Sign in to use this feature.

Years

Between: -

Subjects

remove_circle_outline
remove_circle_outline
remove_circle_outline
remove_circle_outline
remove_circle_outline
remove_circle_outline
remove_circle_outline
remove_circle_outline
remove_circle_outline

Journals

remove_circle_outline
remove_circle_outline
remove_circle_outline
remove_circle_outline
remove_circle_outline
remove_circle_outline
remove_circle_outline
remove_circle_outline
remove_circle_outline
remove_circle_outline
remove_circle_outline
remove_circle_outline
remove_circle_outline
remove_circle_outline
remove_circle_outline
remove_circle_outline
remove_circle_outline
remove_circle_outline
remove_circle_outline

Article Types

Countries / Regions

remove_circle_outline
remove_circle_outline
remove_circle_outline
remove_circle_outline
remove_circle_outline
remove_circle_outline

Search Results (4,627)

Search Parameters:
Keywords = image-based reconstruction

Order results
Result details
Results per page
Select all
Export citation of selected articles as:
20 pages, 13035 KB  
Article
Development of Wideband Circular Microstrip Patch Antenna for Use in Microwave Imaging for Brain Tumor Detection
by Hüseyin Özmen, Mengwei Wu and Mariana Dalarsson
Sensors 2026, 26(7), 2062; https://doi.org/10.3390/s26072062 (registering DOI) - 25 Mar 2026
Abstract
This work presents the design of a compact, wideband circular microstrip patch antenna for microwave imaging-based brain tumor detection. The main contribution is the development of a compact antenna structure incorporating enhanced ground-plane slot modifications, which significantly improves impedance bandwidth while maintaining a [...] Read more.
This work presents the design of a compact, wideband circular microstrip patch antenna for microwave imaging-based brain tumor detection. The main contribution is the development of a compact antenna structure incorporating enhanced ground-plane slot modifications, which significantly improves impedance bandwidth while maintaining a small electrical size, making it highly suitable for medical imaging systems. In addition, the study integrates antenna design, safety evaluation, and microwave imaging analysis within a unified framework to assess tumor localization feasibility using a realistic head model in CST Microwave Studio. The proposed antenna is fabricated on an FR-4 substrate with dimensions of 37 × 54.5 × 1.6 mm3, corresponding to an electrical size of 0.176λ × 0.260λ × 0.0076λ at the lowest operating frequency of 1.43 GHz. Ground-plane slot enhancements are introduced to achieve wideband performance, resulting in an impedance bandwidth from 1.43 to 4 GHz and a fractional bandwidth of 94.7%. The antenna exhibits a maximum realized gain of 3.7 dB. To evaluate its suitability for medical applications, specific absorption rate (SAR) analysis is performed using a realistic human head model at multiple antenna positions and at 1.5, 2.1, 2.5, 3.3, and 3.9 GHz frequencies. The computed SAR values range from 0.109 to 1.56 W/kg averaged over 10 g of tissue, satisfying the IEEE C95.1 safety guideline limit of 2 W/kg. For tumor detection assessment, time-domain simulations are conducted in CST Microwave Studio using a monostatic radar configuration, where the antenna operates as both transmitter and receiver at twelve angular positions around the head with 30° increments. The collected scattered signals are processed using the Delay-and-Sum (DAS) beamforming algorithm to reconstruct dielectric contrast maps and localize the tumor. It should be noted that the tumor-imaging demonstrations presented in this work are based on numerical simulations, while experimental validation is limited to the characterization of the fabricated antenna. Nevertheless, the findings indicate that the proposed antenna is a promising candidate for noninvasive, low-cost microwave brain tumor imaging applications. Full article
Show Figures

