Sign in to use this feature.

Years

Between: -

Subjects

remove_circle_outline
remove_circle_outline
remove_circle_outline
remove_circle_outline
remove_circle_outline
remove_circle_outline
remove_circle_outline
remove_circle_outline
remove_circle_outline

Journals

remove_circle_outline
remove_circle_outline
remove_circle_outline
remove_circle_outline
remove_circle_outline
remove_circle_outline
remove_circle_outline
remove_circle_outline
remove_circle_outline
remove_circle_outline

Article Types

Countries / Regions

remove_circle_outline
remove_circle_outline
remove_circle_outline
remove_circle_outline
remove_circle_outline

Search Results (415)

Search Parameters:
Keywords = histogram selection

Order results
Result details
Results per page
Select all
Export citation of selected articles as:
29 pages, 11096 KB  
Article
A Visual Analytics Workflow for Dashboard-Based Classification Support Using Information Gain and Histogram Segmentation
by Marko Blažić, Višnja Ognjenović, Srđan Popov, Katarina Vignjević, Milan Marković, Milan Burić and Vasilije Odžić
Data 2026, 11(6), 128; https://doi.org/10.3390/data11060128 - 25 May 2026
Abstract
This paper presents a dashboard-oriented visual analytics workflow for classification-related exploratory analysis based on Information Gain (IG), histogram segmentation, and complementary localized interpretation through the Precise Piecewise Correlation (PPC) method. The workflow is designed to support the construction of a primary dashboard view [...] Read more.
This paper presents a dashboard-oriented visual analytics workflow for classification-related exploratory analysis based on Information Gain (IG), histogram segmentation, and complementary localized interpretation through the Precise Piecewise Correlation (PPC) method. The workflow is designed to support the construction of a primary dashboard view by prioritizing attributes with stronger relevance to the decision variable and inspecting their class-related behavior within segmented histogram intervals. Rather than introducing a new standalone feature-selection metric, this study formalizes how established analytical components can be integrated into a coherent dashboard framework for structured visual inspection. The proposed workflow was examined on three datasets from different application domains: the Iris dataset, an educational performance dataset, and an Oil and Gas dataset. Across these cases, IG-based prioritization identified attributes that provided clearer class-related structure in the primary dashboard view, while histogram segmentation supported interval-level interpretation of class concentration and overlap. A compact quantitative evaluation further showed that top-ranked IG subsets retained strong discriminative information under standard classification models, whereas lower-ranked subsets generally performed less favorably. Entropy-based segment analysis additionally indicated lower local class uncertainty for higher-ranked attributes. A small user study provided preliminary user-centered support for the interpretability and practical usefulness of the proposed dashboard structure. The results suggest that the proposed workflow can support dashboard-based inspection of class-related patterns across different contexts. Full article
(This article belongs to the Section Information Systems and Data Management)
Show Figures

