Sign in to use this feature.

Years

Between: -

Subjects

remove_circle_outline
remove_circle_outline
remove_circle_outline
remove_circle_outline
remove_circle_outline
remove_circle_outline

Journals

Article Types

Countries / Regions

Search Results (9)

Search Parameters:
Keywords = inverted pendulum vehicle

Order results
Result details
Results per page
Select all
Export citation of selected articles as:
32 pages, 4578 KB  
Article
Dimensionless Policies Based on the Buckingham π Theorem: Is This a Good Way to Generalize Numerical Results?
by Alexandre Girard
Mathematics 2024, 12(5), 709; https://doi.org/10.3390/math12050709 - 28 Feb 2024
Cited by 5 | Viewed by 2609
Abstract
The answer to the question posed in the title is yes if the context (the list of variables defining the motion control problem) is dimensionally similar. This article explores the use of the Buckingham π theorem as a tool to encode the control [...] Read more.
The answer to the question posed in the title is yes if the context (the list of variables defining the motion control problem) is dimensionally similar. This article explores the use of the Buckingham π theorem as a tool to encode the control policies of physical systems into a more generic form of knowledge that can be reused in various situations. This approach can be interpreted as enforcing invariance to the scaling of the fundamental units in an algorithm learning a control policy. First, we show, by restating the solution to a motion control problem using dimensionless variables, that (1) the policy mapping involves a reduced number of parameters and (2) control policies generated numerically for a specific system can be transferred exactly to a subset of dimensionally similar systems by scaling the input and output variables appropriately. Those two generic theoretical results are then demonstrated, with numerically generated optimal controllers, for the classic motion control problem of swinging up a torque-limited inverted pendulum and positioning a vehicle in slippery conditions. We also discuss the concept of regime, a region in the space of context variables, that can help to relax the similarity condition. Furthermore, we discuss how applying dimensional scaling of the input and output of a context-specific black-box policy is equivalent to substituting new system parameters in an analytical equation under some conditions, using a linear quadratic regulator (LQR) and a computed torque controller as examples. It remains to be seen how practical this approach can be to generalize policies for more complex high-dimensional problems, but the early results show that it is a promising transfer learning tool for numerical approaches like dynamic programming and reinforcement learning. Full article
(This article belongs to the Special Issue Dynamics and Control Theory with Applications)
Show Figures

Figure 1

19 pages, 11132 KB  
Article
Balancing-Prioritized Anti-Slip Control of a Two-Wheeled Inverted Pendulum Robot Vehicle on Low-Frictional Surfaces with an Acceleration Slip Indicator
by Yongkuk Kim and Sangjoo Kwon
Machines 2023, 11(5), 553; https://doi.org/10.3390/machines11050553 - 14 May 2023
Cited by 4 | Viewed by 3475
Abstract
When a two-wheeled inverted pendulum (TWIP) robot vehicle travels on slippery roads, the occurrence of wheel slip extremely threatens its postural stability owing to the loss of wheel traction. If a severe wheel slip happens between the driving wheels and contact surfaces, no [...] Read more.
When a two-wheeled inverted pendulum (TWIP) robot vehicle travels on slippery roads, the occurrence of wheel slip extremely threatens its postural stability owing to the loss of wheel traction. If a severe wheel slip happens between the driving wheels and contact surfaces, no control techniques can guarantee the driving performance and stability of the TWIP robots in the absence of an extra wheel slip control strategy. In this paper, a TWIP-compatible countermeasure against the wheel slip phenomena is investigated for enhancing the reliability of the vehicle and the robustness of the motion control performance on low-frictional surfaces. To this end, we propose a balancing-prioritized anti-slip control method based on the maximum transmissible torque estimation, which is activated only when a wheel slip is detected by the acceleration slip indicator utilizing accessible data from the IMU and wheel encoders. It is proved that the TWIP vehicles applying the proposed method can successfully cope with low frictional surfaces while maintaining postural stability. Finally, comparative simulations and experiments demonstrate the effectiveness and feasibility of the proposed scheme. Full article
(This article belongs to the Special Issue Reliable Control of Mechatronic Systems)
Show Figures