Figure 1

23 pages, 131711 KB  
Article
Hyperspectral Image Reconstruction Based on State Space Models
by Xuguang Wang, Haozhe Zhou, Tongxin Wei and Yanchao Zhang
Remote Sens. 2026, 18(7), 990; https://doi.org/10.3390/rs18070990 - 25 Mar 2026
Abstract
To address the high hardware costs associated with hyperspectral imaging in precision agriculture, spectral reconstruction (SR) is emerging as a feasible solution for obtaining hyperspectral images. However, existing methods, mainly including CNN and Transformer, face a notable dilemma: convolutional neural networks (CNNs) are [...] Read more.
To address the high hardware costs associated with hyperspectral imaging in precision agriculture, spectral reconstruction (SR) is emerging as a feasible solution for obtaining hyperspectral images. However, existing methods, mainly including CNN and Transformer, face a notable dilemma: convolutional neural networks (CNNs) are limited by their local receptive fields, while Transformers encounter the problem of quadratic computational complexity. Effectively balancing computational efficiency with the capture of long-range spatial dependencies remains a significant challenge. To this end, this study proposes FGA-Mamba (Frequency-Gradient Attention Mamba), a novel reconstruction network based on the Mamba architecture. This network introduces a Frequency-Visual State Space (F-VSS) module, which combines the linear long-range modeling capability of state space models (SSMs) with a frequency-domain self-calibration mechanism to enhance global structural consistency by explicitly modulating frequency features. In addition, we designed an Enhanced Gradient Attention Module (EGAM). This module optimizes local feature representation through a gradient-aware mechanism, effectively compensating for the loss of spatial details. Experimental results on 3 datasets shows that FGA-Mamba have significant improvement in both quantitative and qualitative metrics. Moreover, the high consistency observed in vegetation index (VI) calculations confirms its potential for practical agricultural application. Full article
(This article belongs to the Special Issue AI-Driven Remote Sensing Image Restoration and Generation)
Show Figures

Figure 1

21 pages, 2657 KB  
Article
Research on Forest Fire Detection and Segmentation Based on MST++ Hyperspectral Reconstruction Technology
by Shuai Tang, Jie Xu and Li Zhang
Fire 2026, 9(4), 139; https://doi.org/10.3390/fire9040139 - 25 Mar 2026
Abstract
The increasing frequency of global forest fires necessitates rapid and accurate detection methods. This study proposes a forest fire detection and segmentation framework based on the MST++ hyperspectral reconstruction model to improve the accuracy and robustness of wildfire monitoring under complex environmental conditions. [...] Read more.
The increasing frequency of global forest fires necessitates rapid and accurate detection methods. This study proposes a forest fire detection and segmentation framework based on the MST++ hyperspectral reconstruction model to improve the accuracy and robustness of wildfire monitoring under complex environmental conditions. The proposed method first reconstructs hyperspectral images from RGB inputs using an MST++ model trained on the NTIRE 2022 RGB-to-hyperspectral dataset (950 paired samples), followed by fire and smoke segmentation based on spectrally sensitive bands. For segmentation experiments, 118 flame images from the BoWFire dataset and 100 manually annotated smoke images from public datasets (D-Fire and DFS) were used. Quantitative results demonstrate that the proposed MST++-based method significantly outperforms the conventional U-Net baseline. In flame segmentation, MST++ achieved an IoU of 76.90%, an F1 score of 86.81%, and a Kappa coefficient of 0.8603, compared to 44.42%, 58.15%, and 0.5625 for U-Net, respectively. For smoke segmentation, MST++ achieved an IoU of 91.76% and an F1 score of 95.66%, surpassing U-Net by 17.08% and 10.32%, respectively. In fire–smoke overlapping scenarios, MST++ maintained strong robustness, achieving an IoU of 89.64% for smoke detection. These results indicate that hyperspectral reconstruction enhances discrimination capability among flame, smoke, and complex backgrounds, particularly under low-light and overlapping conditions. The proposed framework provides a reliable and efficient solution for early forest fire detection and demonstrates the potential of hyperspectral reconstruction approaches in disaster monitoring applications. Full article
Show Figures

