Sign in to use this feature.

Years

Between: -

Subjects

remove_circle_outline
remove_circle_outline
remove_circle_outline
remove_circle_outline
remove_circle_outline
remove_circle_outline
remove_circle_outline
remove_circle_outline
remove_circle_outline

Journals

Article Types

Countries / Regions

Search Results (26)

Search Parameters:
Keywords = in-network control

Order results
Result details
Results per page
Select all
Export citation of selected articles as:
29 pages, 875 KB  
Review
A Survey of Quality-of-Service and Quality-of-Experience Provisioning in Information-Centric Networks
by Nazmus Sadat and Rui Dai
Network 2025, 5(2), 10; https://doi.org/10.3390/network5020010 - 14 Apr 2025
Cited by 3 | Viewed by 3788
Abstract
Information-centric networking (ICN) is a promising approach to address the limitations of current host-centric IP-based networking. ICN models feature ubiquitous in-network caching to provide faster and more reliable content delivery, name-based routing to provide better scalability, and self-certifying contents to ensure better security. [...] Read more.
Information-centric networking (ICN) is a promising approach to address the limitations of current host-centric IP-based networking. ICN models feature ubiquitous in-network caching to provide faster and more reliable content delivery, name-based routing to provide better scalability, and self-certifying contents to ensure better security. Due to the differences in the core architecture of ICN compared to existing IP-based networks, it requires special considerations to provide quality-of-service (QoS) or quality-of-experience (QoE) support for applications based on ICNs. This paper discusses the latest advances in QoS and QoE research for ICNs. First, an overview of ICN architectures is given, followed by a summary of different factors that influence QoS and QoE. Approaches for improving QoS and QoE in ICNs are then discussed in five main categories: in-network caching, name resolution and routing, transmission and flow control, software-defined networking, and media-streaming-based strategies. Finally, open research questions for providing QoS and QoE support in ICNs are outlined for future research. Full article
Show Figures

Figure 1

23 pages, 2715 KB  
Article
A Hierarchical Cache Architecture-Oriented Cache Management Scheme for Information-Centric Networking
by Yichao Chao and Rui Han
Future Internet 2025, 17(1), 17; https://doi.org/10.3390/fi17010017 - 5 Jan 2025
Cited by 4 | Viewed by 3236
Abstract
Information-Centric Networking (ICN) typically utilizes DRAM (Dynamic Random Access Memory) to build in-network cache components due to its high data transfer rate and low latency. However, DRAM faces significant limitations in terms of cost and capacity, making it challenging to meet the growing [...] Read more.
Information-Centric Networking (ICN) typically utilizes DRAM (Dynamic Random Access Memory) to build in-network cache components due to its high data transfer rate and low latency. However, DRAM faces significant limitations in terms of cost and capacity, making it challenging to meet the growing demands for cache scalability required by increasing Internet traffic. Combining high-speed but expensive memory (e.g., DRAM) with large-capacity, low-cost storage (e.g., SSD) to construct a hierarchical cache architecture has emerged as an effective solution to this problem. However, how to perform efficient cache management in such architectures to realize the expected cache performance remains challenging. This paper proposes a cache management scheme for hierarchical cache architectures in ICN, which introduces a differentiated replica replacement policy to accommodate the varying request access patterns at different cache layers, thereby enhancing overall cache performance. Additionally, a probabilistic insertion-based SSD cache admission filtering mechanism is designed to control the SSD write load, addressing the issue of balancing SSD lifespan and space utilization. Extensive simulation results demonstrate that the proposed scheme exhibits superior cache performance and lower SSD write load under various workloads and replica placement strategies, highlighting its broad applicability to different application scenarios. Additionally, it maintains stable performance improvements across different cache capacity settings, further reflecting its good scalability. Full article
Show Figures