Figure 1

21 pages, 8361 KB  
Article
Differences in Driver Behavior between Manual and Automatic Turning of an Inverted Pendulum Vehicle
by Chihiro Nakagawa, Seiya Yamada, Daichi Hirata and Atsuhiko Shintani
Sensors 2022, 22(24), 9931; https://doi.org/10.3390/s22249931 - 16 Dec 2022
Cited by 4 | Viewed by 2529
Abstract
Personal mobility vehicles (PMVs) are compact and lightweight compared to automobiles; hence, human dynamic behavior affects a vehicle’s postural stability. In this study, the dynamic behaviors of drivers of inverted pendulum vehicles (IPV) under manual and automatic driving were investigated. One particular feature [...] Read more.
Personal mobility vehicles (PMVs) are compact and lightweight compared to automobiles; hence, human dynamic behavior affects a vehicle’s postural stability. In this study, the dynamic behaviors of drivers of inverted pendulum vehicles (IPV) under manual and automatic driving were investigated. One particular feature of applying automatic driving to IPV is constant posture stabilization control. In this study, the drivers’ center of gravity (COG)/center of foot pressure position (COP) and joint moments during turning were investigated experimentally. It was found that the drivers’ COG shifted backward during turning and deceleration. For COP, it was found that drivers maintained balance by moving their inner foot more inward and their outer foot more outward during turning. These results are significant for understanding the steps taken to withstand centrifugal forces during turning. The joint moments of the foot were more significant in automatic turning than in manual turning to prevent falling owing to centrifugal force. These findings can facilitate the development of an automatic control method that shifts the COG of a driver, as in manual turning. Full article
(This article belongs to the Special Issue The Intelligent Sensing Technology of Transportation System)
Show Figures

Figure 1

18 pages, 5686 KB  
Article
Robust Stabilization of Underactuated Two-Wheeled Balancing Vehicles on Uncertain Terrains with Nonlinear-Model-Based Disturbance Compensation
by Yongkuk Kim and SangJoo Kwon
Actuators 2022, 11(11), 339; https://doi.org/10.3390/act11110339 - 21 Nov 2022
Cited by 8 | Viewed by 3448
Abstract
Two-wheeled inverted pendulum (TWIP) vehicles are prone to lose their mobility and postural stability owing to their inherently unstable and underactuated dynamic characteristics, specifically when they encounter abruptly changed slopes or ground friction. Overcoming such environmental disturbances is essential to realize an agile [...] Read more.
Two-wheeled inverted pendulum (TWIP) vehicles are prone to lose their mobility and postural stability owing to their inherently unstable and underactuated dynamic characteristics, specifically when they encounter abruptly changed slopes or ground friction. Overcoming such environmental disturbances is essential to realize an agile TWIP-based mobile platform. In this paper, we suggest a disturbance compensation method that is compatible with unmanned TWIP systems in terms of the nonlinear-model-based disturbance observer, where the underactuated dynamic model is transformed to a fully actuated form by regarding the gravitational moment of the inverted pendulum as a supplementary pseudo-actuator to counteract the pitch-directional disturbances. Consequently, it enables us to intuitively determine the disturbance compensation input of the two wheels and the pitch reference input accommodating to uncertain terrains in real time. Through simulation and experimental results, the effectiveness of the proposed method is validated. Full article
(This article belongs to the Special Issue Modeling, Optimization and Control of Robotic Systems)
Show Figures