Figure 1

19 pages, 340 KB  
Review
Equity and Generalizability of Radiomics in Orbital Disease: Challenges for Ophthalmology, Otolaryngology, and Plastic Surgery
by Hana Abbas, Maria Abou Taka, Precious Ochuwa Imokhai, Satyam K. Singh, Christine Gharib, Amaany Mohamed Mehad and Amanda Brooks
Diagnostics 2026, 16(7), 968; https://doi.org/10.3390/diagnostics16070968 - 24 Mar 2026
Abstract
Background/Objectives: Radiomics-based machine learning models have demonstrated high accuracy in differentiating benign from malignant orbital masses, with early studies suggesting performance comparable to expert radiologists. However, translation into clinical practice remains limited due to dataset constraints, including retrospective study designs, single-center cohorts, [...] Read more.
Background/Objectives: Radiomics-based machine learning models have demonstrated high accuracy in differentiating benign from malignant orbital masses, with early studies suggesting performance comparable to expert radiologists. However, translation into clinical practice remains limited due to dataset constraints, including retrospective study designs, single-center cohorts, and underrepresentation of diverse patient populations. This review aims to evaluate the current evidence supporting radiomics in orbital disease while critically examining barriers to generalizability and equity across ophthalmology, otolaryngology, and plastic surgery. Methods: A narrative literature review was conducted to assess radiomics applications in orbital oncology and reconstruction. Studies evaluating diagnostic accuracy, margin assessment, postoperative surveillance, and surgical planning across ophthalmology, head and neck surgery, and reconstructive surgery were analyzed, with particular attention paid to dataset composition, validation strategies, and imaging standardization. Results: Radiomics models demonstrated high diagnostic performance in differentiating orbital tumors, optimizing surgical planning, and aiding postoperative monitoring. However, most studies relied on small, homogeneous datasets lacking racial, ethnic, and pediatric representation. External validation was uncommon, and imaging heterogeneity limited reproducibility. These deficiencies restrict the clinical translation of radiomics and risk exacerbating healthcare disparities, particularly among underrepresented populations. Conclusions: Radiomics holds promise as a precision medicine tool for orbital diagnosis, surgical navigation, and postoperative care. Nevertheless, its clinical adoption is constrained by dataset bias, lack of standardization, and limited prospective validation. Future progress requires multi-institutional, demographically diverse datasets and standardized imaging protocols to ensure equitable and generalizable implementation across specialties. Full article
(This article belongs to the Section Machine Learning and Artificial Intelligence in Diagnostics)
23 pages, 11145 KB  
Article
DiffLiGS: Diffusion-Guided LiDAR-Enhanced 3D Gaussian Splatting
by Shucheng Gong, Hong Xie, Jiang Song, Longze Zhu and Hongping Zhang
ISPRS Int. J. Geo-Inf. 2026, 15(4), 140; https://doi.org/10.3390/ijgi15040140 - 24 Mar 2026
Abstract
Multi-view 3D reconstruction is essential for smart city, supporting applications such as smart city planning and autonomous navigation. While traditional reconstruction pipelines and recent neural implicit methods, such as NeRF, achieve high visual fidelity, they often struggle with geometric accuracy and sparse-view scenarios. [...] Read more.
Multi-view 3D reconstruction is essential for smart city, supporting applications such as smart city planning and autonomous navigation. While traditional reconstruction pipelines and recent neural implicit methods, such as NeRF, achieve high visual fidelity, they often struggle with geometric accuracy and sparse-view scenarios. To address this challenge, we present DiffLiGS, a novel multi-modal 3D reconstruction framework that integrates LiDAR point clouds and LiDAR-guided diffusion-based priors into the 3D Gaussian Splatting (3DGS) pipeline, enabling high-fidelity and geometrically accurate models. Our method first densifies sparse LiDAR depths using a diffusion model and refines them through multi-view geometric constraints, producing dense LiDAR depth maps that provide robust supervision for 3DGS optimization. Leveraging these dense depth maps, we guide a Stable Video Diffusion model to synthesize novel view images, which are incorporated into training to enhance reconstruction completeness and visual realism. By jointly fusing rich appearance cues from multi-view images with precise LiDAR-derived geometry and diffusion priors, DiffLiGS achieves unified, geometry-aware 3D scene representations. Our extensive experiments demonstrate that our approach significantly improves both geometric accuracy and rendering quality compared to existing 3D reconstruction methods, enabling real-time, high-precision modeling of complex urban environments. Full article
Show Figures

