was significantly higher in Group I compared to Groups II and III at multiple time points (p < 0.05). Conclusions: The administration of 5 mg.kg−1 thiopental with 2 μg.kg−1 remifentanil has been found to provide a stable haemodynamic response and 96% excellent or satisfactory laryngeal mask insertion conditions without increasing the duration of apnoea. Full article
(This article belongs to the Special Issue Use of Anesthetic Agents: Management and New Strategy)
15 pages, 354 KB  
Article
Comparison of the Effects of Propofol–Dexmedetomidine and Thiopental–Dexmedetomidine Combinations on the Success of Classical Laryngeal Mask Airway Insertions, Hemodynamic Responses, and Pharyngolaryngeal Morbidity
by Mensure Çakırgöz, İsmail Demirel, Aysun Afife Kar, Ergin Alaygut, Ömürhan Saraç, Emre Karagöz, Oğuzhan Demirel and Mert Akan
Medicina 2025, 61(5), 783; https://doi.org/10.3390/medicina61050783 - 23 Apr 2025
Viewed by 1202
Abstract
Background and Objectives: Dexmedetomidine is a potent selective α2 receptor agonist with analgesic and sedative effects. Many reports indicate that compared to fentanyl, the combination of dexmedetomidine with propofol provides comparably acceptable conditions for a laryngeal mask airway (LMA). However, no [...] Read more.
Background and Objectives: Dexmedetomidine is a potent selective α2 receptor agonist with analgesic and sedative effects. Many reports indicate that compared to fentanyl, the combination of dexmedetomidine with propofol provides comparably acceptable conditions for a laryngeal mask airway (LMA). However, no study has evaluated the effectiveness of combined dexmedetomidine and thiopental in LMA insertions compared to that of combined dexmedetomidine and propofol. This prospective, randomized, double-blind study aimed to compare the effects of dexmedetomidine with thiopental or propofol on LMA insertion conditions, hemodynamic responses, and pharyngolaryngeal morbidity, which in this study was defined as the presence of postoperative sore throat, dysphagia, or visible blood in the airway following a laryngeal mask airway (LMA) insertion. Materials and Methods: A total of 80 premedicated ASA I-II patients aged 18–65 years were randomized to the propofol group (Group P, n = 40) or thiopental group (Group T, n = 40). Anesthesia was induced by infusing 1 μg·kg−1 dexmedetomidine over 10 min followed by 2.5 mg·kg−1 propofol or 5 mg·kg−1 thiopental. LMA insertion conditions were evaluated on a scale assessing six variables. Systolic arterial pressure (SAP), diastolic arterial pressure (DAP), mean arterial pressure (MAP), heart rate (HR), and bispectral index values were recorded at baseline; 1 min before; and at 1, 2, 3, 4, and 5 min after an LMA insertion. The baseline values for the systolic arterial pressure (SAP), diastolic arterial pressure (DAP), mean arterial pressure (MAP), heart rate (HR), and bispectral index (BIS) values were recorded before dexmedetomidine infusion. Measurements for all patients were then taken 1 min before and at 1, 2, 3, 4, and 5 min after the LMA insertion Results: Demographic data were similar between the groups. In Group P, the time to loss of eyelash reflex and LMA insertion time were significantly shorter, the apnea duration was significantly longer, and the rates of full jaw opening and optimal LMA insertion conditions were significantly higher when compared with those of Group T (p < 0.05). Group P showed a significantly greater percentage decrease in HR compared to that of Group T at 1 min before and 1, 2, and 3 min after the LMA insertion (p < 0.05). Group T had a greater decrease in SAP and MAP at 1 min before insertion, while the SAP decrease was lower in Group T at 3, 4, and 5 min after insertion. The MAP and DAP values after the LMA insertion showed a greater decrease in Group P compared to in Group T (p < 0.05). The incidence of bradycardia was significantly (p < 0.05) higher in Group P than in Group T. There was no significant difference between the groups in terms of the frequency of hypotension, sore throat, presence of blood, or dysphagia at discharge from the recovery unit (p > 0.05). Conclusions: This study showed that the use of dexmedetomidine with thiopental provided comparably acceptable LMA insertion conditions with more stable hemodynamics compared to propofol. Full article
(This article belongs to the Special Issue Airway Management and Anesthetic Care)
6 pages, 1191 KB  
Case Report
Combining a McGrath Video Laryngoscope and C-MAC Video Stylet for the Endotracheal Intubation of a Patient with a Laryngeal Carcinoma Arising from the Anterior Side of the Epiglottis: A Case Report
by Richard L. Witkam, Jörgen Bruhn, Nico Hoogerwerf, Rebecca M. Koch and Lucas T. van Eijk
Anesth. Res. 2025, 2(1), 5; https://doi.org/10.3390/anesthres2010005 - 11 Feb 2025
Viewed by 1869
Abstract
Introduction: Difficult airway management is a critical challenge in anesthesia, often necessitating advanced techniques to ensure patient safety. A patient presented with a malignant lesion on the epiglottis, significantly altering the airway anatomy. Flexible rhinolaryngoscopy revealed a laryngeal carcinoma affecting the entire epiglottis, [...] Read more.
Introduction: Difficult airway management is a critical challenge in anesthesia, often necessitating advanced techniques to ensure patient safety. A patient presented with a malignant lesion on the epiglottis, significantly altering the airway anatomy. Flexible rhinolaryngoscopy revealed a laryngeal carcinoma affecting the entire epiglottis, causing thickening and displacement, which suggested the potential for difficult intubation. Methods: Given the expected feasibility of bag-mask ventilation and front-of-neck access, an asleep intubation technique was selected. The combined use of a McGrath video laryngoscope and C-MAC video stylet allowed for fast and easy atraumatic intubation on the first attempt. The anesthetic and surgical course was uneventful. Discussion: This case report highlights the successful use of a combined approach involving a video laryngoscope and video stylet for intubation in a patient with known difficulties in airway management, providing insights into the benefits of enhanced visualization and maneuverability. The rigid design and steerable tip of the C-MAC video stylet provide advantages over traditional flexible optics, offering better maneuverability and reducing the need for a second operator. Although this technique was successful in this case, its use in patients with complex airway pathologies warrants careful preoperative assessment and collaboration with an experienced airway management team. Full article
Show Figures