Figure 1

16 pages, 1109 KB  
Article
A Receiver-Driven Named Data Networking (NDN) Congestion Control Method Based on Reinforcement Learning
by Ruijuan Zheng, Bohan Zhang, Xuhui Zhao, Lin Wang and Qingtao Wu
Electronics 2024, 13(23), 4609; https://doi.org/10.3390/electronics13234609 - 22 Nov 2024
Cited by 2 | Viewed by 3651
Abstract
Named data networking (NDN) is a novel networking paradigm characterized by in-network caching, receiver-driven communication, and multi-source, multi-path data retrieval, which poses new challenges for congestion control. Existing work has largely focused on receiver-driven mechanisms. Due to delays in obtaining network control information [...] Read more.
Named data networking (NDN) is a novel networking paradigm characterized by in-network caching, receiver-driven communication, and multi-source, multi-path data retrieval, which poses new challenges for congestion control. Existing work has largely focused on receiver-driven mechanisms. Due to delays in obtaining network control information (timeouts, NACKs) within NDN, consumers are unable to access the network congestion status from this information in a timely manner. To address the issues above, this paper combines the Q-learning algorithm with the NDN architecture, proposing Q-NDN. In Q-NDN, consumers can dynamically adjust the congestion window (cwnd) through the real-time monitoring of network status, leveraging the Q-learning algorithm, achieving automatic congestion control for the NDN architecture. Additionally, this paper introduces content popularity-based traffic scheduling for multi-user scenarioswhich adjusts the transmission rates of content with different popularity levels to maintain a dynamic balance in the network. The experimental results show that Q-NDN can converge quickly, make full use of bandwidth resources, and keep the packet loss rate to 0 in the basic network topology. In competing network topologies, Q-NDN can rapidly address conflict issues, efficiently utilize bandwidth resources, and maintain a relatively low packet loss rate. Full article
Show Figures

Figure 1

25 pages, 5648 KB  
Article
RMBCC: A Replica Migration-Based Cooperative Caching Scheme for Information-Centric Networks
by Yichao Chao, Hong Ni and Rui Han
Electronics 2024, 13(13), 2636; https://doi.org/10.3390/electronics13132636 - 4 Jul 2024
Cited by 1 | Viewed by 1038
Abstract
How to maximize the advantages of in-network caching under limited cache space has always been a key issue in information-centric networking (ICN). Replica placement strategies aim to fully utilize cache resources by optimizing the location and quantity distribution of replicas in the network, [...] Read more.
How to maximize the advantages of in-network caching under limited cache space has always been a key issue in information-centric networking (ICN). Replica placement strategies aim to fully utilize cache resources by optimizing the location and quantity distribution of replicas in the network, thereby improving the performance of the cache system. However, existing research primarily focuses on optimizing the placement of replicas along the content delivery path, which cannot avoid the inherent drawback of not being able to leverage off-path cache resources. The proposals for off-path caching cannot effectively solve this problem as they introduce excessive complexity and cooperation costs. In this paper, we address the trade-off between cache resource utilization and cooperation costs by introducing a mechanism complementary to replica placement. Instead of redesigning a new caching strategy from scratch, we propose a proactive cooperative caching mechanism (called RMBCC) that involves an independent replica migration process, through which we proactively relocate replicas evicted from the local cache to neighboring nodes with sufficient cache resources. The cooperation costs are effectively controlled through migration replica filtering, migration distance limitation, as well as hop-by-hop migration request propagation. Extensive simulation experiments show that RMBCC can be efficiently integrated with different on-path caching strategies. Compared with representative caching schemes, RMBCC achieves significant improvements in evaluation metrics such as cache hit ratio and content retrieval time, while only introducing negligible cooperation overhead. Full article
Show Figures

