Sign in to use this feature.

Years

Between: -

Subjects

remove_circle_outline
remove_circle_outline
remove_circle_outline
remove_circle_outline
remove_circle_outline
remove_circle_outline
remove_circle_outline
remove_circle_outline
remove_circle_outline

Journals

Article Types

Countries / Regions

Search Results (46)

Search Parameters:
Keywords = lag correction factor

Order results
Result details
Results per page
Select all
Export citation of selected articles as:
55 pages, 4152 KB  
Article
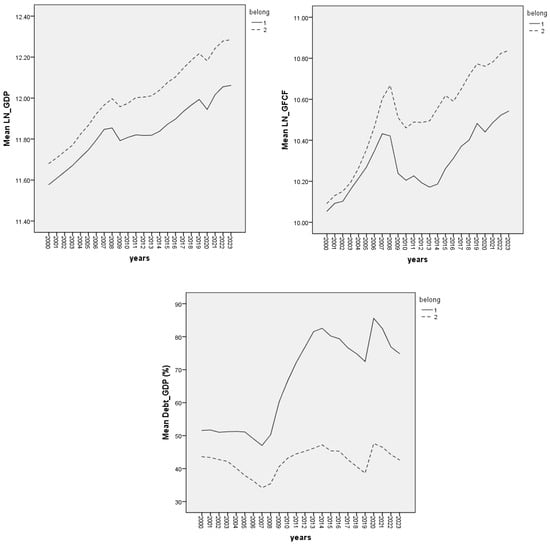
Compliance with the Euro Area Financial Criteria and Economic Convergence in the European Union over the Period 2000–2023
by Constantin Duguleana, Liliana Duguleana, Klára-Dalma Deszke and Mihai Bogdan Alexandrescu
Int. J. Financial Stud. 2025, 13(4), 183; https://doi.org/10.3390/ijfs13040183 - 1 Oct 2025
Abstract
The two groups of EU economies, the euro area and the non-euro area, are statistically analyzed taking into account the fulfillment of the euro area financial criteria and economic performance over the period 2000–2023. Compliance with financial criteria, economic performance, and their significant [...] Read more.
The two groups of EU economies, the euro area and the non-euro area, are statistically analyzed taking into account the fulfillment of the euro area financial criteria and economic performance over the period 2000–2023. Compliance with financial criteria, economic performance, and their significant influencing factors are presented comparatively for the two groups of countries. The long-run equilibrium between economic growth and its factors is identified by econometric approaches with the error correction model (ECM) and autoregressive distributed lag (ARDL) models for the two data panels. In the short term, economic shocks are taken into account to compare their different influences on economic growth within the two groups of countries. The GMM system is used to model economic convergence at the EU level over the period under review. Comparisons between GDP growth and its theoretical values from econometric models have led to interesting conclusions regarding the existence and characteristics of economic convergence at the group and EU level. EU countries outside the euro area have higher economic growth rates than euro area economies over the period 2000–2023. In the long run, investment brings a higher increase in economic development in EU countries outside the euro area than in euro area countries. Economic shocks have been felt more deeply on economic growth in the euro area than in the non-euro area. The speed of adjustment towards long-run equilibrium in econometric models is slower for non-euro area economies than in the euro area over a one-year period. At the level of the European Monetary Union, change policies have a faster impact on economic development and a faster speed of adjustment towards equilibrium. Full article
Show Figures