Figure 1

11 pages, 1277 KB  
Article
Laryngeal Mask Airway Method for Minimally Invasive Surfactant Therapy in Neonates with Pneumothorax Complicating Respiratory Distress Syndrome
by Joaquim M. B. Pinheiro, Marilyn Fisher, Kate A. Tauber and Chad Pezzano
Children 2025, 12(2), 134; https://doi.org/10.3390/children12020134 - 26 Jan 2025
Viewed by 1887
Abstract
Background/Objectives: Pneumothorax is a common complication of neonatal respiratory distress syndrome, which is decreased by surfactant therapy. Rescue administration of surfactant in neonates with severe RDS complicated by pneumothorax requires management of the pneumothorax to optimize surfactant distribution while avoiding positive pressure ventilation [...] Read more.
Background/Objectives: Pneumothorax is a common complication of neonatal respiratory distress syndrome, which is decreased by surfactant therapy. Rescue administration of surfactant in neonates with severe RDS complicated by pneumothorax requires management of the pneumothorax to optimize surfactant distribution while avoiding positive pressure ventilation to minimize iatrogenic exacerbation of the air leak. Methods: We retrospectively reviewed our center’s experience with neonates who had clinically significant pneumothorax complicating RDS, in whom we used a novel technique to administer surfactant through a laryngeal mask/supraglottic airway device without applying positive pressure ventilation. Results: In 13 of the 20 neonates in our cohort, subsequent invasive ventilation and chest tube insertion were avoided. There were no major complications or unfavorable outcomes. We describe our experience with this method and suggest an approach to individualize the management of neonates with pneumothorax preceding surfactant therapy. Conclusions: In our setting, laryngeal mask airway devices are now the preferred method to deliver surfactant in neonates with RDS and pre-existing pneumothorax. We believe this approach is readily applicable in most neonatal care settings. Full article
(This article belongs to the Special Issue Diagnosis and Management of Newborn Respiratory Distress Syndrome)
Show Figures