Figure 1

27 pages, 2285 KB  
Article
Human Motion Segmentation via Spatiotemporally Dual-Constrained Density Estimation with Commodity Wi-Fi Device
by Xu Wang, Linghua Zhang and Feng Shu
Sensors 2026, 26(11), 3303; https://doi.org/10.3390/s26113303 - 22 May 2026
Viewed by 198
Abstract
In ubiquitous Wi-Fi sensing, human motion interval segmentation is crucial for applications ranging from basic intrusion detection to advanced activity understanding. Existing methods often treat the Channel State Information (CSI) primarily as time series, overlooking its rich information in the spatial and frequency [...] Read more.
In ubiquitous Wi-Fi sensing, human motion interval segmentation is crucial for applications ranging from basic intrusion detection to advanced activity understanding. Existing methods often treat the Channel State Information (CSI) primarily as time series, overlooking its rich information in the spatial and frequency domains. To address this, we propose a training-free motion segmentation method that exploits the spatiotemporal features of CSI. We first analyze the discriminative spatial distributions of the CSI Ratio on the complex plane and construct a spatiotemporally dual-constrained local density estimator to characterize motion-induced perturbations. To overcome subcarrier selection challenges, we introduce a packet-level asymmetric truncation-based fusion algorithm, which yields a feature representation with a pronounced bimodal histogram. This enables the automatic determination of the optimal segmentation threshold based on the distribution characteristics of the truncated density image. Experiments in typical indoor environments demonstrate that the proposed method achieves high accuracy in both motion event detection and interval localization. Full article
(This article belongs to the Section Sensor Networks)
36 pages, 3400 KB  
Article
Identifying Pre-Existing Diabetes at ICU Admission with Machine Learning on Public GOSSIS Data
by Lily Popova Zhuhadar
Diabetology 2026, 7(5), 100; https://doi.org/10.3390/diabetology7050100 - 21 May 2026
Viewed by 218
Abstract
Background: Pre-existing diabetes mellitus is prevalent among critically ill adults and can influence initial glycemic targets, therapeutic decisions, and early risk stratification in the intensive care unit (ICU). However, diabetes status may be distributed across heterogeneous electronic health record (EHR) sources and may [...] Read more.
Background: Pre-existing diabetes mellitus is prevalent among critically ill adults and can influence initial glycemic targets, therapeutic decisions, and early risk stratification in the intensive care unit (ICU). However, diabetes status may be distributed across heterogeneous electronic health record (EHR) sources and may be incomplete at the time of ICU admission, particularly for inter-facility transfers. Methods: Using the public WiDS Datathon 2021 tabular release derived from the Global Open-Source Severity of Illness Score (GOSSIS) initiative, we conducted a retrospective machine-learning benchmarking study for admission-time identification of documented diabetes status in ICU patients. Candidate predictors included demographics, admission characteristics, anthropometrics, day-1 physiologic and laboratory summaries, APACHE-related variables, comorbidity indicators, and site descriptors. We compared CatBoost, random forest, tuned XGBoost, tuned LightGBM, histogram-based gradient boosting, and a soft-voting ensemble combining XGBoost, LightGBM, and histogram-based gradient boosting. Because class imbalance was a central concern, the final workflow emphasized model-intrinsic class weighting and threshold-aware evaluation rather than synthetic oversampling. Results: In the primary leakage-mitigated random validation split, the voting ensemble achieved the highest overall balance, with AUROC 0.8539, precision 0.5671, recall 0.6690, and F1-score 0.6138. Tuned LightGBM was the most sensitivity-oriented individual model, achieving recall 0.7677 and AUROC 0.8537, although with lower precision and a less favorable Brier score. Ablation analyses clarified the source of this performance: removing leakage-prone and APACHE-related variables caused only modest decreases in discrimination, whereas the strict reduced model that also excluded glucose-like predictors produced a marked decline, with LightGBM AUROC falling to 0.7432 and the voting ensemble AUROC falling to 0.7448. These findings, together with SHAP analyses identifying day-1 glucose maximum, day-1 glucose minimum, BMI, age, hemoglobin, and related clinical variables as major contributors, indicate that glucose-related admission variables remained the dominant predictive signal. In grouped hospital validation, tuned LightGBM maintained recall of 0.7684 while AUROC decreased modestly to 0.8443, indicating preserved case detection under stricter site separation but reduced precision. Precision–recall analysis further showed that average precision decreased from 0.622 under random validation to 0.551 under grouped validation; at a high-sensitivity grouped-site operating point, a probability threshold of 0.4537 achieved recall of 0.8001 with precision of 0.4314. Calibration curves and Brier scores showed that predicted probabilities were imperfectly calibrated. Conclusions: Although the dominance of glucose-related predictors is clinically plausible for identifying documented diabetes status, early glycemic measurements in critically ill patients may also partly capture acute stress physiology, treatment-related effects, monitoring intensity, or other forms of acute dysglycemia rather than chronic diabetes status alone. Therefore, these findings support gradient-boosted and ensemble models as reproducible tools for ICU admission-time phenotyping of documented diabetes status, but the proposed system should be interpreted primarily as a screening-oriented phenotyping aid for chart review, cohort enrichment, or workflow support, not as a stand-alone diagnostic tool. Further external validation, recalibration, threshold selection matched to intended use, and clinical review are needed before deployment. Full article
Show Figures

Figure 1

23 pages, 4001 KB  
Article
Data-Driven Tailpipe Emission Prediction for Heavy-Duty Diesel Engines During B7–B20 Fuel Transition
by Anna Borucka, Mariusz Klimas, Jerzy Merkisz and Adam Sordyl
Energies 2026, 19(10), 2471; https://doi.org/10.3390/en19102471 - 21 May 2026
Viewed by 205
Abstract
The use of biodiesel blends in heavy-duty diesel engines changes the relationship between engine operating conditions, fuel properties, and exhaust emissions, which may limit the reliability of data-driven emission models trained under a single fuel condition. This study investigates the cross-fuel transferability of [...] Read more.
The use of biodiesel blends in heavy-duty diesel engines changes the relationship between engine operating conditions, fuel properties, and exhaust emissions, which may limit the reliability of data-driven emission models trained under a single fuel condition. This study investigates the cross-fuel transferability of virtual emission sensors for a heavy-duty diesel engine operating on B7 and B20 fuel blends. The analysis was carried out for three target signals: nitrogen oxides concentration, hydrocarbon concentration, and dry carbon dioxide concentration, using data from the World Harmonized Transient Cycle (WHTC) and World Harmonized Stationary Cycle (WHSC) tests. A structured modelling workflow was developed, including signal time alignment, construction of baseline, dynamic, and memory-based features, feature selection, and separate evaluation scenarios: within-domain, cross-cycle, and cross-fuel transfer. Three tree-based regression algorithms were compared: Random Forest (RF), Histogram-Based Gradient Boosting (HGB), and Extreme Gradient Boosting (XGBoost). XGBoost achieved the best predictive performance in the source domain and was selected as the reference model. The results showed that a change in cycle characteristics led to a significant decrease in predictive performance, whereas the transition from B7/WHTC to B20/WHTC resulted in a clearly smaller drop in the evaluation metrics. The relationship between engine operating signals and emission response remained partially transferable across fuels. The highest stability was observed for carbon dioxide, intermediate stability for nitrogen oxides, and the lowest stability for hydrocarbons. The findings support the development of robust data-driven virtual sensing methods for emission monitoring and calibration of heavy-duty diesel engines operating with biodiesel blends. Full article
(This article belongs to the Section I2: Energy and Combustion Science)
Show Figures