Figure 1

31 pages, 1606 KB  
Article
Investments, Economics, Renewables and Population Versus Carbon Emissions in ASEAN and Larger Asian Countries: China, India and Pakistan
by Simona-Vasilica Oprea, Adela Bâra and Irina Alexandra Georgescu
Sustainability 2025, 17(14), 6628; https://doi.org/10.3390/su17146628 - 20 Jul 2025
Viewed by 977
Abstract
Our research explores the dynamic relationship between CO2 emissions and four major influencing factors: foreign direct investment (FDI), economic growth (GDP), renewable energy consumption (REN) and population (POP) in the Association of Southeast Asian Nations (ASEAN) and three large Asian countries—China, India [...] Read more.
Our research explores the dynamic relationship between CO2 emissions and four major influencing factors: foreign direct investment (FDI), economic growth (GDP), renewable energy consumption (REN) and population (POP) in the Association of Southeast Asian Nations (ASEAN) and three large Asian countries—China, India and Pakistan, collectively referred to as LACs (larger Asian countries), from 1990 to 2022. The study has three main objectives: (1) to assess the short-run and long-run effects of GDP, FDI, REN and POP on CO2 emissions; (2) to compare the adjustment speeds and environmental policy responsiveness between ASEAN and LAC regions; and (3) to evaluate the role of renewable energy in mitigating environmental degradation. Against the backdrop of increasing environmental challenges and divergent development paths in Asia, this research contributes to the literature by applying a dynamic heterogeneous panel autoregressive distributed lag (panel ARDL) model. Unlike traditional static panel models, the panel ARDL model captures both long-run equilibrium relationships and short-run adjustments, allowing for country-specific dynamics. The results reveal a significant long-run cointegration among the variables. The error correction term (ECT) indicates a faster adjustment to equilibrium in LACs (−1.18) than ASEAN (−0.37), suggesting LACs respond more swiftly to long-run disequilibria in emissions-related dynamics. This may reflect more responsive policy mechanisms, stronger institutional capacities or more aggressive environmental interventions in LACs. In contrast, the slower adjustment in ASEAN highlights potential structural rigidities or delays in implementing effective policy responses, emphasizing the need for enhanced regulatory frameworks and targeted climate strategies to improve policy intervention efficiency. Results show that GDP and FDI increase emissions in both regions, while REN reduces them. POP is insignificant in ASEAN but increases emissions in LACs. These results provide insights into the relative effectiveness of policy instruments in accelerating the transition to a low-carbon economy, highlighting the need for differentiated strategies that align with each country’s institutional capacity, development stage and energy structure. Full article
Show Figures

Figure 1

20 pages, 746 KB  
Article
The Impact of Medical Insurance Penetration and Macroeconomic Factors on Healthcare Expenditure and Quality Outcomes in Saudi Arabia: An ARDL Analysis of Economic Sustainability
by Faten Derouez and Norah Falah Munahi Bin Shary
Sustainability 2025, 17(12), 5604; https://doi.org/10.3390/su17125604 - 18 Jun 2025
Viewed by 962
Abstract
This study investigated the determinants of the Healthcare Quality Index (HQI) in Saudi Arabia over the period from 1990 to 2024. It specifically analyzed the impact of six key variables: Medical Insurance Penetration Rate (MIPR), Gross Domestic Product per Capita (GDP), Unemployment Rate [...] Read more.
This study investigated the determinants of the Healthcare Quality Index (HQI) in Saudi Arabia over the period from 1990 to 2024. It specifically analyzed the impact of six key variables: Medical Insurance Penetration Rate (MIPR), Gross Domestic Product per Capita (GDP), Unemployment Rate (UR), Inflation Rate (IR), Government Healthcare Expenditure as a Percentage of GDP (GHE), and Foreign Direct Investment in the Healthcare Sector (FDI). Utilizing the Autoregressive Distributed Lag (ARDL) and Vector Error Correction Model (VECM) techniques, this research explored both the short-term dynamics and the long-term equilibrium relationships among these time-series variables, while also accounting for cointegration and potential endogeneity. This study contributes to the existing literature by applying the ARDL and VECM methodologies to comprehensively analyze the combined impact of these factors on HQI within the unique economic and social framework of Saudi Arabia, addressing a notable void in this specific context and exploring both transient fluctuations and sustained equilibrium relationships. The key findings revealed distinct influences across time horizons. In the short term, GDP and GHE significantly and positively affect HQI, whereas UR and IR demonstrate a significant negative impact. Short-term impacts of MIPR and FDI are found to be positive but not statistically significant. The long-term analysis indicates that MIPR, GHE, and FDI have a significant positive influence on HQI, while IR maintains a significant negative impact. GDP and UR effects are not statistically significant in the long term. Further analysis using Granger causality tests and VECM confirmed that MIPR, GDP, GHE, and FDI collectively Granger-cause HQI, with government healthcare expenditure playing a crucial role in correcting short-term deviations toward long-term equilibrium. This study concludes that long-term strategies focusing on expanding insurance coverage, increasing government healthcare investment, and attracting foreign direct investment are vital for significantly enhancing healthcare quality in Saudi Arabia. The sustained positive influence of these factors and the critical role of government spending in maintaining long-term stability underscore their importance for effective healthcare policy. While emphasizing these long-term drivers, policymakers should also remain cognizant of the significant negative short-term fluctuations caused by unemployment and inflation. Full article
Show Figures