Figure 1

22 pages, 3244 KB  
Article
SDN-Based Congestion Control and Bandwidth Allocation Scheme in 5G Networks
by Dong Yang and Wei-Tek Tsai
Sensors 2024, 24(3), 749; https://doi.org/10.3390/s24030749 - 24 Jan 2024
Cited by 8 | Viewed by 4273
Abstract
5G cellular networks are already more than six times faster than 4G networks, and their packet loss rate, especially in the Internet of Vehicles (IoV), can reach 0.5% in many cases, such as when there is high-speed movement or obstacles nearby. In such [...] Read more.
5G cellular networks are already more than six times faster than 4G networks, and their packet loss rate, especially in the Internet of Vehicles (IoV), can reach 0.5% in many cases, such as when there is high-speed movement or obstacles nearby. In such high bandwidth and high packet loss network environments, traditional congestion control algorithms, such as CUBIC and bottleneck bandwidth and round-trip propagation time (BBR), have been unable to balance flow fairness and high performance, and their flow rate often takes a long time to converge. We propose a congestion control algorithm based on bottleneck routing feedback using an in-network control mode called bottleneck routing feedback (BRF). We use SDN technology (OpenFlow protocol) to collect network bandwidth information, and BRF controls the data transmission rate of the sender. By adding the bandwidth information of the bottleneck in the option field in the ACK packet, considering the flow fairness and the flow convergence rate, a bandwidth allocation scheme compatible with multiple congestion control algorithms is proposed to ensure the fairness of all flows and make them converge faster. The performance of BRF is evaluated via Mininet. The experimental results show that BRF provides higher bandwidth utilization, faster convergence rate, and fairer bandwidth allocation than existing congestion control algorithms in 5G cellular networks. Full article
(This article belongs to the Section Communications)
Show Figures

Figure 1

20 pages, 2556 KB  
Article
Leveraging Software-Defined Networking for a QoS-Aware Mobility Architecture for Named Data Networking
by Muhammad Adnan, Jehad Ali, Manel Ayadi, Hela Elmannai, Latifa Almuqren and Rashid Amin
Electronics 2023, 12(8), 1914; https://doi.org/10.3390/electronics12081914 - 18 Apr 2023
Cited by 5 | Viewed by 2678
Abstract
The internet’s future architecture, known as Named Data Networking (NDN), is a creative way to offer content-based services. NDN is more appropriate for content distribution because of its special characteristics, such as naming conventions for packets and methods for in-network caching. Mobility is [...] Read more.
The internet’s future architecture, known as Named Data Networking (NDN), is a creative way to offer content-based services. NDN is more appropriate for content distribution because of its special characteristics, such as naming conventions for packets and methods for in-network caching. Mobility is one of the main study areas for this innovative internet architecture. The software-defined networking (SDN) method, which is employed to provide mobility management in NDN, is one of the feasible strategies. Decoupling the network control plane from the data plane creates an improved programmable platform and makes it possible for outside applications to specify how a network behaves. The SDN is a straightforward and scalable network due to its key characteristics, including programmability, flexibility, and decentralized control. To address the problem of consumer mobility, we proposed an efficient SDPCACM (software-defined proactive caching architecture for consumer mobility) in NDN that extends the SDN model to allow mobility control for the NDN architecture (NDNA), through which the MC (mobile consumer) receives the data proactively after handover while the MC is moving. When an MC is watching a real-time video in a state of mobility and changing their position from one attachment point to another, the controllers in the SDN preserve the network layout and topology as well as link metrics to transfer updated routes with the occurrence of the handoff or handover scenario, and through the proactive caching mechanism, the previous access router proactively sends the desired packets to the new connected routers. Furthermore, the intra-domain and inter-domain handover processing situations in the SDPCACM for NDNA are described here in detail. Moreover, we conduct a simulation of the proposed SDPCACM for NDN that offers an illustrative methodology and parameter configuration for virtual machines (VMs), OpenFlow switches, and an ODL controller. The simulation result demonstrates that the proposed scheme has significant improvements in terms of CPU usage, reduced delay time, jitter, throughput, and packet loss ratio. Full article
Show Figures