Figure 1

15 pages, 1548 KB  
Article
Pharmacodynamic Model of the Hemodynamic Effects of Propofol and Remifentanil and Their Interaction with Noxious Stimulation
by Maite Garraza-Obaldia, Sebastian Jaramillo, Zinnia P. Parra-Guillen, José F. Valencia, Pedro L. Gambús and Iñaki F. Trocóniz
Pharmaceutics 2024, 16(12), 1615; https://doi.org/10.3390/pharmaceutics16121615 - 19 Dec 2024
Cited by 1 | Viewed by 2501
Abstract
Background: Despite the known impact of propofol and remifentanil on hemodynamics and patient outcomes, there is a lack of comprehensive quantitative analysis, particularly in surgical settings, considering the influence of noxious stimuli. The aim of this study was to develop a quantitative [...] Read more.
Background: Despite the known impact of propofol and remifentanil on hemodynamics and patient outcomes, there is a lack of comprehensive quantitative analysis, particularly in surgical settings, considering the influence of noxious stimuli. The aim of this study was to develop a quantitative semi-mechanistic population model that characterized the time course changes in mean arterial pressure (MAP) and heart rate (HR) due to the effects of propofol, remifentanil, and different types of noxious stimulation related to the clinical routine. Methods: Data from a prospective study were used; the study analyzed the effects of propofol and remifentanil general anesthesia on female patients in physical status of I-II according to the American Society of Anesthesiologists (ASA I-II) undergoing gynecology surgery. Patients were consecutively assigned to different administration schemes of propofol and remifentanil targeted at different effect-site concentrations. Esophageal instrumentation, laryngeal mask airway insertion, hysteroscopy, and tetanus stimuli were applied. Data from patients with chronic hypertension were discarded. Results: MAP and HR observations from 77 patients were analyzed. The hemodynamic effects were described using turn-over models incorporating feedback mechanisms. Analyses revealed that propofol and remifentanil elicited effects on the turn-over of MAP and HR, respectively, with estimates of plasma drug concentrations causing an inhibition-half of the maximum effect (C50) of 8.79 µg∙mL−1 and 4.57 ng∙mL−1. Hysteroscopy exerted an increase in MAP (but not in HR), which was well-characterized by the model, with a predicted typical increase of 28 mmHg and a dissipation half-life of 33 min. The impact of other noxious stimuli on MAP or HR could not be identified. Model simulations indicated that propofol and remifentanil, titrated to inhibit the motor response to noxious stimuli, regardless of dose combinations, cause a significant risk of hypotension, especially following induction and at the end of surgery (when surgical intervention is completed, before the awakening phase). Conclusions: The developed semi-mechanistic and fully identifiable model provides quantitative information on how propofol, remifentanil, and surgical stimulus (hysteroscopy) interact to produce the hemodynamic changes (of MAP and HR) commonly observed in clinical practice. Full article
(This article belongs to the Special Issue Mechanism-Based Pharmacokinetic and Pharmacodynamic Modeling)
Show Figures