Figure 1

16 pages, 6356 KB  
Article
The Differential and Interactive Effects of Aging and Mental Fatigue on Alpha Oscillations: A Resting-State Electroencephalography Study
by Xiaodong Yang, Kaixin Liu, Lei Liu, Yanan Du, Hao Yu, Yongjie Yao, Yu Sun and Chuantao Li
Brain Sci. 2025, 15(6), 546; https://doi.org/10.3390/brainsci15060546 - 22 May 2025
Viewed by 1215
Abstract
Background: Both aging and cognitive fatigue are significant factors influencing alpha activity in the brain. However, the interactive effects of age and mental fatigue on the alpha spectrum and functional connectivity have not been fully elucidated. Methods: Using resting-state EEG data from an [...] Read more.
Background: Both aging and cognitive fatigue are significant factors influencing alpha activity in the brain. However, the interactive effects of age and mental fatigue on the alpha spectrum and functional connectivity have not been fully elucidated. Methods: Using resting-state EEG data from an open-access dataset (younger: N = 198; older: N = 227) collected before and after a 2 h cognitive task block, we systematically examined the effects of aging and mental fatigue on alpha (8–13 Hz) oscillations via an aperiodic-corrected power spectrum, the weighted phase lag index (wPLI), and graph theory analysis. Results: In both spectral power and network efficiency, mental fatigue primarily modulates low alpha in younger individuals, while high alpha reflects stable age-related changes. The aperiodic offset and exponent decrease with age, while mental fatigue leads to an increase in the exponent. Notable interactions between age and mental fatigue are observed in low-alpha power, the aperiodic exponent, and the network efficiency of both low- and high-alpha bands. Conclusions: This study provides valuable insights into the differential modulation patterns of alpha activity by age and mental fatigue, as well as their interactions. These findings advance our understanding of how aging and mental fatigue differentially and interactively shape neural dynamics. Full article
(This article belongs to the Section Neurotechnology and Neuroimaging)
Show Figures