Figure 1

15 pages, 1478 KB  
Article
The Predictive Value of Computed Tomography and HA3D Nephrometry Scores for Complications After Partial Nephrectomy: A Prospective Pilot Study
by Agostino Fraia, Sara Riolo, Francesco Di Bello, Salvatore Papi, Ivan Di Giulio, Giovanni Costa, Roberto Knez, Tommaso Silvestri, Bernardino de Concilio, Massimiliano Creta, Nicola Longo, Guglielmo Zeccolini and Antonio Celia
Cancers 2026, 18(7), 1047; https://doi.org/10.3390/cancers18071047 - 24 Mar 2026
Abstract
Background/Objectives: Accurate preoperative assessment of renal tumor complexity is essential for surgical planning and for predicting perioperative outcomes after partial nephrectomy (PN). RENAL and PADUA nephrometry scores, traditionally derived from two-dimensional (2D) computed tomography (CT) imaging, are widely used to quantify renal [...] Read more.
Background/Objectives: Accurate preoperative assessment of renal tumor complexity is essential for surgical planning and for predicting perioperative outcomes after partial nephrectomy (PN). RENAL and PADUA nephrometry scores, traditionally derived from two-dimensional (2D) computed tomography (CT) imaging, are widely used to quantify renal tumor complexity and surgical risk. However, the introduction of hyperaccuracy three-dimensional (HA3D) models has enabled enhanced anatomical visualization, potentially improving the assessment of surgical difficulty and the prediction of postoperative complications. The aim of this study was to compare conventional CT-based RENAL and PADUA scores with HA3D-derived nephrometry scores in predicting perioperative complications in patients undergoing robot-assisted or laparoscopic PN. Methods: A total of 17 consecutive patients with intermediate- or high-complexity category renal tumors (RENAL ≥ 7) and moderate- or high-risk category tumors (PADUA ≥ 8) were prospectively enrolled. Preoperative demographic and clinical parameters, as well as intraoperative and postoperative data, were prospectively collected. Tumor characteristics were evaluated using both CT-based RENAL and PADUA scoring systems and HA3D nephrometry reconstruction. Associations between nephrometry scores and perioperative outcomes were assessed using Spearman’s correlation. Predictive performance for postoperative complications and early chronic kidney disease (CKD) was evaluated using receiver operating characteristic (ROC) analysis. Results: Overall, 41% and 35% of cases were downgraded according to three-dimensional (3D) RENAL and PADUA complexity–risk category assessment, respectively. Operative time demonstrated a moderate correlation with 3D RENAL (ρ = 0.57) and 3D PADUA (ρ = 0.49) scores. ROC curve analysis demonstrated numerical differences in area under the curve (AUC) values between 3D- and 2D-based nephrometry scores in predicting overall complications (RENAL: 0.61 vs. 0.54; PADUA: 0.69 vs. 0.46). 3D RENAL score demonstrated numerically higher AUC values for early postoperative CKD compared with 2D RENAL score (AUC: 0.72 vs. 0.67). Conclusions: HA3D-based nephrometry scores were associated with enhanced anatomical visualization, frequent downgrading of tumor complexity–risk categories, and numerical differences in predictive performance for postoperative complications and early renal functional decline compared with conventional CT-based scores. These findings suggest a potential role for HA3D modeling in preoperative planning for PN. However, given the limited sample size, these observations should be interpreted as exploratory and hypothesis-generating, and warrant validation in larger multicenter cohorts. Full article
(This article belongs to the Special Issue Advances in Renal Cell Carcinoma)
Show Figures

Figure 1

21 pages, 3469 KB  
Article
Three-Dimensional Imaging Based on Refractive Camera Model and Error Calibration for Risley-Prism Imaging System
by Wenjie Luo, Shumin Yang, Duanhao Huang, Feng Huang and Pengfei Wang
Sensors 2026, 26(7), 2013; https://doi.org/10.3390/s26072013 - 24 Mar 2026
Abstract
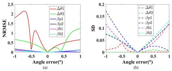
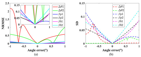
Three-dimensional (3D) reconstruction technology has found widespread applications across various domains, including intelligent driving and underwater exploration. But the existing imaging systems and methods still have deficiencies in terms of reconstruction accuracy, detection distance and system volume. Herein, this paper presents a three-dimensional [...] Read more.
Three-dimensional (3D) reconstruction technology has found widespread applications across various domains, including intelligent driving and underwater exploration. But the existing imaging systems and methods still have deficiencies in terms of reconstruction accuracy, detection distance and system volume. Herein, this paper presents a three-dimensional detection and reconstruction method based on a compact Risley-prism 3D imaging system that achieves multi-viewpoint imaging by rotating the Risley prism to adjust the camera’s optical axis. A refractive camera model that integrates the pinhole camera model with the vector form of Snell’s law is established to precisely describe beam trajectory. A forward projection method suitable for refractive interfaces is developed based on Fermat’s principle, and the influence of systematic errors on the reconstruction is analyzed in detail through simulation. Furthermore, a new 3D reconstruction method combining error calibration based on the optimization iteration is introduced to avoid the influence of error and improve reconstruction quality. Experimental results demonstrate that the proposed approach markedly enhances 3D reconstruction accuracy, reducing the Normalized Root Mean Square Error (NRMSE) from 0.9076 to 0.0207. Full article
(This article belongs to the Section Sensing and Imaging)
Show Figures