Figure 1

22 pages, 28095 KB  
Article
LLE-YOLO: Adaptive Low-Light-Enhanced and Degradation-Aware Multi-Scale Attention Network for Miner Detection in Underground Coal Mines
by Yanyan Chen, Xiangrui Meng, Chaoyu Yang and Yijuan Wang
Appl. Sci. 2026, 16(10), 4983; https://doi.org/10.3390/app16104983 - 16 May 2026
Viewed by 192
Abstract
Underground coal mine environments commonly suffer from insufficient illumination, high dust concentrations, and cluttered backgrounds, which substantially degrade the accuracy of conventional object detection algorithms. To address these issues, this paper proposes LLE-YOLO, a detection network built upon YOLOv11n. At the input stage, [...] Read more.
Underground coal mine environments commonly suffer from insufficient illumination, high dust concentrations, and cluttered backgrounds, which substantially degrade the accuracy of conventional object detection algorithms. To address these issues, this paper proposes LLE-YOLO, a detection network built upon YOLOv11n. At the input stage, an Adaptive Low-Light Enhancement Module (ALEM) is introduced, which integrates Retinex decomposition, Contrast-Limited Adaptive Histogram Equalization (CLAHE), and brightness-dependent Gamma mapping to dynamically select the optimal enhancement strategy according to the global luminance. Furthermore, a Degradation-Aware Efficient Multi-Scale Attention (DEMA) module is proposed, which incorporates Contrast-Aware Modulation (CAM), an asymmetric dilated convolution group, and a Degradation-aware Spatial Gate (DSG) into the EMA channel-grouping and cross-spatial learning framework, thereby strengthening multi-scale personnel detection while keeping the parameter count tractable. On the publicly available DsDPM66 dataset, which covers 66 coal mine sites and 105,096 annotated images, LLE-YOLO achieves an mAP@0.5 of 83.7%, representing gains of 8.1 percentage points over YOLOv11n and 5.2 percentage points over the GCB-YOLOv11 baseline, while the recall increases from 71.2% to 78.2%. Under extremely dark scenarios (<30 lux), the mAP@0.5 is further improved by 15.3 percentage points. Ablation studies and Grad-CAM visualizations confirm the contribution of each module, offering a practical engineering reference for intelligent underground monitoring systems. Full article
Show Figures

Figure 1

25 pages, 5598 KB  
Article
NanoArduSiPM: A Miniaturized Integrated Platform for Scalable Scintillation-Based Particle Detection
by Valerio Bocci, Giacomo Chiodi, Francesco Iacoangeli, Alberto Merola, Luigi Recchia, Roberto Ammendola, Davide Badoni, Marco Casolino, Laura Marcelli, Gianmaria Rebustini, Enzo Reali and Matteo Salvato
Sensors 2026, 26(10), 3135; https://doi.org/10.3390/s26103135 - 15 May 2026
Viewed by 255
Abstract
NanoArduSiPM represents a paradigm shift in the ArduSiPM (Architected Detection Unit for Silicon Photomultipliers) roadmap, evolving from a standalone instrument into a high-density modular building block (36 mm × 42 mm × 3 mm, 7 g). This revision does not merely pursue miniaturization; [...] Read more.
NanoArduSiPM represents a paradigm shift in the ArduSiPM (Architected Detection Unit for Silicon Photomultipliers) roadmap, evolving from a standalone instrument into a high-density modular building block (36 mm × 42 mm × 3 mm, 7 g). This revision does not merely pursue miniaturization; it re-engineers the signal-processing chain to maintain high performance within a scaled-down footprint, enabling the transition from single-unit detection to scalable, distributed multi-detector systems. NanoArduSiPM is based on a three-layer architecture comprising an external scintillator and Silicon Photomultiplier (SiPM) detection module, a dedicated high-speed discrete analog front-end, and a System-on-Chip (SoC) for embedded acquisition and processing. The physical implementation adopts high-integrity PCB routing and rigorous isolation techniques designed to suppress digital–analog coupling, a critical requirement in such a compact form factor. This deterministic layout strategy provides the architectural foundation for time-tagging capabilities, currently under quantitative characterization, by addressing the fundamental sources of signal interference at the hardware level. Beyond hardware integration, NanoArduSiPM introduces the capability for extended firmware functionality, including event tagging via external inputs and the implementation of coincidence and veto logic. This framework supports the acquisition of multiple correlated histograms and allows multiple units to be interconnected on a shared SPI bus. By shifting from standalone operation to a coordinated, hierarchical architecture, NanoArduSiPM enables distributed detection schemes where event selection and correlation are handled natively within the system, reducing the dependency on external data acquisition electronics. The compact modular architecture, together with the high-performance discrete analog front-end and embedded data handling, makes NanoArduSiPM suitable for applications where low mass and low power consumption are critical, targeting applications such as space-based payloads, laboratory instrumentation, remote sensing, and large-scale distributed multi-channel detection systems. While no radiation-tolerance qualification of the complete system has been performed in this work, the microcontroller family used in the design is also available in radiation-tolerant variants, which may support future implementations targeting more demanding radiation environments. Full article
(This article belongs to the Section Physical Sensors)
Show Figures