Figure 1

19 pages, 437 KB  
Article
Agricultural Insurance and Food Security in Saudi Arabia: Exploring Short and Long-Run Dynamics Using ARDL Approach and VECM Technique
by Faten Derouez and Yasmin Salah Alqattan
Sustainability 2025, 17(10), 4696; https://doi.org/10.3390/su17104696 - 20 May 2025
Cited by 1 | Viewed by 860
Abstract
This study investigated the dynamic factors influencing food security in Saudi Arabia, a critical concern for the nation’s stability and development. The purpose of this research was to analyze the impact of several key determinants on the Food Security Index and to distinguish [...] Read more.
This study investigated the dynamic factors influencing food security in Saudi Arabia, a critical concern for the nation’s stability and development. The purpose of this research was to analyze the impact of several key determinants on the Food Security Index and to distinguish between their short-term and long-term effects, thereby providing evidence-based policy recommendations. Using annual time-series data spanning 1990 to 2023, the research employs the Autoregressive Distributed Lag (ARDL) and Vector Error Correction Model (VECM) methods. We specifically examined the roles of agricultural GDP contribution, agricultural insurance coverage, food price stability, government policies related to agriculture, climate change impacts, agricultural productivity, and technology adoption. Short-run estimates reveal that agricultural GDP contribution, government policies, and agricultural productivity express a significant positive influence on food security. Importantly, climate change showed a counterintuitive positive association in the short term, potentially indicating immediate adaptive responses. Conversely, food price stability exhibited an unexpected negative association, which may indicate that the index captures high price levels rather than just volatility. The long-run analysis highlights the crucial importance of sustained factors for food security. Agricultural GDP contribution, agricultural insurance coverage, and agricultural productivity are identified as having significant positive impacts over the long term. In contrast, climate change demonstrates a significant negative long-run impact, underscoring its detrimental effect over time. Government policies, while impactful in the short term, become statistically insignificant in the long run, suggesting that sustained structural factors become dominant. Granger causality tests indicate short-term causal relationships flowing from climate change (positively), agricultural GDP contribution, government policies, and agricultural productivity towards food security. The significant error correction term confirms the existence of a stable long-run equilibrium relationship among the variables. On the basis of these findings, the study concludes that strengthening food security in Saudi Arabia requires a multifaceted approach. Short-term efforts should focus on enhancing agricultural productivity and implementing targeted measures to mitigate immediate climate impacts and refine food price stabilization strategies. For long-term resilience, priorities must include expanding agricultural insurance coverage, investing in sustainable agricultural practices, and continuing to boost agricultural productivity. The study contributes to the literature by providing a comprehensive dynamic analysis of food security determinants in Saudi Arabia using robust time-series methods, offering specific insights into the varying influences of economic, policy, environmental, and agricultural factors across different time horizons. Further research is recommended to explore the specific mechanisms behind the observed short-term relationship with climate change and optimize food price policies. Full article
(This article belongs to the Special Issue Sustainable Water Management in Rapid Urbanization)
16 pages, 954 KB  
Article
Technological Advancements and Economic Growth as Key Drivers of Renewable Energy Production in Saudi Arabia: An ARDL and VECM Analysis
by Faten Derouez
Energies 2025, 18(9), 2177; https://doi.org/10.3390/en18092177 - 24 Apr 2025
Cited by 1 | Viewed by 586
Abstract
This study examines the short- and long-term effects of various economic, environmental, and policy factors on renewable energy production (REP) in Saudi Arabia from 1990 to 2024, using the Autoregressive Distributed Lag (ARDL) approach and Vector Error Correction Model (VECM) techniques. The analysis [...] Read more.
This study examines the short- and long-term effects of various economic, environmental, and policy factors on renewable energy production (REP) in Saudi Arabia from 1990 to 2024, using the Autoregressive Distributed Lag (ARDL) approach and Vector Error Correction Model (VECM) techniques. The analysis focuses on fossil fuel consumption (FFC), renewable energy investment (REI), carbon emissions (CEs), energy prices (EPs), government policies (GPs), technological advancements (TAs), socioeconomic factors (SEFs), and economic growth (EG) as determinants of REP, measured as electricity generated from solar power sources in kilowatt-hours (kWh). Short-term findings reveal a positive momentum effect, where prior REP levels significantly influence current production, driven by factors such as learning by doing, economies of scale, and consistent policy support. However, FFC negatively impacts REP, highlighting resource competition and market dynamics favoring fossil fuels. Positive short-term influences include REI, CEs, EPs, GPs, TAs, SEFs, and EG, which collectively enhance renewable energy adoption through investments, technological innovation, policy incentives, and economic development. Long-term analysis underscores a strong negative relationship between FFC and REP, with a 7503-unit decline in REP associated with increased fossil fuel dependency. Conversely, REP benefits from REI, CEs, EPs, GPs, TAs, and EG, with significant contributions from technological advancements (3769-unit increase) and economic growth (9191-unit increase). However, SEFs exhibit a slight negative impact, suggesting that rapid urbanization and population growth may outpace renewable infrastructure development. Overall, the study highlights the complex interplay of factors shaping renewable energy production, emphasizing the importance of sustained investments, supportive policies, and technological innovation, while addressing challenges posed by fossil fuel reliance and socioeconomic pressures. These insights provide valuable implications for policymakers and stakeholders aiming to accelerate the transition to renewable energy in Saudi Arabia. Full article
(This article belongs to the Section A: Sustainable Energy)
19 pages, 1057 KB  
Article
Financial Policies and Corporate Income Tax Administration in Nigeria
by Cordelia Onyinyechi Omodero and Joy Limaro Yado
Int. J. Financial Stud. 2025, 13(2), 52; https://doi.org/10.3390/ijfs13020052 - 1 Apr 2025
Viewed by 1039
Abstract
Corporate taxation assumes a pivotal role in all economies, as it constitutes a substantial source of revenue for governmental agencies tasked with fulfilling social obligations. Nonetheless, modifications in financial policies and the unpredictability of macroeconomic factors result in a significant decline in this [...] Read more.
Corporate taxation assumes a pivotal role in all economies, as it constitutes a substantial source of revenue for governmental agencies tasked with fulfilling social obligations. Nonetheless, modifications in financial policies and the unpredictability of macroeconomic factors result in a significant decline in this vital revenue source for the government. This study examines the financial determinants influencing corporate tax revenue in Nigeria from 1990 to 2022. In this analysis, the broad money supply, access to credit by the private sector, borrowing costs, and exchange rates are utilized as independent variables, while corporate tax revenue serves as the dependent variable. Data pertinent to this investigation on corporate income tax are sourced from the Federal Inland Revenue Service, whereas information regarding the broad money supply and credit extended to the private sector is acquired from the Central Bank of Nigeria. Additionally, statistical data on interest and exchange rates are gathered from the World Bank. This investigation applies autoregressive distributed lag and error correction models, acknowledging the existence of a long-term relationship within the series. The significant findings indicate that the broad money supply positively and significantly affects corporate income tax in the short run, but this effect diminishes to a positively insignificant level in the long run. Additionally, the interest rate is shown to have a significant harmful effect on corporate tax income in the short run, while it becomes negatively insignificant over the long term. Other financial policy factors do not significantly account for changes in corporate income tax. This study suggests the formulation of financial policies that are advantageous to corporate organizations, particularly through the reduction in borrowing costs, to facilitate business growth and enhance the government’s ability to collect substantial corporate tax revenue. The originality of this research is apparent in its utilization of financial policy instruments to illustrate the effectiveness of financial guidelines on corporate tax receipts and to argue for particular amendments that are essential when these guidelines prove detrimental to business activities. Full article
Show Figures