Figure 1

22 pages, 3135 KB  
Article
Computational Imaging Method for Thermal Infrared Hyperspectral Imaging Based on a Snapshot Divided-Aperture System
by Tianzhen Ma, Zhijing He, Bin Wu, Yutian Lei, Yijie Wang, Xinze Liu, Bingmei Guo, Jiawei Lu, Bo Cheng, Shikai Zan, Chunlai Li and Liyin Yuan
Sensors 2026, 26(6), 1982; https://doi.org/10.3390/s26061982 - 22 Mar 2026
Viewed by 182
Abstract
To address the technical challenge of simultaneously achieving snapshot imaging capability and high spectral resolution in thermal infrared spectral imaging, this paper proposes a computational imaging method based on a snapshot divided-aperture imaging system. In this method, a self-developed divided-aperture snapshot multispectral camera [...] Read more.
To address the technical challenge of simultaneously achieving snapshot imaging capability and high spectral resolution in thermal infrared spectral imaging, this paper proposes a computational imaging method based on a snapshot divided-aperture imaging system. In this method, a self-developed divided-aperture snapshot multispectral camera is utilized to simultaneously capture nine low-spectral-resolution images in a single exposure. The precise registration of the sub-channel images is accomplished via a star-point array calibration method. To construct the spectral reconstruction dataset, a Fourier-transform infrared hyperspectral camera (FTIR HCam) is employed to simultaneously acquire hyperspectral data from real-world scenes. Based on this, a neural network model is applied to reconstruct 127-channel hyperspectral information from the low-dimensional multispectral measurements. Experimental results demonstrate that the proposed method effectively achieves hyperspectral reconstruction while maintaining system compactness and snapshot imaging capability, thus providing a viable technical approach for hyperspectral sensing in dynamic thermal infrared scenarios. Full article
(This article belongs to the Section Sensing and Imaging)
Show Figures

Figure 1

27 pages, 4296 KB  
Article
Research on Lightweight Apple Detection and 3D Accurate Yield Estimation for Complex Orchard Environments
by Bangbang Chen, Xuzhe Sun, Xiangdong Liu, Baojian Ma and Feng Ding
Horticulturae 2026, 12(3), 393; https://doi.org/10.3390/horticulturae12030393 - 22 Mar 2026
Viewed by 65
Abstract
Severe foliage occlusion and dynamically changing lighting conditions in complex orchard environments pose significant challenges for visual perception systems in automated apple harvesting, including low detection accuracy, poor robustness, and insufficient real-time performance. To address these issues, this study proposes an improved lightweight [...] Read more.
Severe foliage occlusion and dynamically changing lighting conditions in complex orchard environments pose significant challenges for visual perception systems in automated apple harvesting, including low detection accuracy, poor robustness, and insufficient real-time performance. To address these issues, this study proposes an improved lightweight detection network based on YOLOv11, named YOLO-WBL, along with a precise yield estimation algorithm based on 3D point clouds, termed CLV. The YOLO-WBL network is optimized in three aspects: (1) A C3K2_WT module integrating wavelet transform is introduced into the backbone network to enhance multi-scale feature extraction capability; (2) A weighted bidirectional feature pyramid network (BiFPN) is adopted in the neck network to improve the efficiency of multi-scale feature fusion; (3) A lightweight shared convolution separated batch normalization detection head (Detect-SCGN) is designed to significantly reduce the parameter count while maintaining accuracy. Based on this detection model, the CLV algorithm deeply integrates depth camera point cloud information through 3D coordinate mapping, irregular point cloud reconstruction, and convex hull volume calculation to achieve accurate estimation of individual fruit volume and total yield. Experimental results demonstrate that: (1) The YOLO-WBL model achieves a precision of 93.8%, recall of 79.3%, and mean average precision (mAP@0.5) of 87.2% on the apple test set; (2) The model size is only 3.72 MB, a reduction of 28.87% compared to the baseline model; (3) When deployed on an NVIDIA Jetson Xavier NX edge device, its inference speed reaches 8.7 FPS, meeting real-time requirements; (4) In scenarios with an occlusion rate below 40%, the mean absolute percentage error (MAPE) of yield estimation can be controlled within 8%. Experimental validation was conducted using apple images selected from the dataset under varying lighting intensities and fruit occlusion conditions. The results demonstrate that the CLV algorithm significantly outperforms traditional average-weight-based estimation methods. This study provides an efficient, accurate, and deployable visual solution for intelligent apple harvesting and yield estimation in complex orchard environments, offering practical reference value for advancing smart orchard production. Full article
(This article belongs to the Special Issue AI for a Precision and Resilient Horticulture)
Show Figures