Figure 1

24 pages, 8093 KB  
Article
Comparative Analysis of Techniques for Texture Feature Extraction for Supervised Classification of Wood and Textile Waste
by Wilfrido Campos Francisco, Jonathan Villanueva Tavira, Jonathan Jesús Carranza Vega, Blanca Dina Valenzuela Robles, Erik Rosado Tamariz and Andrés Blanco Ortega
Recycling 2026, 11(5), 86; https://doi.org/10.3390/recycling11050086 - 5 May 2026
Viewed by 452
Abstract
Municipal Solid Waste (MSW) is a common problem in all cities worldwide; it is expected to increase to 3400 billion tons by 2050. In Mexico, an average of 108,146 tons of MSW are generated daily. Artificial Intelligence (AI) is a computer tool that [...] Read more.
Municipal Solid Waste (MSW) is a common problem in all cities worldwide; it is expected to increase to 3400 billion tons by 2050. In Mexico, an average of 108,146 tons of MSW are generated daily. Artificial Intelligence (AI) is a computer tool that allows the development of systems that facilitate the recycling process. However, most AI programs focus on classifying paper, plastic, glass and metal; therefore, wood and textile waste have received little attention. Using texture techniques such as Local Binary Pattern (LBP), Gray-Level Co-occurrence Matrix (GLCM), Histogram of Oriented Gradients (HOG), Canny/Sobel edge detection, Fractal Dimension (FD), feature values were extracted and integrated from 4396 images belonging to wood and textile categories. Using the Random Forest Importance method, the most significant features were selected to train three Machine Learning (ML) algorithms. Multilayer Perceptron (MLP) achieved the best performance in accuracy with 96.70%, followed by Random Forest (RF) at 95.45% and Support Vector Machine (SVM) with 95.22%. The implementation of these comparisons will serve as a basis for the development of new technological tools with low computational cost that carry out a proper waste separation. Full article
Show Figures

Graphical abstract

26 pages, 5171 KB  
Article
A Deep Forest and Histogram Feature Fusion Framework for sEMG-Based Hand Gesture Recognition with Enhanced Signal Representation
by Huibin Li, Xiaorong Guan, Sijing Wang and Zhihua Yuan
Electronics 2026, 15(9), 1935; https://doi.org/10.3390/electronics15091935 - 2 May 2026
Viewed by 334
Abstract
A novel hand gesture recognition framework based on surface electromyography (sEMG) is proposed for soldier operational scenarios under small-sample conditions. The framework integrates Empirical Mode Decomposition (EMD) for signal reconstruction, histogram-based features, and the Deep Forest (DF) classifier. Evaluations are conducted under two [...] Read more.
A novel hand gesture recognition framework based on surface electromyography (sEMG) is proposed for soldier operational scenarios under small-sample conditions. The framework integrates Empirical Mode Decomposition (EMD) for signal reconstruction, histogram-based features, and the Deep Forest (DF) classifier. Evaluations are conducted under two protocols: subject-wise evaluation and mixed-subject nested 8-fold cross-validation. Under subject-wise evaluation, the proposed EMD-HIST-DF method achieves 99.94% accuracy with 0.00027 ms per sample. Under mixed-subject nested 8-fold cross-validation, 98.41% accuracy is maintained with 0.00053 ms per sample. Ablation studies confirm the significant contribution of EMD-based signal enhancement in the mixed-subject setting (approximately 10.6 percentage points, p < 0.001). Parameter sensitivity analysis guides optimal parameter selection, and statistical tests confirm significant performance gains over baseline methods. Confusion matrices illustrate high per-class accuracy with minimal inter-class confusion. The framework shows potential as a promising solution for accurate, efficient, and sample-sparing gesture recognition in resource-constrained environments such as supernumerary robotic limb control. Full article
(This article belongs to the Section Circuit and Signal Processing)
Show Figures