Figure 1

12 pages, 228 KB  
Article
Evaluation of General Anesthesia and Sedation and Follow-Up Compliance in Pediatric Dental Procedures: A Comprehensive Analysis of Long-Term Outcomes and Gender Differences
by Maria Sarapultseva and Alexey Sarapultsev
Dent. J. 2024, 12(9), 277; https://doi.org/10.3390/dj12090277 - 28 Aug 2024
Cited by 3 | Viewed by 4333
Abstract
This retrospective study evaluated the effectiveness of different types of general anesthesia (GA) and sedation in pediatric dental procedures, focusing on treatment outcomes and follow-up compliance with an emphasis on gender differences. Clinical records of 1582 pediatric patients, aged 0–18 years, were analyzed [...] Read more.
This retrospective study evaluated the effectiveness of different types of general anesthesia (GA) and sedation in pediatric dental procedures, focusing on treatment outcomes and follow-up compliance with an emphasis on gender differences. Clinical records of 1582 pediatric patients, aged 0–18 years, were analyzed to examine the distribution, duration and impact of anesthesia types on dental procedure complexity. The study population was divided into three age groups: 0–6, 7–12 and 13–18 years. We assessed follow-up attendance rates by gender and anesthesia type, calculated the decayed, missing and filled (DMF) index and evaluated the need for further treatment and reasons for retreatment. Our findings indicated that general anesthesia with inhalational agents and muscle relaxants was the most frequently used method (1260 instances), followed by nitrous oxide sedation (163 instances) and sevoflurane GA with a laryngeal mask airway (158 instances). Inhalational GA with muscle relaxants had the longest average duration (2.78 h) and the highest DMF index (7.43), reflecting its use in more severe dental conditions. Gender analysis revealed a slight male predominance in using inhalational GA with muscle relaxants (55.87% male vs. 44.13% female). Female patients demonstrated higher follow-up compliance across all periods. Overall, our results highlight the importance of tailored anesthesia and sedation plans, as well as follow-up protocols, in pediatric dentistry. This study provides valuable insights for practitioners in selecting appropriate anesthesia and sedation types and developing strategies to improve follow-up compliance and treatment success. Full article
(This article belongs to the Section Restorative Dentistry and Traumatology)
26 pages, 1716 KB  
Review
Exercise-Induced Bronchoconstriction in Children: State of the Art from Diagnosis to Treatment
by Roberto Grandinetti, Nicole Mussi, Arianna Rossi, Giulia Zambelli, Marco Masetti, Antonella Giudice, Simone Pilloni, Michela Deolmi, Carlo Caffarelli, Susanna Esposito and Valentina Fainardi
J. Clin. Med. 2024, 13(15), 4558; https://doi.org/10.3390/jcm13154558 - 5 Aug 2024
Cited by 10 | Viewed by 9206
Abstract
Exercise-induced bronchoconstriction (EIB) is a common clinical entity in people with asthma. EIB is characterized by postexercise airway obstruction that results in symptoms such as coughing, dyspnea, wheezing, chest tightness, and increased fatigue. The underlying mechanism of EIB is not completely understood. “Osmotic [...] Read more.
Exercise-induced bronchoconstriction (EIB) is a common clinical entity in people with asthma. EIB is characterized by postexercise airway obstruction that results in symptoms such as coughing, dyspnea, wheezing, chest tightness, and increased fatigue. The underlying mechanism of EIB is not completely understood. “Osmotic theory” and “thermal or vascular theory” have been proposed. Initial assessment must include a specific work-up to exclude alternative diagnoses like exercise-induced laryngeal obstruction (EILO), cardiac disease, or physical deconditioning. Detailed medical history and clinical examination must be followed by basal spirometry and exercise challenge test. The standardized treadmill running (TR) test, a controlled and standardized method to assess bronchial response to exercise, is the most adopted exercise challenge test for children aged at least 8 years. In the TR test, the goal is to reach the target heart rate in a short period and maintain it for at least 6 min. The test is then followed by spirometry at specific time points (5, 10, 15, and 30 min after exercise). In addition, bronchoprovocation tests like dry air hyperpnea (exercise and eucapnic voluntary hyperpnea) or osmotic aerosols (inhaled mannitol) can be considered when the diagnosis is uncertain. Treatment options include both pharmacological and behavioral approaches. Considering medications, the use of short-acting beta-agonists (SABA) just before exercise is the commonest option strategy, but daily inhaled corticosteroids (ICS) can also be considered, especially when EIB is not controlled with SABA only or when the patients practice physical activity very often. Among the behavioral approaches, warm-up before exercise, breathing through the nose or face mask, and avoiding polluted environments are all recommended strategies to reduce EIB risk. This review summarizes the latest evidence published over the last 10 years on the pathogenesis, diagnosis using spirometry and indirect bronchoprovocation tests, and treatment strategies, including SABA and ICS, of EIB. A specific focus has been placed on EIB management in young athletes, since this condition can not only prevent them from practicing regular physical activity but also competitive sports. Full article
(This article belongs to the Section Respiratory Medicine)
Show Figures

Figure 1

11 pages, 1546 KB  
Article
Dependence of Successful Airway Management in Neonatal Simulation Manikins on the Type of Supraglottic Airway Device and Providers’ Backgrounds
by Takahiro Sugiura, Rei Urushibata, Satoko Fukaya, Tsutomu Shioda, Tetsuya Fukuoka and Osuke Iwata
Children 2024, 11(5), 530; https://doi.org/10.3390/children11050530 - 28 Apr 2024
Viewed by 1967
Abstract
Supraglottic airway devices such as laryngeal masks and i-gels are useful for airway management. The i-gel is a relatively new device that replaces the air-inflated cuff of the laryngeal mask with a gel-filled cuff. It remains unclear which device is more effective for [...] Read more.
Supraglottic airway devices such as laryngeal masks and i-gels are useful for airway management. The i-gel is a relatively new device that replaces the air-inflated cuff of the laryngeal mask with a gel-filled cuff. It remains unclear which device is more effective for neonatal resuscitation. We aimed to evaluate the dependence of successful airway management in neonatal simulators on the device type and providers’ backgrounds. Ninety-one healthcare providers performed four attempts at airway management using a laryngeal mask and i-gel in two types of neonatal manikins. The dependence of successful insertions within 16.7 s (75th percentile of all successful insertions) on the device type and providers’ specialty, years of healthcare service, and completion of the neonatal resuscitation training course was assessed. Successful insertion (p = 0.001) and insertion time (p = 0.003) were associated with using the i-gel vs. laryngeal mask. The providers’ backgrounds were not associated with the outcome. Using the i-gel was associated with more successful airway management than laryngeal masks using neonatal manikins. Considering the limited effect of the provider’s specialty and experience, using the i-gel as the first-choice device in neonatal resuscitation may be advantageous. Prospective studies are warranted to compare these devices in the clinical setting. Full article
(This article belongs to the Section Pediatric Neonatology)
Show Figures

Figure 1

Back to TopTop