Figure 1

23 pages, 5417 KB  
Article
A Method for Underwater Image Enhancement Utilizing Polarization Inspired by the Mantis Shrimp’s Multi-Dimensional Visual Imaging Mechanism
by Qingyu Liu, Ruixin Li, Congcong Li, Canrong Chen, Yifan Huang, Huayu Yang and Fei Yuan
J. Mar. Sci. Eng. 2026, 14(6), 582; https://doi.org/10.3390/jmse14060582 - 21 Mar 2026
Viewed by 101
Abstract
Optical attenuation caused by absorption and scattering in turbid water significantly degrades underwater image quality, making reliable underwater imaging a challenging problem. Underwater polarization imaging has attracted increasing attention because of its ability to suppress scattered light and provide additional polarization cues. However, [...] Read more.
Optical attenuation caused by absorption and scattering in turbid water significantly degrades underwater image quality, making reliable underwater imaging a challenging problem. Underwater polarization imaging has attracted increasing attention because of its ability to suppress scattered light and provide additional polarization cues. However, existing polarization-based enhancement approaches often adapt conventional underwater image enhancement strategies, and the multi-dimensional characteristics of polarization information are not always fully utilized, which may limit detail restoration in complex underwater environments. To address this issue, this paper proposes a bio-inspired underwater polarization image enhancement framework motivated by the polarization vision mechanism of marine organisms. Specifically, a two-stage architecture consisting of a Polarization Adversarial Network (PAN) and a Polarization Enhancement Network (PEN) is designed. The PAN incorporates a Bionic Antagonistic Module (BAM) to exploit complementary information among polarization channels, while Salient Feature Extraction (SFE) is introduced to reduce redundant feature interference. The subsequent PEN integrates a frequency-aware Mamba-based structure to enhance feature representation and improve detail reconstruction. Experiments on simulated underwater polarization datasets indicate that the proposed framework can effectively suppress backscattering and improve structural detail visibility in challenging underwater scenes, demonstrating competitive performance compared with representative traditional and learning-based methods. Full article
Show Figures

Figure 1

29 pages, 9899 KB  
Article
SAR-Based Thermal Assessment of Dielectrophoretic Pulsed Electromagnetic Stimulation in Tibia Fractures with Metallic Implants
by Abdullah Deniz Ertugrul, Erman Kibritoglu, Sinem Anil and Heba Yuksel
Bioengineering 2026, 13(3), 364; https://doi.org/10.3390/bioengineering13030364 - 20 Mar 2026
Viewed by 331
Abstract
Electromagnetic field-based stimulation has emerged as a promising noninvasive approach for enhancing bone fracture healing. Beyond conventional pulsed electromagnetic field (PEMF) therapies employing spatially uniform fields, dielectrophoretic-force-based (DEPF) stimulation exploits electromagnetic field non-uniformities to induce localized interactions to enhance fracture healing. However, the [...] Read more.
Electromagnetic field-based stimulation has emerged as a promising noninvasive approach for enhancing bone fracture healing. Beyond conventional pulsed electromagnetic field (PEMF) therapies employing spatially uniform fields, dielectrophoretic-force-based (DEPF) stimulation exploits electromagnetic field non-uniformities to induce localized interactions to enhance fracture healing. However, the thermal behavior associated with DEPF-driven PEMF exposure in the presence of metallic orthopedic implants remains largely unexplored. In this study, the thermal response of tissue-like tibia phantoms with and without metallic implants is investigated using an integrated experimental and numerical framework. A custom-designed conical coil is employed to generate non-uniform DEPF excitation capable of affecting the fracture site. Surface temperature evolution is measured using infrared thermal imaging, while electromagnetic power absorption is quantified through specific absorption rate (SAR)-based thermal measurement coupled with a bio-heat formulation. Anatomically realistic tibia phantoms reconstructed from computed tomography data are fabricated via a 3D printer to represent clinically relevant fracture configurations. Experimental results show that the metallic implant exhibits a rapid temperature increase of approximately 0.4 °C within the first few minutes of exposure, followed by thermal stabilization, corresponding to an effective absorbed power of SAReff,implant2.2 W/kg inferred from the initial temperature slope. In contrast, the non-conductive resin phantom displays a temperature rise of only 0.05 °C over the same interval, yielding SAReff,resin0.8 W/kg. These findings demonstrate that implant-related eddy-current losses dominate localized heating under DEPF excitation, while tissue-like media remain weakly affected. This work provides SAR-based experimental evaluation of DEPF stimulation in implanted tibia fracture models, offering new insight into implant-induced electromagnetic heating and its implications for the safety and optimization of DEPF-based bone-healing therapies. Full article
(This article belongs to the Section Biomedical Engineering and Biomaterials)
Show Figures