Figure 1

11 pages, 3891 KB  
Proceeding Paper
Nose Detection Based on Quadratic Curve Fitting with Geometric–Photometric–Structural Scoring
by Yu-Chen Chen, Shao-Chi Kao and Jian-Jiun Ding
Eng. Proc. 2026, 134(1), 71; https://doi.org/10.3390/engproc2026134071 - 22 Apr 2026
Viewed by 209
Abstract
An edge-based and curve-based rule-driven nose detection framework is designed to improve the reliability of face detection. The designed framework combines quadratic curve fitting with a calibrated scoring mechanism that fuses geometric, photometric, and structural information into a unified model. These stages jointly [...] Read more.
An edge-based and curve-based rule-driven nose detection framework is designed to improve the reliability of face detection. The designed framework combines quadratic curve fitting with a calibrated scoring mechanism that fuses geometric, photometric, and structural information into a unified model. These stages jointly enforce symmetry consistency, reliable tip position, and clear wing boundaries. Candidate face regions are first refined by skin filtering and ellipse validation, from which a mid-lower facial ROI is framed for nasal candidate extraction. We further incorporate eye/mouth hints (EyeMap/MouthMap) to restrict the region of interest (ROI) to the region below the eyes, above the mouth, and between the two eyes. When a mouth is detected, this ROI refinement supersedes the chrominance-red (Cr) channel trimming; otherwise, we fall back to the Cr channel horizontal projection to detect dominant mouth peaks and trim the lower-lip band, thereby suppressing lip interference. A multi-threshold Canny procedure with histogram projection is employed to collect multiple nose rectangles by selecting various vertical and horizontal peaks under three adaptive threshold scales. Within each rectangle, edge contours are quadratically fitted and categorized into U-shape (nasal base), N-shape (nostril rim), and C-shape (nasal wings), enabling rule-based selection of the base, wings, and nostrils. The fused features are then processed by a calibrated geometric–photometric–structural scoring module that uses YCbCr contrasts and red/black penalties to suppress lip and eye confounders. Experiments with diverse faces and lighting conditions show accurate and stable nose localization, with notably reliable wing fitting and nasal base detection, improving the accuracy of face detection. Full article
Show Figures

Figure 1

26 pages, 17603 KB  
Article
SICABI: Symmetry-Informed Stochastic Modeling via Dominant-Period Stationarity and Recursive Adaptive Parametric Density Estimation
by Daniel Canton-Enriquez, Jorge-Luis Perez-Ramos, Selene Ramirez-Rosales, Luis-Antonio Diaz-Jimenez, Ana-Marcela Herrera-Navarro and Hugo Jimenez-Hernandez
Symmetry 2026, 18(4), 681; https://doi.org/10.3390/sym18040681 - 20 Apr 2026
Viewed by 330
Abstract
Wind dynamics in urban environments exhibit non-stationarity and marked spatial variability, complicating stochastic modeling when a single global distribution is assumed. This article discusses the estimation of wind density under quasi-stationary regimes at the local level using SICABI, a two-phase framework: (i) Stationary [...] Read more.
Wind dynamics in urban environments exhibit non-stationarity and marked spatial variability, complicating stochastic modeling when a single global distribution is assumed. This article discusses the estimation of wind density under quasi-stationary regimes at the local level using SICABI, a two-phase framework: (i) Stationary Region Identification (ISR) estimates, through spectral power analysis, a specific dominant period for each location and validates the induced subsampling using the Augmented Dickey–Fuller (ADF) test, and (ii) RAPID adjusts an adaptive parametric density by recursively updating the mixture parameters and creating new components when a normalized membership distance exceeds a threshold. The analysis uses wind speed records collected from eight stations in the Metropolitan Area of Queretaro, Mexico, during the period from 1 January 2023 to 31 December 2023, aggregated at a 10 min resolution, from which Xδ,s is constructed for each site. RAPID is compared against Gaussian Kernel Density Estimation (KDE) with Silverman bandwidth and EM-fitted Gaussian mixtures with BIC-based selection (Kmax=12). The resulting densities were compared with an empirical density estimated from a histogram over a fixed grid (m=50) using the MISE and RMSE metrics. The results reveal marked site-dependent differences in dominant periodicity and residual behavior, including asymmetry and heavy tails. ISR identified dominant periods ranging from 37 to 166 days, and RAPID adapted its complexity with Ks[5,10] without fixing the number of mixture components in advance. Quantitatively, RAPID achieved the lowest RMSE at 6/8 sites and the lowest MISE at 5/8 sites, while also exhibiting shorter execution times than KDE and MoG under the same input Xδ,s. The results support RAPID as a competitive adaptive method for site-specific density estimation in non-stationary urban climate signals. In this context, local regimes can be viewed as approximate invariants under time translation in the weak stochastic sense, while deviations from this assumption are reflected in increased distributional complexity across sites. Full article
Show Figures