Figure 1

15 pages, 1092 KB  
Article
A DRL-Driven Intelligent Optimization Strategy for Resource Allocation in Cloud-Edge-End Cooperation Environments
by Chao Fang, Tianyi Zhang, Jingjing Huang, Hang Xu, Zhaoming Hu, Yihui Yang, Zhuwei Wang, Zequan Zhou and Xiling Luo
Symmetry 2022, 14(10), 2120; https://doi.org/10.3390/sym14102120 - 12 Oct 2022
Cited by 21 | Viewed by 3297
Abstract
Complex dynamic services and heterogeneous network environments make the asymmetrical control a curial issue to handle on the Internet. With the advent of the Internet of Things (IoT) and the fifth generation (5G), the emerging network applications lead to the explosive growth of [...] Read more.
Complex dynamic services and heterogeneous network environments make the asymmetrical control a curial issue to handle on the Internet. With the advent of the Internet of Things (IoT) and the fifth generation (5G), the emerging network applications lead to the explosive growth of mobile traffic while bringing forward more challenging service requirements to future radio access networks. Therefore, how to effectively allocate limited heterogeneous network resources to improve content delivery for massive application services to ensure network quality of service (QoS) becomes particularly urgent in heterogeneous network environments. To cope with the explosive mobile traffic caused by emerging Internet services, this paper designs an intelligent optimization strategy based on deep reinforcement learning (DRL) for resource allocation in heterogeneous cloud-edge-end collaboration environments. Meanwhile, the asymmetrical control problem caused by complex dynamic services and heterogeneous network environments is discussed and overcome by distributed cooperation among cloud-edge-end nodes in the system. Specifically, the multi-layer heterogeneous resource allocation problem is formulated as a maximal traffic offloading model, where content caching and request aggregation mechanisms are utilized. A novel DRL policy is proposed to improve content distribution by making cache replacement and task scheduling for arriving content requests in accordance with the information about users’ history requests, in-network cache capacity, available link bandwidth and topology structure. The performance of our proposed solution and its similar counterparts are analyzed in different network conditions. Full article
(This article belongs to the Special Issue Asymmetrical Network Control for Complex Dynamic Services)
Show Figures

Figure 1

26 pages, 990 KB  
Article
PF-ClusterCache: Popularity and Freshness-Aware Collaborative Cache Clustering for Named Data Networking of Things
by Samar Alduayji, Abdelfettah Belghith, Achraf Gazdar and Saad Al-Ahmadi
Appl. Sci. 2022, 12(13), 6706; https://doi.org/10.3390/app12136706 - 2 Jul 2022
Cited by 15 | Viewed by 2978
Abstract
Named Data Networking (NDN) has been recognized as the most promising information-centric networking architecture that fits the application model of IoT systems. In-network caching is one of NDN’s most fundamental features for improving data availability and diversity and reducing the content retrieval delay [...] Read more.
Named Data Networking (NDN) has been recognized as the most promising information-centric networking architecture that fits the application model of IoT systems. In-network caching is one of NDN’s most fundamental features for improving data availability and diversity and reducing the content retrieval delay and network traffic load. Several caching decision algorithms have been proposed; however, retrieving and delivering data content with minimal resource usage, reduced communication overhead, and a short retrieval time remains a great challenge. In this article, we propose an efficient popularity and freshness caching approach named PF-ClusterCache that efficiently aggregates the storage of different nodes within a given cluster as global shareable storage so that zero redundancy be obtained in any cluster of nodes. This increases the storage capacity for caching with no additional storage resource. PF-ClusterCache ensures that only the newest, most frequent data content is cached, and caching is only performed at the edge of the network, resulting in a wide diversity of cached data content across the entire network and much better overall performance. In-depth simulations using the ndnSIM simulator are performed using a large transit stub topology and various networking scenarios. The results show the effectiveness of PF-ClusterCache in sharing and controlling the local global storage, and in accounting for the popularity and freshness of data content. PF-ClusterCache clearly outperforms the benchmark caching schemes considered, especially in terms of the significantly greater server access reduction and much lower content retrieval time, while efficiently conserving network resources. Full article
(This article belongs to the Section Electrical, Electronics and Communications Engineering)
Show Figures