Graphical abstract

27 pages, 2770 KB  
Article
Genetic and Epigenetic Algorithms Optimization of U-Net Architectures for Low-Dose Scintigraphy Image Reconstruction
by Christos Raptis, Nikolaos Bouzianis, Efstratios Karavasilis, Athanasios Zissimopoulos, Pipitsa Valsamaki, Athanasia Kotini, Georgios Anastassopoulos and Adam Adamopoulos
AI Med. 2026, 1(1), 8; https://doi.org/10.3390/aimed1010008 - 20 Mar 2026
Viewed by 114
Abstract
This study introduces a novel approach for optimizing models that reconstruct high-quality full-dose bone scintigraphy images from their 40% low-dose counterparts using optimized attention-based U-Net architectures. We utilized Genetic and Epigenetic Algorithms (epiGA) hyperparameter optimization of two distinct models: a standard Attention U-Net [...] Read more.
This study introduces a novel approach for optimizing models that reconstruct high-quality full-dose bone scintigraphy images from their 40% low-dose counterparts using optimized attention-based U-Net architectures. We utilized Genetic and Epigenetic Algorithms (epiGA) hyperparameter optimization of two distinct models: a standard Attention U-Net and an Attention U-Net modified with ResNet blocks. Models were trained using a hybrid Mean Squared Error and Structural Similarity (MSE/SSIM) loss function. Obtained results demonstrated superior performance, achieving an average SSIM of 0.9197 and an average Peak Signal-to-Noise ratio (PSNR) of 34.1516 dB, significantly surpassing the baseline low-dose image quality, by gaining ΔSSIM = 0.0333 and ΔPSNR = 3.0729 dB, due to hyperparameter optimization. Comparative benchmarks against Bayesian optimization revealed that epiGA offers superior search efficiency—exploring twice the architecture space in comparable wall-clock time—while consistently identifying more compact, hardware-efficient solutions. These results highlight the effectiveness of integrating epigenetic mechanisms for robust, scalable hyperparameter tuning in medical image reconstruction. Full article
Show Figures

Figure 1

30 pages, 1965 KB  
Article
Joint Denoising and Motion-Correction for Low-Dose CT Myocardial Perfusion Imaging Using Deep Learning
by Mahmud Hasan, Aaron So and Mahmoud R. El-Sakka
Electronics 2026, 15(6), 1286; https://doi.org/10.3390/electronics15061286 - 19 Mar 2026
Viewed by 190
Abstract
Computed Tomography (CT) is a widely used imaging modality that employs X-rays and computational reconstruction to visualize internal anatomy. Although higher radiation doses produce higher-quality images, they also increase long-term cancer risk, motivating the use of low-dose protocols. However, low-dose CT data inherently [...] Read more.
Computed Tomography (CT) is a widely used imaging modality that employs X-rays and computational reconstruction to visualize internal anatomy. Although higher radiation doses produce higher-quality images, they also increase long-term cancer risk, motivating the use of low-dose protocols. However, low-dose CT data inherently suffer from elevated Poisson–Gaussian noise, necessitating effective denoising strategies. In myocardial CT perfusion (CTP) imaging, this challenge is compounded by residual cardiac motion, which misaligns consecutive time points and impairs accurate estimation of perfusion maps for diagnosing coronary artery disease. Traditional approaches typically treat these two problems, noise and motion, separately, denoising the reconstructed images first or applying the registration first. Such serial pipelines often degrade clinically significant features; e.g., denoising may destroy structural details essential for registration, while motion correction can distort subtle intensity cues needed for noise modelling. To overcome these limitations, we propose a unified deep learning framework that performs noise suppression and motion correction jointly for low-dose myocardial CTP. The method integrates two complementary components through a parallel ensemble strategy: (i) a modified Fast and Flexible Denoising Network (FFDNet) that incorporates noise-level maps to mitigate blended noise effectively, and (ii) a CNN-based registration model, extended with Time Enhancement Curve (TEC) correction and 4D physiological consistency constraints to estimate temporally coherent and anatomically plausible motion fields. By combining their outputs without iterative dependencies, the proposed framework produces motion-corrected and denoised CTP sequences in a single unified processing step, thereby better preserving myocardial structure and perfusion dynamics than conventional serial pipelines. The model has been evaluated using both reference-based (MSE, PSNR, SSIM, PCC, Noise Variance, TRE) and no-reference (NIQE, FID, KID, AUC) image quality metrics, supplemented by expert human assessment. Results demonstrate that jointly learning noise characteristics and motion patterns enables restoration of low-dose CTP images while minimizing feature corruption, thereby advancing the clinical utility of low-dose myocardial CTP imaging. Full article
Show Figures