Figure 1

24 pages, 1928 KB  
Article
Assessing the Sustainability of Southeast Asia’s Energy Transition: A Comparative Analysis
by Faten Derouez and Adel Ifa
Energies 2025, 18(2), 287; https://doi.org/10.3390/en18020287 - 10 Jan 2025
Cited by 7 | Viewed by 1662
Abstract
The rapid economic growth in Southeast Asia has heightened concerns about its environmental sustainability, particularly in relation to CO2 emissions. Despite the growing focus on climate change mitigation, the region faces significant challenges in balancing economic development, energy transitions, and environmental conservation. [...] Read more.
The rapid economic growth in Southeast Asia has heightened concerns about its environmental sustainability, particularly in relation to CO2 emissions. Despite the growing focus on climate change mitigation, the region faces significant challenges in balancing economic development, energy transitions, and environmental conservation. Existing studies often overlook the complex interplay between these factors, leaving a critical gap in understanding how tailored strategies can address country-specific dynamics. To bridge this gap, this study introduces the “Sustainable Energy-Environment Nexus” (SEEN) framework, which integrates economic growth, energy transitions, and environmental conservation as interconnected elements necessary for achieving carbon neutrality in both the short and long run. Using data from eight Southeast Asian countries (Indonesia, Malaysia, China, South Korea, Vietnam, Singapore, Thailand, and Japan) over the period 1990–2023, this study employs the Autoregressive Distributed Lag (ARDL) approach and the Vector Error Correction Model (VECM) technique to analyze the relationships between CO2 emissions, GDP, financial development, forest areas, renewable energy, non-renewable energy consumption, and trade openness. The findings reveal that GDP and non-renewable energy consumption significantly drive CO2 emissions in countries like Indonesia, Malaysia, Japan, and South Korea. Conversely, forest areas, financial development, renewable energy, and trade openness are effective in reducing emissions in countries such as Vietnam and China. This study highlights the critical role of renewable energy adoption while addressing challenges such as inadequate infrastructure and limited technology transfer. It also identifies opportunities for regional cooperation in innovation and policy harmonization. To support sustainable energy development, tailored policy recommendations include incentivizing investments in renewable energy, enhancing technology transfer, expanding forest conservation efforts, and aligning regional renewable energy targets across ASEAN. The SEEN framework provides a robust foundation for advancing research and policy design aimed at reducing CO2 emissions and promoting environmental sustainability across Southeast Asia. Full article
(This article belongs to the Special Issue New Trends in Energy, Climate and Environmental Research)
Show Figures

Figure 1

22 pages, 3768 KB  
Article
Exploring the Effects of Renewable Energy, Energy Consumption, and Industrial Growth on Saudi Arabia’s Environmental Footprint: An Autoregressive Distributed Lag Analysis
by Mwahib Gasmelsied Ahmed Mohammed, Sufian Eltayeb Mohamed Abdel-Gadir, Faizah Alsulami, Sonia Mannai, Lamia Arfaoui, Khalid Alharbi, Amal Abdulmajeed Qassim and Mahmoud Mokhtar Alsafy
Energies 2024, 17(24), 6327; https://doi.org/10.3390/en17246327 - 16 Dec 2024
Cited by 3 | Viewed by 1754
Abstract
This study explores the long-run relationship among the environmental footprint (EnF), renewable energy consumption, energy use, industrial growth, and urbanization in Saudi Arabia from 1990 to 2023, employing the Autoregressive Distributed Lag (ARDL) model, alongside Fully Modified Ordinary Least Squares (FMOLS), Dynamic Ordinary [...] Read more.
This study explores the long-run relationship among the environmental footprint (EnF), renewable energy consumption, energy use, industrial growth, and urbanization in Saudi Arabia from 1990 to 2023, employing the Autoregressive Distributed Lag (ARDL) model, alongside Fully Modified Ordinary Least Squares (FMOLS), Dynamic Ordinary Least Squares (DOLS), and Canonical Cointegrating Regression (CCR) for robustness checks. Results indicate a significant long-term relationship among the variables, with renewable energy adoption emerging as a crucial factor in reducing carbon emissions. The ARDL bounds test confirms the existence of cointegration, revealing the dynamic interplay among renewable energy, economic growth, and environmental sustainability. The findings show that renewable energy consumption significantly reduces the environmental footprint (CO2 emissions), supporting Saudi Arabia’s Vision 2030 goals for economic diversification and sustainable development. However, industrial expansion, while critical for economic growth, still contributes to increased emissions, underscoring the need for further investment in clean technologies. The study also highlights the role of urbanization, which, while essential for development, poses challenges for environmental sustainability. Short-term dynamics, represented by the Error Correction Model, indicate a fast adjustment speed toward equilibrium, with deviations corrected by approximately 52% each period. The study offers valuable insights for policymakers aiming to balance industrial growth with environmental protection, emphasizing the need for strategic investments in renewable energy and energy efficiency. This research contributes to the understanding of energy–economy–environment interactions in oil-rich economies, providing a foundation for future studies to explore the impact of advanced technologies and policy interventions on sustainable development Full article
(This article belongs to the Section B1: Energy and Climate Change)
Show Figures