Figure 1

24 pages, 1652 KB  
Article
Flatness-Based Active Disturbance Rejection Control for a PVTOL Aircraft System with an Inverted Pendular Load
by Cesar Alejandro Villaseñor Rios, Alberto Luviano-Juárez, Norma Beatriz Lozada-Castillo, Blanca Esther Carvajal-Gámez, Dante Mújica-Vargas and Octavio Gutiérrez-Frías
Machines 2022, 10(7), 595; https://doi.org/10.3390/machines10070595 - 21 Jul 2022
Cited by 13 | Viewed by 2851
Abstract
This paper presents a systematic procedure for the control scheme design for a PVTOL aircraft system with an inverted pendular load, which is a nonlinear underactuated system. The control scheme is based on the use of angular movement as an artificial control in [...] Read more.
This paper presents a systematic procedure for the control scheme design for a PVTOL aircraft system with an inverted pendular load, which is a nonlinear underactuated system. The control scheme is based on the use of angular movement as an artificial control in order to propose new auxiliary control inputs. This is achieved by a linear extended state observer-based active disturbance rejection control to reject both nonmodeled dynamics and external disturbances. The flying planar inverted pendulum is then linearized around an unstable equilibrium point, and the resulting system is subdivided into two subsystems: (1) the height system, and (2) the horizontal pendulum system. For the height system, a linear extended state observer-based active disturbance rejection control is proposed in order to accomplish a take-off and landing task in the presence of external disturbances and non-linearities neglected in the linearization process. The flatness property in the horizontal-pendulum system is exploited in order to propose another active disturbance rejection control of linear nature. The flatness of the tangentially linearized model provides a unique structural property that results in an advantageous low-order cascade decomposition of the linear extended state observer design. Numerical simulations show the effectiveness of the proposed control scheme in trajectory tracking tasks in the presence of disturbances caused by crosswinds with random amplitudes. Full article
(This article belongs to the Special Issue Control of Robotic Systems)
Show Figures

Figure 1

25 pages, 1816 KB  
Article
Dynamic Stability of an Electric Monowheel System Using LQG-Based Adaptive Control
by Ipsita Sengupta, Sagar Gupta, Dipankar Deb and Stepan Ozana
Appl. Sci. 2021, 11(20), 9766; https://doi.org/10.3390/app11209766 - 19 Oct 2021
Cited by 11 | Viewed by 5659
Abstract
This paper presents the simulation and calculation-based aspect of constructing a dynamically stable, self-balancing electric monowheel from first principles. It further goes on to formulate a reference model-based adaptive control structure in order to maintain balance as well as the desired output. First, [...] Read more.
This paper presents the simulation and calculation-based aspect of constructing a dynamically stable, self-balancing electric monowheel from first principles. It further goes on to formulate a reference model-based adaptive control structure in order to maintain balance as well as the desired output. First, a mathematical model of the nonlinear system analyzes the vehicle dynamics, followed by an appropriate linearization technique. Suitable parameters for real-time vehicle design are calculated based on specific constraints followed by a proper motor selection. Various control methods are tested and implemented on the state-space model of this system. Initially, classical pole placement control is carried out in MATLAB to observe the responses. The LQR control method is also implemented in MATLAB and Simulink, demonstrating the dynamic stability and self-balancing system property. Subsequently, the system considers an extensive range of rider masses and external disturbances by introducing white noise. The parameter estimation of rider position has been implemented using Kalman Filter estimation, followed by developing an LQG controller for the system, in order to mitigate the disturbances caused by factors such as wind. A comparison between LQR and LQG controllers has been conducted. Finally, a reference model-assisted adaptive control structure has been established for the system to account for sudden parameter changes such as rider mass. A reference model stabilizer has been established for the same purpose, and all results have been obtained by running simulations on MATLAB Simulink. Full article
(This article belongs to the Special Issue New Trends in the Control of Robots and Mechatronic Systems)
Show Figures

Figure 1

18 pages, 5960 KB  
Article
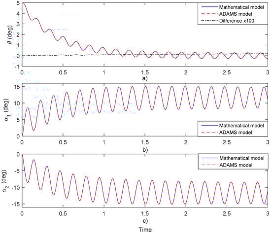
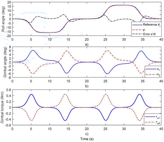
Design and Implementation of Model Predictive Control for a Gyroscopic Inverted Pendulum
by Trung-Dung Chu and Chih-Keng Chen
Appl. Sci. 2017, 7(12), 1272; https://doi.org/10.3390/app7121272 - 6 Dec 2017
Cited by 25 | Viewed by 11050
Abstract
This study proposes the design of an active stabilizing system (ASAS) for a single-track vehicle. Using the gyroscopic effects of two flywheels, this system can generate control torque to stabilize the vehicle in cases where there is centrifugal force of turning. To control [...] Read more.
This study proposes the design of an active stabilizing system (ASAS) for a single-track vehicle. Using the gyroscopic effects of two flywheels, this system can generate control torque to stabilize the vehicle in cases where there is centrifugal force of turning. To control the flywheel gimbals to generate stabilizing torque, a model predictive controller (MPC) is applied to control the system. For the controller design and performance evaluations, a model of a gyroscopic inverted pendulum is developed. Control strategies are proposed to stabilize the vehicle in the cases of straight running, circular motion, and path following. The results of the proposed stratgies when controlling the gyroscopic inverted pendulum showed good performance even with physical limitations of the control torques. In order to evaluate the real-time performance and the feasibility of the MPC, a real-time simulator is employed, which includes two embedded STM32F407 boards. The dynamic system and the control algorithms are respectively embedded into two STM32F407 boards for real-time simulation. Implementations of the MPC in this study demonstrate that the proposed controllers are feasible for real-time applications. Full article
(This article belongs to the Section Mechanical Engineering)
Show Figures

