Sign in to use this feature.

Years

Between: -

Subjects

remove_circle_outline
remove_circle_outline
remove_circle_outline
remove_circle_outline
remove_circle_outline

Journals

Article Types

Countries / Regions

Search Results (10)

Search Parameters:
Keywords = groove gap waveguide

Order results
Result details
Results per page
Select all
Export citation of selected articles as:
9 pages, 2050 KB  
Article
A Fixed-Frequency Beam-Scanning Leaky-Wave Antenna with Circular Polarization for mmWave Application
by Xingying Huo, Yuchen Ma, Jiayi Liu and Qinghuai Zhou
Photonics 2025, 12(3), 274; https://doi.org/10.3390/photonics12030274 - 17 Mar 2025
Viewed by 959
Abstract
A period-reconfigurable leaky-wave antenna (LWA) with circular polarization (CP) and fixed-frequency beam scanning (FFBS) is developed in this article. Operating in the Ka-band, this antenna consists of a low-loss groove gap waveguide (GGW) as the slow-wave transmission structure, a circular split-ring patch [...] Read more.
A period-reconfigurable leaky-wave antenna (LWA) with circular polarization (CP) and fixed-frequency beam scanning (FFBS) is developed in this article. Operating in the Ka-band, this antenna consists of a low-loss groove gap waveguide (GGW) as the slow-wave transmission structure, a circular split-ring patch array on the top layer for radiation, and a slotted ground between them for energy coupling. Each slot is independently and electrically controlled by a pair of PIN diodes under the coupling slot. Thus, the period length of the patches can be manipulated and an LWA with CP and FFBS is achieved with −1th spatial harmonics radiated. The simulation results show that the bean-scanning range from 61° to 63° can be realized during the observation frequency band, with good circular polarization and a peak gain of 17.1 dBi, which is verified by the measurement. Full article
Show Figures

Figure 1

8 pages, 17999 KB  
Article
4 × 4 Wideband Slot Antenna Array Fed by TE440 Mode Based on Groove Gap Waveguide
by Yuanjun Shen, Tianling Zhang, Liangqin Luo, Honghuan Zhu and Lei Chen
Electronics 2025, 14(4), 813; https://doi.org/10.3390/electronics14040813 - 19 Feb 2025
Cited by 1 | Viewed by 825
Abstract
A 4 × 4 wideband millimeter-wave (mmWave) slot array antenna excited by the TE440 mode based on the groove gap waveguide is presented in this paper. A vertical waveguide located in the center of the cavity and two ridges are used to [...] Read more.
A 4 × 4 wideband millimeter-wave (mmWave) slot array antenna excited by the TE440 mode based on the groove gap waveguide is presented in this paper. A vertical waveguide located in the center of the cavity and two ridges are used to excite the TE440 mode. In addition, a pair of corrugations acting as the soft surface are added on the top of the array antenna to improve the gain. A 4 × 4 prototype is fabricated and measured. The measured and simulated results are in great agreement. The measured results show that the proposed array antenna achieved an impedance bandwidth (|S11| < −10 dB) of 26.7% from 26.14 to 34.2 GHz, and the maximum gain is 17.7 dBi. The proposed array antenna avoids the complicated feeding network, allowing us to reduce the manufacturing cost. Full article
(This article belongs to the Special Issue Antenna and Array Design for Future Sensing and Communication System)
Show Figures

Figure 1

13 pages, 3078 KB  
Article
Unit Cell Optimization of Groove Gap Waveguide for High Bandwidth Microwave Applications
by Ghiayas Tahir, Arshad Hassan, Shawkat Ali and Amine Bermak
Appl. Sci. 2024, 14(23), 10891; https://doi.org/10.3390/app142310891 - 25 Nov 2024
Cited by 1 | Viewed by 1582
Abstract
Recently, groove gap waveguides (GGWs) have shown significant potential in power handling and bandwidth enhancement compared to conventional waveguides. In this research work, we designed and developed an innovative mushroom-unit-cell-based groove gap waveguide (MGGW) that has shown improved bandwidth compared to conventional GGW [...] Read more.
Recently, groove gap waveguides (GGWs) have shown significant potential in power handling and bandwidth enhancement compared to conventional waveguides. In this research work, we designed and developed an innovative mushroom-unit-cell-based groove gap waveguide (MGGW) that has shown improved bandwidth compared to conventional GGW structures. The dispersion characteristics of the MGGW were analyzed through the eigenmode solver feature of Microwave Studio CST, which showed that the bandwidth was improved by 8% compared to conventional unit cells in the microwave spectrum. To validate our proposed method for the physical dimensions of unit cell structures, we developed an MGGW structure for the S band, which shows similar trends aligning with the simulation results. The measurement results are promising as a reflection coefficient of less than −20 dB was achieved over the entire band for the WR284 Electronic Industries Alliance (EIA) standard waveguide adapter. The proposed MGGW structure with improved bandwidth will open new doors for researchers to develop ultra-wide bandwidth microwave applications, i.e., filters, transmission lines, resonators, attenuators, etc. Full article
(This article belongs to the Section Electrical, Electronics and Communications Engineering)
Show Figures