Figure 1

13 pages, 1919 KB  
Article
MITRE ATT&CK Based Evaluation on In-Network Deception Technology for Modernized Electrical Substation Systems
by Daisuke Mashima
Sustainability 2022, 14(3), 1256; https://doi.org/10.3390/su14031256 - 23 Jan 2022
Cited by 13 | Viewed by 7157
Abstract
In recent years, cyber attacks against critical infrastructure have been increasing and are becoming stealthy and persistent. Attackers or malware may be hiding in the system after penetration to collect system information. They would further make lateral and vertical movement to seek target [...] Read more.
In recent years, cyber attacks against critical infrastructure have been increasing and are becoming stealthy and persistent. Attackers or malware may be hiding in the system after penetration to collect system information. They would further make lateral and vertical movement to seek target devices under the radar of existing cybersecurity measures. In order to counter such emerging attack vectors, in-network deception technology is attracting attention. In-network deception technology utilizes an apparently real but dummy (often virtual) devices deployed throughout the infrastructure to capture the attackers’ reconnaissance activities. In this paper, we pick one concrete design and implementation of in-network deception technology for IEC 61850 standard compliant smart substation systems in smart grid, named DecIED, and discuss its effectiveness in countering high-profile attacks that were recently witnessed in the real world. The evaluation is conducted based on the MITRE ATT&CK Matrix for industrial control systems, which tabulates phases and tactics of cyberattack against industrial control systems. Full article
Show Figures

Figure 1

19 pages, 2835 KB  
Article
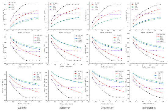
PB-NCC: A Popularity-Based Caching Strategy with Number-of-Copies Control in Information-Centric Networks
by Yuanhang Li, Jinlin Wang and Rui Han
Appl. Sci. 2022, 12(2), 653; https://doi.org/10.3390/app12020653 - 10 Jan 2022
Cited by 6 | Viewed by 2220
Abstract
The Information-Centric Network (ICN), designed for efficient content acquisition and distribution, is a promising candidate architecture for the future Internet. In-network caching in ICN makes it possible to reuse contents and the Name Resolution System (NRS) makes cached contents better serve users. In [...] Read more.
The Information-Centric Network (ICN), designed for efficient content acquisition and distribution, is a promising candidate architecture for the future Internet. In-network caching in ICN makes it possible to reuse contents and the Name Resolution System (NRS) makes cached contents better serve users. In this paper, we focused on the ICN caching scenario equipped with an NRS, which records the positions of contents cached in ICN. We propose a Popularity-based caching strategy with Number-of-Copies Control (PB-NCC) in this paper. PB-NCC is proposed to solve the problems of unreasonable content distribution and frequent cache replacement in traditional caching strategies in ICN. We examine PB-NCC with a large number of experiments in different topologies and workloads. The simulation results reveal that PB-NCC can improve the cache hit ratio by at least 8.85% and reduce the server load by at least 11.34% compared with other on-path caching strategies, meanwhile maintaining a low network latency. Full article
Show Figures

Figure 1

23 pages, 27015 KB  
Article
An Effective Transmission Scheme Based on Early Congestion Detection for Information-Centric Network
by Yong Xu, Hong Ni and Xiaoyong Zhu
Electronics 2021, 10(18), 2205; https://doi.org/10.3390/electronics10182205 - 9 Sep 2021
Cited by 9 | Viewed by 2982
Abstract
As one of the candidates for future network architecture, Information-Centric Networking (ICN) has revolutionized the manner of content retrieval by transforming the communication mode from host-centric to information-centric. Unlike a traditional TCP/IP network, ICN uses a location-independent name to identify content and takes [...] Read more.
As one of the candidates for future network architecture, Information-Centric Networking (ICN) has revolutionized the manner of content retrieval by transforming the communication mode from host-centric to information-centric. Unlike a traditional TCP/IP network, ICN uses a location-independent name to identify content and takes a receiver-driven model to retrieve the content. Moreover, ICN routers not only perform a forwarding function but also act as content providers due to pervasive in-network caching. The network traffic is more complicated and routers are more prone to congestion. These distinguished characteristics pose new challenges to ICN transmission control mechanism. In this paper, we propose an effective transmission scheme by combining the receiver-driven transport protocol and the router-driven congestion detection mechanism. We first outline the process of content retrieval and transmission in an IP-compatible ICN architecture and propose a practical receiver-driven transport protocol. Then, we present an early congestion detection mechanism applied on ICN routers based on an improved Active Queue Management (AQM) algorithm and design a receiver-driven congestion control algorithm. Finally, experiment results show that the proposed transmission scheme can maintain high bandwidth utilization and significantly reduce transmission delay and packet loss rate. Full article
(This article belongs to the Special Issue Advances on Networks and Cyber Security)
Show Figures