Figure 1

19 pages, 1337 KB  
Article
Radiomics in the Evaluation of Cystic and Neoplastic Lytic Lesions of the Jaws
by Paola Di Giacomo, Pasquale Frisina, Alberto Fratocchi, Pierluigi Barra, Cira Rosaria Tiziana Di Gioia, Flavia Adotti, Giovanni Falisi, Fabrizio Spallaccia, Iole Vozza, Antonella Polimeni, Carlo Di Paolo and Daniela Messineo
Diagnostics 2026, 16(8), 1222; https://doi.org/10.3390/diagnostics16081222 - 20 Apr 2026
Viewed by 382
Abstract
Background/Objectives. Radiomics is an emerging imaging-based tool that enhances lesion characterization beyond conventional diagnostic approaches. Its potential in evaluating osteolytic lesions of the jaws lies in improving discrimination between benign and malignant entities. This study aimed at developing a predictive model to identify [...] Read more.
Background/Objectives. Radiomics is an emerging imaging-based tool that enhances lesion characterization beyond conventional diagnostic approaches. Its potential in evaluating osteolytic lesions of the jaws lies in improving discrimination between benign and malignant entities. This study aimed at developing a predictive model to identify radiomic features capable of distinguishing benign from malignant lesions. Methods. Subjects with preoperative CT or CBCT and histopathological confirmation were included. A pilot cohort was used for feature selection via LASSO regression, which ranked features by frequency and absolute coefficient. Malignancy was coded as class 1, benign lesions as class 0. Positive coefficients indicated association with malignancy, while negative coefficients with benign characteristics. The most stable features were initially trained on the pilot cohort and then validated on an independent test set through machine learning classifiers as LASSO, support vector machine, artificial neural network, random forest e XGboost. Results. The sample comprised 69 subjects (pilot cohort = 57, test cohort = 12). The predictors selected from LASSO regression were: DifferenceEntropy_GLCM (−0.768), CenterOfMassShift_MORPHOLOGICAL (−1.390), INTENSITY-HISTOGRAM_MaximumHistogramGradientGrayLevel (1.139), GLRLM_ShortRunLowGrayLevelEmphasis (−0.742), and Maximum3DDiameter_MORPHOLOGICAL (0.932). As for model performance on test, LASSO achieved the best performance (AUC 0.83), with perfect specificity and sensitivity of 0.71. SVM showed good AUC but poor sensitivity, while random forest and XGBoost performed poorly (AUC 0.57 and 0.37, respectively). Conclusions. The LASSO model proved to be a transparent and robust classifier, suitable for both feature selection and external validation. The selected features demonstrated strong discriminative ability, supporting the potential of radiomics in improving lesion assessment and guiding clinical decision-making. Full article
(This article belongs to the Section Medical Imaging and Theranostics)
Show Figures