Figure 1

17 pages, 8290 KB  
Article
Compact Wideband Groove Gap Waveguide Bandpass Filters Manufactured with 3D Printing and CNC Milling Techniques
by Clara Máximo-Gutierrez, Juan Hinojosa, José Abad-López, Antonio Urbina-Yeregui and Alejandro Alvarez-Melcon
Sensors 2023, 23(13), 6234; https://doi.org/10.3390/s23136234 - 7 Jul 2023
Cited by 7 | Viewed by 2956
Abstract
This paper presents for the first time a compact wideband bandpass filter in groove gap waveguide (GGW) technology. The structure is obtained by including metallic pins along the central part of the GGW bottom plate according to an n-order Chebyshev stepped impedance [...] Read more.
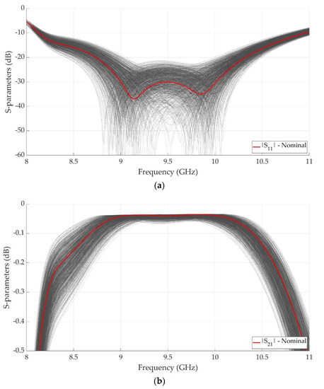
This paper presents for the first time a compact wideband bandpass filter in groove gap waveguide (GGW) technology. The structure is obtained by including metallic pins along the central part of the GGW bottom plate according to an n-order Chebyshev stepped impedance synthesis method. The bandpass response is achieved by combining the high-pass characteristic of the GGW and the low-pass behavior of the metallic pins, which act as impedance inverters. This simple structure together with the rigorous design technique allows for a reduction in the manufacturing complexity for the realization of high-performance filters. These capabilities are verified by designing a fifth-order GGW Chebyshev bandpass filter with a bandwidth BW = 3.7 GHz and return loss RL = 20 dB in the frequency range of the WR-75 standard, and by implementing it using computer numerical control (CNC) machining and three-dimensional (3D) printing techniques. Three prototypes have been manufactured: one using a computer numerical control (CNC) milling machine and two others by means of a stereolithography-based 3D printer and a photopolymer resin. One of the two resin-based prototypes has been metallized from a silver vacuum thermal evaporation deposition technique, while for the other a spray coating system has been used. The three prototypes have shown a good agreement between the measured and simulated S-parameters, with insertion losses better than IL = 1.2 dB. Reduced size and high-performance frequency responses with respect to other GGW bandpass filters were obtained. These wideband GGW filter prototypes could have a great potential for future emerging satellite communications systems. Full article
(This article belongs to the Collection RF and Microwave Communications)
Show Figures

Figure 1

16 pages, 7181 KB  
Article
An H-Plane Groove Gap Waveguide Magic-T for X-Band Applications
by Riccardo Rossi and Roberto Vincenti Gatti
Electronics 2022, 11(24), 4075; https://doi.org/10.3390/electronics11244075 - 8 Dec 2022
Cited by 1 | Viewed by 2823
Abstract
An X-band H-plane groove gap waveguide magic-T is presented as a combination of an H-plane and an E-plane T-junction. Two architectures can be derived by orientating the sum and difference ports to the same or opposite directions, respectively. Slot coupling allows the reduction [...] Read more.
An X-band H-plane groove gap waveguide magic-T is presented as a combination of an H-plane and an E-plane T-junction. Two architectures can be derived by orientating the sum and difference ports to the same or opposite directions, respectively. Slot coupling allows the reduction of the device dimensions along the E-plane, and such a low profile can be attractive in all groove gap waveguide applications where compactness is required. A proof-of-concept prototype is fabricated with standard low-cost CNC milling machine manufacturing techniques. Good agreement between simulations and measurements is observed. Full article
(This article belongs to the Special Issue Advanced RF, Microwave, and Millimeter-Wave Circuits and Systems)
Show Figures