Figure 1

16 pages, 759 KB  
Article
Formulating Eco-Friendly Strategies: Transition to Green Economy
by Irfan Kadioglu and Ismail Bulent Gurbuz
Sustainability 2024, 16(11), 4492; https://doi.org/10.3390/su16114492 - 25 May 2024
Cited by 4 | Viewed by 1758
Abstract
Turkey is attempting to achieve carbon neutrality targets by implementing environmentally friendly techniques. This study aims to assess the short- and long-term relationships between Turkey’s annual carbon emissions and economic growth, as well as annual electricity generation from renewable fossil fuels. Data for [...] Read more.
Turkey is attempting to achieve carbon neutrality targets by implementing environmentally friendly techniques. This study aims to assess the short- and long-term relationships between Turkey’s annual carbon emissions and economic growth, as well as annual electricity generation from renewable fossil fuels. Data for this study were obtained from the World Bank and the official website of the Turkish Statistical Institute (TURKSTAT) from 1986 to 2020. The Autoregressive Distributed Lag Bound Test (ARDL) technique was used to estimate variable cointegration. The cointegration test shows a long-run relationship between the selected variables. A 1% increase in the GDP, COAL, and PTRLGZ variables increases CO2 emissions by 0.65%, 33%, and 7%, respectively. The RE variable was found to have a negative effect on CO2 emissions. The effect of the RE variable on CO2 emissions is −0.10. This result indicates that a 1% increase in the RE variable reduces CO2 emissions by 0.10%. Looking at the short-term data, the error correction coefficient (CointEq (−1)) was found to be negative (−0.832) and significant. Based on the error correction variable, it is expected that the short-run deviations from equilibrium will be corrected and that a long-run equilibrium will be reached in less than one year. The long-run results also suggest that the factors used in the model have a statistically significant effect on the dependent variable. While this effect is negative for annual electricity production from renewable energy sources, it is positive for annual electricity production from fossil fuels and gross domestic product (GDP). Full article
(This article belongs to the Special Issue Energy Sources, Carbon Emissions and Economic Growth)
Show Figures