Figure 1

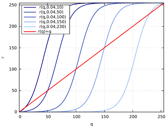
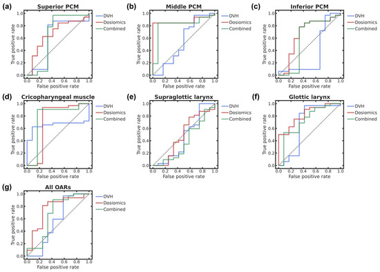
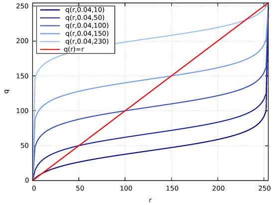
15 pages, 892 KB  
Article
Spatial Dosimetric-Based Prediction of Long-Term Urinary Toxicity After Permanent Prostate Brachytherapy
by Chaoqiong Ma, Ying Hou, Rajeev Badkul, Jufri Setianegara, Xinglei Shen, Jay Shiao, Harold Li and Ronald C. Chen
Cancers 2026, 18(8), 1287; https://doi.org/10.3390/cancers18081287 - 18 Apr 2026
Viewed by 387
Abstract
Background: To explore the correlation between spatial dose distribution and post-implant urinary toxicity, aiming to assist decision making in low-dose-rate (LDR) treatment planning, thereby improving patient outcomes. Methods: Eighty-five prostate LDR patients with >12-month follow-up were included. Patient-reported urinary toxicity was collected prospectively [...] Read more.
Background: To explore the correlation between spatial dose distribution and post-implant urinary toxicity, aiming to assist decision making in low-dose-rate (LDR) treatment planning, thereby improving patient outcomes. Methods: Eighty-five prostate LDR patients with >12-month follow-up were included. Patient-reported urinary toxicity was collected prospectively using the International Prostate Symptom Score (IPSS) questionnaire, from before implant (baseline) to post-implant follow-up. Patients were then grouped into those whose symptom scores returned to ≤2 points above baseline by 12 months (no long-term toxicity) vs. those who did not (long-term toxicity). A total of 106 features were extracted for each patient, including principal components of dose-volume histograms (DVHs) from multiple prostate subzones, the whole prostate and urethra, along with baseline IPSS, implantation characteristics, and additional DVH indicators for the prostate and the urethra. A machine learning (ML) model incorporating backward feature selection algorithm was developed to predict long-term toxicity status, using a shuffle-and-split validation strategy for model evaluation during feature selection. A univariate statistical analysis was conducted on the model’s selected features. Results: Out of 85 patients, 41 (48%) had long-term urinary toxicity. Seven features were selected during model training, including baseline IPSS and six dosimetric features from several prostate subzones primarily located in the posterior prostate. The model achieved a high mean area under the receiver operating characteristic curve (AUC) of 0.81, with a balanced sensitivity and specificity of 0.78 by adjusting the probability threshold. In univariate analysis, only baseline IPSS and one selected dose feature were significantly correlated with long-term toxicity with AUC < 0.71. Conclusions: The proposed ML model, integrating baseline IPSS and spatial dosimetric features, effectively predicts long-term urinary toxicity after prostate LDR. This approach offers a practical method for risk stratification, allowing clinicians to identify patients at elevated risk and prioritize them for targeted preventative measures and closer follow-up. Full article
(This article belongs to the Special Issue The Roles of Deep Learning in Cancer Radiotherapy)
Show Figures

Figure 1

20 pages, 1048 KB  
Article
Soiling Status Detection in Photovoltaic Energy Systems Using Machine Learning and Weather Data for Cleaning Alerts
by Bruno Knevitz Hammerschmitt, João Carlos Jachenski Junior, Leandro Mario, Edwin Augusto Tonolo, Patryk Henrique de Fonseca, Rafael Martini Silva and Natália Pereira Menezes
Energies 2026, 19(8), 1964; https://doi.org/10.3390/en19081964 - 18 Apr 2026
Viewed by 440
Abstract
Soiling in photovoltaic systems is a recurring problem that reduces energy generation and demands efficient operation and maintenance (O&M) strategies. In this context, this paper proposes a machine learning-based approach to identify dirt levels and generate cleaning alerts using operational and weather data. [...] Read more.
Soiling in photovoltaic systems is a recurring problem that reduces energy generation and demands efficient operation and maintenance (O&M) strategies. In this context, this paper proposes a machine learning-based approach to identify dirt levels and generate cleaning alerts using operational and weather data. Initially, the models were evaluated with a decision threshold ranging from 0.5 to 0.7, using only operational features. Subsequently, the inclusion of weather features was tested, which improved the models’ performance and enabled the selection of the best models for the exhaustive features search step. The models analyzed in this step were Extra Trees, Histogram-based Gradient Boosting, Extreme Gradient Boosting, and Random Forest. Exhaustive analysis further improved model performance, as indicated by global metrics and ROC curves. The Extra Trees model with a threshold of 0.5 showed the best performance and was selected as the final configuration, achieving an accuracy of 0.9884 and an AUC-ROC of 0.9957. Finally, the selected model was applied to determine daily soiling levels and trigger alerts based on temporal persistence, indicating its potential to support predictive O&M decisions and cleaning actions in PV systems. Full article
(This article belongs to the Section A2: Solar Energy and Photovoltaic Systems)
Show Figures