Figure 1

10 pages, 2338 KB  
Article
X-Band In-Line Coaxial-to-Groove Gap Waveguide Transition
by Riccardo Rossi and Roberto Vincenti Gatti
Electronics 2022, 11(15), 2361; https://doi.org/10.3390/electronics11152361 - 28 Jul 2022
Cited by 2 | Viewed by 2599
Abstract
A coaxial-to-groove gap waveguide transition is proposed for the first time, addressing the lack of similar designs in the state-of-the-art literature. An in-line configuration is adopted in case of stringent space requirements in groove gap waveguide systems. This device has no dielectric and [...] Read more.
A coaxial-to-groove gap waveguide transition is proposed for the first time, addressing the lack of similar designs in the state-of-the-art literature. An in-line configuration is adopted in case of stringent space requirements in groove gap waveguide systems. This device has no dielectric and makes use of a waveguide multi-step ridged section connected to the inner conductor of a coaxial line. Three versions are presented, covering progressively wider bandwidths depending on the number of employed steps. The three configurations achieve 20-dB return loss fractional bandwidths of 2.63%, 16.79%, and 38.08%, and 30-dB return loss fractional bandwidths of 0.84%, 10.63%, and 33.49%, with a simulated insertion loss always better than 0.05 dB when a realistic metal conductivity of 2 × 10 7 S/m is assumed. A tolerance analysis on the most critical geometrical parameters is provided to assess the mechanical feasibility, preserving a remarkable performance at X band. Full article
(This article belongs to the Section Microwave and Wireless Communications)
Show Figures

Figure 1

18 pages, 2321 KB  
Article
An In-Line Coaxial-to-Waveguide Transition for Q-Band Single-Feed-Per-Beam Antenna Systems
by Marco Simone, Alessandro Fanti, Matteo Bruno Lodi, Tonino Pisanu and Giuseppe Mazzarella
Appl. Sci. 2021, 11(6), 2524; https://doi.org/10.3390/app11062524 - 11 Mar 2021
Cited by 13 | Viewed by 6953
Abstract
An in-line transition between a coaxial cable and rectangular waveguide operating in Q-band (33–50 GHz) is presented. The aim of the work is to minimize the modifications in the waveguide to the strictly necessary to overcome the manufacturing issues due to the high [...] Read more.
An in-line transition between a coaxial cable and rectangular waveguide operating in Q-band (33–50 GHz) is presented. The aim of the work is to minimize the modifications in the waveguide to the strictly necessary to overcome the manufacturing issues due to the high frequencies involved. In addition, the transition is compact and it does not increase the space occupation on the transverse section, this suggests its application in horn antennas clusters arrangement. The operating principle consists of both a modal conversion and an impedance matching between the devices. The modal conversion is realized in an intermediate region, where the coaxial penetrates in the waveguide: the device geometry is designed so that the electric field in the transition is a trade-off between the TEM mode of the coaxial and the TE10 of the guide. A shaped waveguide backshort and a reactive air gap in the coaxial cable co-participate to achieve the matching. An optimized Chebyshev stepped transformer completes the transition to fulfil the impedance mismatch with the full waveguide. The design issues and technological aspects are considered. The influences of the feeding pin misalignment, the presence of groove is included in the analysis and these practical aspects are discussed and numerically validated via the scattering parameters analysis of the proposed design. The return loss is higher than 25 dB over the whole Q-band. Full article
(This article belongs to the Section Electrical, Electronics and Communications Engineering)
Show Figures