Figure 1

25 pages, 4596 KB  
Article
Energy Transition and Poverty Alleviation in Light of Environmental and Economic Challenges: A Comparative Study in China and the European Union Region
by Faten Derouez, Adel Ifa and Abdullah Al Shammre
Sustainability 2024, 16(11), 4468; https://doi.org/10.3390/su16114468 - 24 May 2024
Cited by 5 | Viewed by 2504
Abstract
This study aims to compare the effectiveness of renewable energy and circular economy practices in reducing environmental damage and poverty in China and the European Union (EU) by using the Autoregressive Distributed Lag (ARDL) approach and the Vector Error Correction Model (VECM) technique. [...] Read more.
This study aims to compare the effectiveness of renewable energy and circular economy practices in reducing environmental damage and poverty in China and the European Union (EU) by using the Autoregressive Distributed Lag (ARDL) approach and the Vector Error Correction Model (VECM) technique. Analyzing data from 1995 to 2022, we compared the effectiveness of these approaches in both regions. This study offers several fresh perspectives on the fight against environmental damage and poverty, differentiating itself from existing research in a few key ways. In fact, most studies focus on a single region’s approach to sustainability. However, this research directly compares China and the European Union (EU), highlighting how factors like economic structure and development stages influence the effectiveness of renewable energy and circular economy practices. Also, this study shows how renewable energy and circular practices can simultaneously tackle both environmental damage (emissions) and social issues (poverty). Our findings reveal that factors like poverty, fossil fuel reliance, economic growth, and international trade all contribute to rising carbon emissions in both China and the EU, though their influence varies. Interestingly, China experienced greater success in curbing emissions through solar power, circular economy measures, and wind power compared to the EU. Additionally, the impact of these strategies on poverty reduction differed significantly between the two regions. Based on these results, we recommend that policy makers in both regions develop tailored strategies for tackling carbon emissions and poverty. Prioritizing renewable energy sources and circular practices is key, as they can simultaneously reduce emissions and alleviate poverty. However, it is crucial to focus on approaches that work best in each specific region, considering social, economic, and environmental factors. This study suggests that a one-size-fits-all approach will not work for fighting climate change and poverty. While renewable energy and circular economies are effective, China saw greater success with solar and wind power compared to the EU. Policy makers need to design strategies specific to their region’s economic, social, and environmental context. Further research can refine these approaches, and public education is crucial to promote sustainable behavior and empower policy makers. It is also needed to refine and improve the implementation of these strategies. Finally, public awareness and education are essential to promote sustainable behavior and empower policy makers in their fight against climate change and poverty. This study highlights the importance of a region-specific approach to energy transition and poverty alleviation. By comparing China and the EU, we gain valuable insights into the effectiveness of different strategies in tackling these interconnected challenges. The findings provide valuable guidance for policy makers looking to create a more sustainable and equitable future. Full article
(This article belongs to the Special Issue Renewable Energy Driven Sorption Cooling and Desalination)
21 pages, 827 KB  
Article
Empowering Pakistan’s Economy: The Role of Health and Education in Shaping Labor Force Participation and Economic Growth
by Muhammad Umair, Waqar Ahmad, Babar Hussain, Costinela Fortea, Monica Laura Zlati and Valentin Marian Antohi
Economies 2024, 12(5), 113; https://doi.org/10.3390/economies12050113 - 9 May 2024
Cited by 32 | Viewed by 5213
Abstract
The labor force is a crucial factor in conducting economic activities, especially in labor-surplus countries like Pakistan. In this study, we explore the impact of labor force participation (LF) on economic growth (EG), with an emphasis on how this impact depends on the [...] Read more.
The labor force is a crucial factor in conducting economic activities, especially in labor-surplus countries like Pakistan. In this study, we explore the impact of labor force participation (LF) on economic growth (EG), with an emphasis on how this impact depends on the levels of health and education expenditures. We analyze time series data from Pakistan spanning from 1980 to 2022, using ARDL (Autoregressive Distributed Lag), ECM (Error Correction Model) and Granger causality techniques for empirical analysis. The ARDL results indicate that LF significantly boosts EG, both in the short and long run. Furthermore, the estimations reveal that better facilities for health and education strengthen the positive effects of LF on EG. This suggests a complementary relationship between health, education, and LF in driving EG. Moreover, our findings highlight the temporal significance of health and education: Health plays a more crucial role in the short run, while education’s impact is more substantial in the long run. Furthermore, the Granger causality results indicate that LF, health, and education significantly contribute to EG. It is advisable for the government to prioritize investments in the health and education sectors. This approach can empower individuals to actively and effectively participate in economic activities, eventually contributing to the overall economic output of the nation. Full article
(This article belongs to the Special Issue Innovation, Productivity and Economic Growth: New Insights)
Show Figures