Figure 1

18 pages, 5406 KB  
Article
ADC Histogram Features of Breast Cancer Brain Metastases as Candidate Imaging Biomarkers of Primary Tumor ER, PR, Ki-67, and Luminal Status
by Diba Saygılı Öz, Burcu Savran, Nazan Çiledağ, Özkan Ünal and Berna Karabulut
Diagnostics 2026, 16(8), 1154; https://doi.org/10.3390/diagnostics16081154 - 13 Apr 2026
Viewed by 485
Abstract
Background: Breast cancer brain metastases (BCBMs) are clinically challenging, and treatment decisions are influenced by tumor biology. Because receptor profiles may differ between primary breast tumors and brain metastases and brain biopsy may be impractical, non-invasive imaging biomarkers may provide useful biologic [...] Read more.
Background: Breast cancer brain metastases (BCBMs) are clinically challenging, and treatment decisions are influenced by tumor biology. Because receptor profiles may differ between primary breast tumors and brain metastases and brain biopsy may be impractical, non-invasive imaging biomarkers may provide useful biologic correlates. We evaluated whether diffusion-weighted imaging (DWI)-derived apparent diffusion coefficient (ADC) histogram metrics from BCBM were associated with primary tumor estrogen receptor (ER), progesterone receptor (PR), and human epidermal growth factor receptor 2 (HER2) status; the Ki-67 proliferation index; and luminal status. Methods: This retrospective exploratory single-center study included 72 adults with BCBM who underwent standardized 1.5T brain magnetic resonance imaging. The largest lesion in each patient was segmented on ADC maps in FireVoxel. ADC histogram features, including percentiles, were extracted. Using primary tumor biomarker status as the reference, candidate metrics were screened by univariable logistic regression. Parsimonious multivariable models included age, log-transformed lesion volume, and a single selected ADC percentile scaled by ×10. Discriminatory performance was assessed using area under the receiver operating characteristic curve (AUC); thresholds were derived with the Youden index. No external validation was performed. Results: Low-percentile ADC metrics were associated with ER positivity, PR positivity, and luminal disease, whereas no meaningful ADC histogram discrimination was observed for HER2. In multivariable models, ADC10×10 predicted ER positivity (odds ratio [OR] 0.441; AUC 0.847) and PR positivity (OR 0.478; AUC 0.819). Ki-67 positivity was best predicted by ADC75×10 (OR 3.095; AUC 0.905), although this finding should be interpreted cautiously. Luminal status (non-luminal vs. luminal) was predicted by ADC10×10 (OR 2.251; AUC 0.832). Conclusions: ADC histogram analysis from DWI in BCBM showed exploratory associations with primary tumor hormone receptor status and luminal subtype, but not HER2. These findings support ADC histogram features as candidate imaging biomarkers, but the Ki-67 result and all model performance estimates require cautious interpretation and independent external validation in multicenter cohorts. Full article
(This article belongs to the Section Medical Imaging and Theranostics)
Show Figures

Graphical abstract

22 pages, 891 KB  
Article
Ensemble Learning with Systematic Hyperparameter Optimization for Urban-Bike-Sharing Demand Prediction
by Ivona Brajevic, Eva Tuba and Milan Tuba
Sustainability 2026, 18(8), 3766; https://doi.org/10.3390/su18083766 - 10 Apr 2026
Viewed by 506
Abstract
Bike sharing is an established component of urban mobility infrastructure, offering a low-emission alternative to motorized transport for short trips in cities worldwide. Accurate demand forecasting is essential for efficient system operation: it enables better bike redistribution, reduces user wait times, and lowers [...] Read more.
Bike sharing is an established component of urban mobility infrastructure, offering a low-emission alternative to motorized transport for short trips in cities worldwide. Accurate demand forecasting is essential for efficient system operation: it enables better bike redistribution, reduces user wait times, and lowers the operational costs associated with rebalancing. This study evaluated multiple ensemble strategies for hourly bike-sharing demand prediction, comparing bagging methods (Random Forest, Extra Trees), boosting methods (AdaBoost, Gradient Boosting Regressor, Histogram-based Gradient Boosting Regressor), and a Voting ensemble, while systematically investigating the impact of hyperparameter optimization. A repeated hold-out protocol was used, in which the dataset was randomly divided into 80% training and 20% test subsets across 10 random splits; 5-fold cross-validation was applied within each training fold exclusively for hyperparameter tuning, ensuring the test set remained unseen during model selection. Random Search and Bayesian Optimization were compared under identical budgets of 60 configurations per model. Results show that optimization substantially improves all models, with the most pronounced gains for AdaBoost (58% RMSE reduction) and Gradient Boosting Regressor (45% RMSE reduction). A Voting ensemble combining a Random Search-tuned Gradient Boosting Regressor and a Bayesian-optimized Histogram-based Gradient Boosting Regressor achieves the best overall performance (RMSE of 38.48, R2 of 0.955) with the lowest variance among all repeated splits. Feature importance analysis confirms that hour of day and temperature are the dominant demand drivers, consistent with the operational patterns of urban bike-sharing systems. The performance difference between Random Search and Bayesian Optimization is negligible for most models, suggesting that well-designed search spaces allow simpler strategies to achieve competitive results. A controlled comparison conducted under identical experimental conditions shows that the Voting ensemble is statistically equivalent to XGBoost and nominally better than LightGBM, while CatBoost achieves a statistically significant advantage, highlighting it as a strong individual alternative. Full article
(This article belongs to the Special Issue Artificial Intelligence and Sustainable Development)
Show Figures

Figure 1

Back to TopTop