Graphical abstract

21 pages, 1615 KB  
Article
Secure Content Distribution with Access Control Enforcement in Named Data Networking
by Htet Htet Hlaing, Yuki Funamoto and Masahiro Mambo
Sensors 2021, 21(13), 4477; https://doi.org/10.3390/s21134477 - 30 Jun 2021
Cited by 10 | Viewed by 4372
Abstract
NDN is one of the new emerging future internet architectures which brings up new solutions over today’s internet architecture, facilitating content distribution, in-network caching, mobility support, and multicast forwarding. NDNs ubiquitous in-network caching allows consumers to access data directly from the intermediate router’s [...] Read more.
NDN is one of the new emerging future internet architectures which brings up new solutions over today’s internet architecture, facilitating content distribution, in-network caching, mobility support, and multicast forwarding. NDNs ubiquitous in-network caching allows consumers to access data directly from the intermediate router’s cache. However, it opens content privacy problems since data packets replicated in the router are always accessible by every consumer. Sensitive contents in the routers should be protected and accessed only by authorized consumers. Although the content protection problem can be solved by applying an encryption-based access control policy, it still needs an efficient content distribution scheme with lower computational overhead and content retrieval time. We propose an efficient and secure content distribution (ES_CD), by combining symmetric encryption and identity-based proxy re-encryption. The analysis shows that our proposed scheme achieves content retrieval time reduction up to 20% for the cached contents in our network simulation environment and a slight computational overhead of less than 19 ms at the content producer and 9 ms at the consumer for 2 KB content. ES_CD provides content confidentiality and ensures only legitimate consumers can access the contents during a predefined time without requiring a trusted third party and keeping the content producer always online. Full article
(This article belongs to the Special Issue Cybersecurity and Privacy in Smart Cities)
Show Figures

Figure 1

18 pages, 2950 KB  
Article
Two-Level Congestion Control Mechanism (2LCCM) for Information-Centric Networking
by Yaqin Song, Hong Ni and Xiaoyong Zhu
Future Internet 2021, 13(6), 149; https://doi.org/10.3390/fi13060149 - 7 Jun 2021
Cited by 2 | Viewed by 4119
Abstract
As an emerging network architecture, Information-Centric Networking (ICN) is considered to have the potential to meet the new requirements of the Fifth Generation (5G) networks. ICN uses a name decoupled from location to identify content, supports the in-network caching technology, and adopts a [...] Read more.
As an emerging network architecture, Information-Centric Networking (ICN) is considered to have the potential to meet the new requirements of the Fifth Generation (5G) networks. ICN uses a name decoupled from location to identify content, supports the in-network caching technology, and adopts a receiver-driven model for data transmission. Existing ICN congestion control mechanisms usually first select a nearby replica by opportunistic cache-hits and then insist on adjusting the transmission rate regardless of the congestion state, which cannot fully utilize the characteristics of ICN to improve the performance of data transmission. To solve this problem, this paper proposes a two-level congestion control mechanism, called 2LCCM. It switches the replica location based on a node state table to avoid congestion paths when heavy congestion happens. This 2LCCM mechanism also uses a receiver-driven congestion control algorithm to adjust the request sending rate, in order to avoid link congestion under light congestion. In this paper, the design and implementation of the proposed mechanism are described in detail, and the experimental results show that 2LCCM can effectively reduce the transmission delay when heavy congestion occurs, and the bandwidth-delay product-based congestion control algorithm has better transmission performance compared with a loss-based algorithm. Full article
(This article belongs to the Section Network Virtualization and Edge/Fog Computing)
Show Figures