Figure 1

28 pages, 7229 KB  
Article
Indoor Autonomous Control of a Two-Wheeled Inverted Pendulum Vehicle Using Ultra Wide Band Technology
by Dunzhu Xia, Yanhong Yao and Limei Cheng
Sensors 2017, 17(6), 1401; https://doi.org/10.3390/s17061401 - 15 Jun 2017
Cited by 9 | Viewed by 7459
Abstract
In this paper, we aimed to achieve the indoor tracking control of a two-wheeled inverted pendulum (TWIP) vehicle. The attitude data are acquired from a low cost micro inertial measurement unit (IMU), and the ultra-wideband (UWB) technology is utilized to obtain an accurate [...] Read more.
In this paper, we aimed to achieve the indoor tracking control of a two-wheeled inverted pendulum (TWIP) vehicle. The attitude data are acquired from a low cost micro inertial measurement unit (IMU), and the ultra-wideband (UWB) technology is utilized to obtain an accurate estimation of the TWIP’s position. We propose a dual-loop control method to realize the simultaneous balance and trajectory tracking control for the TWIP vehicle. A robust adaptive second-order sliding mode control (2-RASMC) method based on an improved super-twisting (STW) algorithm is investigated to obtain the control laws, followed by several simulations to verify its robustness. The outer loop controller is designed using the idea of backstepping. Moreover, three typical trajectories, including a circle, a trifolium and a hexagon, have been designed to prove the adaptability of the control combinations. Six different combinations of inner and outer loop control algorithms have been compared, and the characteristics of inner and outer loop algorithm combinations have been analyzed. Simulation results demonstrate its tracking performance and thus verify the validity of the proposed control methods. Trajectory tracking experiments in a real indoor environment have been performed using our experimental vehicle to further validate the feasibility of the proposed algorithm in practice. Full article
(This article belongs to the Collection Modeling, Testing and Reliability Issues in MEMS Engineering)
Show Figures

Figure 1

5 pages, 2314 KB  
Article
Researches and Development of an Efficient Electric PersonalMover for City Commuters
by Sijia Cao, Yagang Huang, Youtong Zhang, Dong Zhao and Ke Liu
World Electr. Veh. J. 2010, 4(2), 238-242; https://doi.org/10.3390/wevj4020238 - 25 Jun 2010
Viewed by 1078
Abstract
In order to reduce the carbon emission, saving fuel energy and for the convenience of personal transportation in urban area, a two-wheel-driven self-balancing vehicle was developed, which utilize the well-known inverted pendulum control technique, can carry one person and travels at a maximum [...] Read more.
In order to reduce the carbon emission, saving fuel energy and for the convenience of personal transportation in urban area, a two-wheel-driven self-balancing vehicle was developed, which utilize the well-known inverted pendulum control technique, can carry one person and travels at a maximum speed of 20km/h. The vehicle which is called “Tiny” , consists up of two brushless DC motors, the motors are placed coaxially. A gravity sensor and a gyro are mounted on the vehicle, signals from the two sensors are combined with Kalman Filter to indicate the tilt angle of the vehicle. By controlling the tilt angle to be 0 degree (which means the vehicle body is perpendicular to ground), the vehicle can perform travelling forward and backward. In this paper, the implementation of the Kalman filter is discussed by using Matlab simulations, and the mathematical model of the vehicle is also presented, then the controlling diagram is presented. In the end of this paper, some experimental parameter is presented. Full article
Back to TopTop