Figure 1

16 pages, 316 KB  
Article
The Nexus between Oil Consumption, Economic Growth, and Crude Oil Prices in Saudi Arabia
by Kolthoom Alkofahi and Jihen Bousrih
Economies 2024, 12(5), 105; https://doi.org/10.3390/economies12050105 - 29 Apr 2024
Cited by 2 | Viewed by 3306
Abstract
The energy revolution in Saudi Arabia has accelerated significantly since 2016, driven by the National Vision 2030. Significant changes to energy subsidies took place, and the renewable energy sector has seen rapid growth. The paper presents an empirical analysis of the Saudi energy [...] Read more.
The energy revolution in Saudi Arabia has accelerated significantly since 2016, driven by the National Vision 2030. Significant changes to energy subsidies took place, and the renewable energy sector has seen rapid growth. The paper presents an empirical analysis of the Saudi energy transition by emphasizing the drivers of fuel consumption in KSA. It primarily attempts to explore the long-run (LR) connection between oil consumption and several economic variables such as economic growth, crude oil prices, investment, and the labor force in Saudi Arabia (KSA) from 1991 up to 2021. The paper implemented the vector error correction model (VECM) and performed different diagnostic tests to provide more evidence about the validity and robustness of the tests. The empirical findings highlighted how important the labor force, savings, GDP, and crude oil price are in determining oil consumption for KSA. The law of demand is significantly present, which negatively affects oil consumption for KSA as an oil exporting country. The results also supported the existence of a long-term direct correlation between the variables and oil consumption. Furthermore, the short-term estimation highlighted that only saving has a negative impact on oil consumption for a single lagged period. Our findings provide governments and regulators with further incentive to slow the expansion in oil consumption, as a larger labor force is demanding more oil to attain the target, faster economic growth, and increased savings are all contributing factors. Our findings are significant because they can assist policymakers, investors, and regulators in generating more efficient oil substitutes and making them affordable for the economy. Full article
25 pages, 1912 KB  
Article
Sustainable Food Security: Balancing Desalination, Climate Change, and Population Growth in Five Arab Countries Using ARDL and VECM
by Faten Derouez and Adel Ifa
Sustainability 2024, 16(6), 2302; https://doi.org/10.3390/su16062302 - 11 Mar 2024
Cited by 14 | Viewed by 2702
Abstract
This study examines the complex interplay between food security, climate change, population, water, and renewable energy desalination in five Arab countries: Morocco, Egypt, Jordan, Saudi Arabia, and the United Arab Emirates. Using a comprehensive econometric approach: an Auto-Regressive Distributed Lag approach (ARDL) and [...] Read more.
This study examines the complex interplay between food security, climate change, population, water, and renewable energy desalination in five Arab countries: Morocco, Egypt, Jordan, Saudi Arabia, and the United Arab Emirates. Using a comprehensive econometric approach: an Auto-Regressive Distributed Lag approach (ARDL) and Vector Error Correction Model (VECM) technique spanning 1990–2022, to explore the short- and long-run dynamics of these relationships and identify causal linkages. The ARDL results reveal a mixed outcome. While renewable energy desalination capacity holds potential for enhancing food security in all countries, its impact depends on cost and government support. The cost of desalination negatively affects food security in most cases, highlighting the need for cost-effective solutions. Climate change poses a significant threat, particularly in Morocco, Egypt, and Jordan, but it may also offer unexpected opportunities for KSA and UAE. Population growth, unsurprisingly, strains food security across the region. Water scarcity emerges as a major challenge, especially for Jordan. The Granger causality tests uncover bidirectional relationships between renewable energy desalination, climate change, and water in Morocco and Jordan, suggesting their interconnected influence. In Egypt, population, water, and food imports drive the system, while KSA and UAE exhibit complex dynamics with renewable energy desalination and food imports acting as key drivers. Policymakers facing the complex challenge of food security in Arab countries should take note of this research’s multifaceted findings. While renewable energy desalination holds promise, its success hinges on reducing costs through technological advancements and government support, particularly in Morocco, Egypt, and Jordan. Climate change adaptation strategies must be prioritized, while recognizing potentially unexpected opportunities in regions like KSA and UAE. Additionally, addressing water scarcity through innovative resource management is crucial, especially for Jordan. Managing population growth through family planning initiatives and promoting sustainable agricultural practices are vital for long-term food security. Finally, the identified causal relationships underscore the need for integrated policy approaches that acknowledge the interconnectedness of these factors. By tailoring responses to the specific dynamics of each nation, policymakers can ensure effective interventions and secure a sustainable food future for the region. Full article
(This article belongs to the Special Issue Renewable Energy Driven Sorption Cooling and Desalination)
Show Figures

Figure 1

14 pages, 845 KB  
Article
The Effects of Geopolitical Risk on Foreign Direct Investment in a Transition Economy: Evidence from Vietnam
by Loc Dong Truong, H. Swint Friday and Tan Duy Pham
J. Risk Financial Manag. 2024, 17(3), 101; https://doi.org/10.3390/jrfm17030101 - 1 Mar 2024
Cited by 9 | Viewed by 9493
Abstract
Foreign direct investment (FDI) is a key driver of economic development of both developed and developing countries. Understanding and having insights into the factors that motivate increased FDI arevery important for both academics and policy makers. A key factor that multinationals incorporate in [...] Read more.
Foreign direct investment (FDI) is a key driver of economic development of both developed and developing countries. Understanding and having insights into the factors that motivate increased FDI arevery important for both academics and policy makers. A key factor that multinationals incorporate in their decisions on FDI is geopolitical risk (GPR). Therefore, this study is devotedto investigating the short-term and long-term effects of GPR on FDI in Vietnam. Data used in this study are the yearly geopolitical risk index, FDI, and other control variables covering the period from 1986 to 2021. Using the autoregressive distributed lag (ARDL) bounds testing approach, the empirical results confirm that geopolitical risk (GPR) has a significantly negative effect on FDI in Vietnam in the longterm. Specifically, in the longterm, 1 percent increase in the GPR index is associated with 5.7983 percent decrease in Vietnam’s FDI. In addition, the results derived from the ARDL model indicate that in the shortterm, GPR has a significantly positive effect on the FDI for the one-year lag, meaning that an increase in the GPR index leads to an increase in FDI. Moreover, the results derived from the error correction model (ECM) indicate that 42.89% of the disequilibria from the previous year are converged and corrected back to the long-run equilibrium in the current year. Based on the findings, some policy implications are drawn for policymakers to mitigate the negative effects of GPR on FDI. Full article
(This article belongs to the Special Issue Financial Markets, Financial Volatility and Beyond, 3rd Edition)
Show Figures

Figure 1

Back to TopTop