Figure 1

11 pages, 4444 KB  
Article
Broadband Transition from Rectangular Waveguide to Groove Gap Waveguide for mm-Wave Contactless Connections
by Zihao Liu, Xiaohe Cheng, Yuan Yao, Tao Yu, Junsheng Yu and Xiaodong Chen
Electronics 2020, 9(11), 1820; https://doi.org/10.3390/electronics9111820 - 2 Nov 2020
Cited by 2 | Viewed by 3616
Abstract
In this paper, the authors present a broadband transition from the standard WR-10 rectangular waveguide (RW) to a groove gap waveguide (GGW) in the W-band. The transition structure is based on electromagnetic band gap (EBG) technology where two EBG units are used, which [...] Read more.
In this paper, the authors present a broadband transition from the standard WR-10 rectangular waveguide (RW) to a groove gap waveguide (GGW) in the W-band. The transition structure is based on electromagnetic band gap (EBG) technology where two EBG units are used, which are responsible for the transition and forming the transmission line. Metal pins in the E-plane together with the back surface of the transmission line create a forbidden band, which prevents power leakage between the connecting parts. Small air gaps will not harm the transition performance according to the simulation, which means it has a better tolerance of manufacturing and assembly errors and, thus, has advantages for mm-wave contactless connections. A back-to-back transition prototype was designed, fabricated and measured. The length of the GGW is 39.6 mm. The measured |S11| is better than −13 dB and the measured |S21| is better than −0.6 dB over 76.4–109.1 GHz, covering a bandwidth of 35.3%. Full article
(This article belongs to the Special Issue Ultra-Wideband Microwave/MM-Wave Components and Packaging)
Show Figures

Figure 1

15 pages, 7811 KB  
Letter
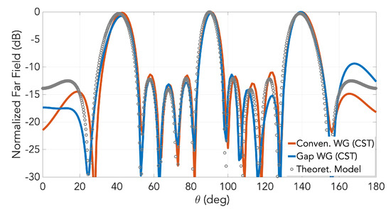
Array of Horns Fed by a Transverse Slotted Groove Gap Waveguide at 28 GHz
by Malcolm Ng Mou Kehn, Chih-Kai Hsieh and Eva Rajo-Iglesias
Sensors 2020, 20(18), 5311; https://doi.org/10.3390/s20185311 - 17 Sep 2020
Cited by 8 | Viewed by 3238
Abstract
An array of low profile horns fed by transverse slots on a groove gap waveguide (GGWG) is presented. The GGWG is implemented with glide symmetrical holes and the design frequency is 28 GHz. The low profile horns are integrated in the same waveguide [...] Read more.
An array of low profile horns fed by transverse slots on a groove gap waveguide (GGWG) is presented. The GGWG is implemented with glide symmetrical holes and the design frequency is 28 GHz. The low profile horns are integrated in the same waveguide wall as the slots. The designed antenna is a linear array of these horns but the solution can be easily extended to a planar array. Experimental results support this work. The designed antenna is a good candidate for applications related to 5G technologies where medium to high gains as well as high efficiencies are required and reasonable manufacturing costs are demanded. Full article
(This article belongs to the Section Physical Sensors)
Show Figures

Figure 1

13 pages, 1027 KB  
Article
A Gap Waveguide-Based Compact Rectangular Waveguide to a Packaged Microstrip Inline Transition
by José M. Pérez-Escudero, Alicia E. Torres-García, Ramón Gonzalo and Iñigo Ederra
Appl. Sci. 2020, 10(14), 4979; https://doi.org/10.3390/app10144979 - 20 Jul 2020
Cited by 9 | Viewed by 5811
Abstract
In this paper two different simple to design and easy to manufacturing transitions from a microstrip to rectangular waveguide based on ridge and groove gap waveguides are studied. The first one is based on a combination of a groove and ridge gap waveguide. [...] Read more.
In this paper two different simple to design and easy to manufacturing transitions from a microstrip to rectangular waveguide based on ridge and groove gap waveguides are studied. The first one is based on a combination of a groove and ridge gap waveguide. In this case, the microstrip substrate occupies the whole bottom metallic housing block, namely, the transition and the gap between the bed of nails and the lid; therefore, it does not require any substrate shaping. Nevertheless, the transition needs to replace groove waveguide by ridge gap waveguide sections to avoid higher-order mode excitation. In the second approach, based on only a groove gap waveguide, the substrate is shaped to be only in the microstrip section, that is, outside the bed of nails area. This leads to a simplification of the design procedure. Prototypes of both transitions have been characterized, showing good agreement with the simulations taking into account the manufacturing tolerances. Performance comparable to the state-of-the-art in this frequency band has been achieved. Full article
(This article belongs to the Special Issue Millimeter-wave and Terahertz Applications of Metamaterials)
Show Figures

Figure 1

Back to TopTop