Figure 1

25 pages, 29036 KB  
Article
Task-Oriented Unsupervised SAR Image Enhancement with Semantic Preservation for Robust Target Recognition
by Chengyu Wan, Siqian Zhang, Lingjun Zhao, Tao Tang and Gangyao Kuang
Remote Sens. 2026, 18(6), 930; https://doi.org/10.3390/rs18060930 - 19 Mar 2026
Viewed by 119
Abstract
Synthetic aperture radar (SAR) images often suffer from coupled degradations such as speckle noise, background clutter, and system disturbances, which distort target structure and reduce feature discriminability for target recognition. Most existing enhancement methods typically optimize perceptual quality and may produce visually appealing [...] Read more.
Synthetic aperture radar (SAR) images often suffer from coupled degradations such as speckle noise, background clutter, and system disturbances, which distort target structure and reduce feature discriminability for target recognition. Most existing enhancement methods typically optimize perceptual quality and may produce visually appealing yet recognition-inconsistent results, especially when paired supervision is unavailable. To address this, an unsupervised SAR image quality enhancement framework is proposed in this study, formulating the degradation as a domain shift problem between low- and high-quality SAR data. A DualGAN-based architecture is adopted to learn bidirectional mappings with reconstruction regularization, enabling enhancement without paired samples. To explicitly preserve task-relevant features and enforce structural consistency, a segmentation-guided recognition-oriented constraint is introduced to embed task awareness into the enhancement process. Furthermore, to mitigate semantic drift during unpaired translation, a semantic preservation constraint based on contrastive learning is proposed to align the enhanced, original, and smoothed images, which can maintain semantic fidelity and reinforce structural cues. Experimental results demonstrate that the proposed framework effectively bridges the domain gap between low- and high-quality SAR images, producing semantically consistent enhancement and improving robustness in target recognition. Evaluations on the GMVT dataset show that the proposed method achieves an average recognition accuracy improvement of over 10% across six recognition networks and four imaging conditions. Full article
(This article belongs to the Special Issue SAR Images Processing and Analysis (3rd Edition))
Show Figures

Figure 1

26 pages, 12325 KB  
Article
Pairwise Comparison-Based Salient Object Ranking Using Multimodal Large Models
by Yifan Liu, Jia Song and Chenglizhao Chen
Sensors 2026, 26(6), 1913; https://doi.org/10.3390/s26061913 (registering DOI) - 18 Mar 2026
Viewed by 102
Abstract
Salient object ranking aims to assign a relative importance order to multiple objects in an image, aligning with human visual attention. However, existing methods struggle with ranking ambiguity in complex scenes, particularly when objects are numerous, occluded, or semantically similar, leading to decreased [...] Read more.
Salient object ranking aims to assign a relative importance order to multiple objects in an image, aligning with human visual attention. However, existing methods struggle with ranking ambiguity in complex scenes, particularly when objects are numerous, occluded, or semantically similar, leading to decreased accuracy for low-saliency objects. To address this, we propose PairwiseSOR-MLMs, a novel framework leveraging multimodal large models and pairwise comparison to achieve salient object ranking. The approach decomposes global ranking into a series of pairwise comparison tasks. It first employs object detection and instance segmentation to identify objects, uses image inpainting to reconstruct scenes by removing occlusions, and then prompts MLMs to perform pairwise comparisons based on visual saliency cues. Finally, another MLM inference aggregates these comparisons into a consistent global ranking. Experiments on ASSR and IRSR benchmarks show our method achieves state-of-the-art or competitive performance across metrics, demonstrating robustness in handling occlusion and semantic similarity. Its pairwise comparison paradigm can extend to other relative assessment tasks. Full article
(This article belongs to the Section Sensors and Robotics)
Show Figures

Figure 1

Back to TopTop