Figure 1

23 pages, 512 KB  
Review
Drone Swarms as Networked Control Systems by Integration of Networking and Computing
by Godwin Asaamoning, Paulo Mendes, Denis Rosário and Eduardo Cerqueira
Sensors 2021, 21(8), 2642; https://doi.org/10.3390/s21082642 - 9 Apr 2021
Cited by 83 | Viewed by 24131
Abstract
The study of multi-agent systems such as drone swarms has been intensified due to their cooperative behavior. Nonetheless, automating the control of a swarm is challenging as each drone operates under fluctuating wireless, networking and environment constraints. To tackle these challenges, we consider [...] Read more.
The study of multi-agent systems such as drone swarms has been intensified due to their cooperative behavior. Nonetheless, automating the control of a swarm is challenging as each drone operates under fluctuating wireless, networking and environment constraints. To tackle these challenges, we consider drone swarms as Networked Control Systems (NCS), where the control of the overall system is done enclosed within a wireless communication network. This is based on a tight interconnection between the networking and computational systems, aiming to efficiently support the basic control functionality, namely data collection and exchanging, decision-making, and the distribution of actuation commands. Based on a literature analysis, we do not find revision papers about design of drone swarms as NCS. In this review, we introduce an overview of how to develop self-organized drone swarms as NCS via the integration of a networking system and a computational system. In this sense, we describe the properties of the proposed components of a drone swarm as an NCS in terms of networking and computational systems. We also analyze their integration to increase the performance of a drone swarm. Finally, we identify a potential design choice, and a set of open research challenges for the integration of network and computing in a drone swarm as an NCS. Full article
(This article belongs to the Special Issue Unmanned Aerial Vehicle Control, Networks, System and Application)
Show Figures

Figure 1

25 pages, 1176 KB  
Article
Threat Defense: Cyber Deception Approach and Education for Resilience in Hybrid Threats Model
by William Steingartner, Darko Galinec and Andrija Kozina
Symmetry 2021, 13(4), 597; https://doi.org/10.3390/sym13040597 - 3 Apr 2021
Cited by 85 | Viewed by 18045
Abstract
This paper aims to explore the cyber-deception-based approach and to design a novel conceptual model of hybrid threats that includes deception methods. Security programs primarily focus on prevention-based strategies aimed at stopping attackers from getting into the network. These programs attempt to use [...] Read more.
This paper aims to explore the cyber-deception-based approach and to design a novel conceptual model of hybrid threats that includes deception methods. Security programs primarily focus on prevention-based strategies aimed at stopping attackers from getting into the network. These programs attempt to use hardened perimeters and endpoint defenses by recognizing and blocking malicious activities to detect and stop attackers before they can get in. Most organizations implement such a strategy by fortifying their networks with defense-in-depth through layered prevention controls. Detection controls are usually placed to augment prevention at the perimeter, and not as consistently deployed for in-network threat detection. This architecture leaves detection gaps that are difficult to fill with existing security controls not specifically designed for that role. Rather than using prevention alone, a strategy that attackers have consistently succeeded against, defenders are adopting a more balanced strategy that includes detection and response. Most organizations deploy an intrusion detection system (IDS) or next-generation firewall that picks up known attacks or attempts to pattern match for identification. Other detection tools use monitoring, traffic, or behavioral analysis. These reactive defenses are designed to detect once they are attacked yet often fail. They also have some limitations because they are not designed to catch credential harvesting or attacks based on what appears as authorized access. They are also often seen as complex and prone to false positives, adding to analyst alert fatigue. The security industry has focused recent innovation on finding more accurate ways to recognize malicious activity with technologies such as user and entity behavioral analytics (UEBA), big data, artificial intelligence (AI), and deception. Full article
(This article belongs to the Special Issue Blockchain-Enabled Technology for IoT Security, Privacy and Trust)
Show Figures

Figure 1

Back to TopTop