Sign in to use this feature.

Years

Between: -

Subjects

remove_circle_outline
remove_circle_outline
remove_circle_outline
remove_circle_outline
remove_circle_outline
remove_circle_outline
remove_circle_outline
remove_circle_outline

Journals

Article Types

Countries / Regions

Search Results (89)

Search Parameters:
Keywords = green epoxidation

Order results
Result details
Results per page
Select all
Export citation of selected articles as:
25 pages, 4216 KB  
Article
Epoxy and Bio-Based Epoxy Glass Fiber Composites: Taguchi Design of Experiments and Future Applications
by Svetlana Risteska, Ivan Vasileski, Evgenija Gjorgjieska Angelovska and Aleksandar Pižov
J. Compos. Sci. 2025, 9(10), 513; https://doi.org/10.3390/jcs9100513 - 23 Sep 2025
Viewed by 685
Abstract
Epoxidized soybean oil (ESO) is the oxidation product of soybean oil with hydrogen peroxide and either acetic or formic acid obtained by converting the double bonds into epoxy groups, which is non-toxic and of higher chemical reactivity. Oxidized soybean oil (ESO) has gained [...] Read more.
Epoxidized soybean oil (ESO) is the oxidation product of soybean oil with hydrogen peroxide and either acetic or formic acid obtained by converting the double bonds into epoxy groups, which is non-toxic and of higher chemical reactivity. Oxidized soybean oil (ESO) has gained significant attention as a renewable and environmentally friendly alternative to petroleum-based epoxy resins. Derived from soybean oil through epoxidation of its unsaturated fatty acids, ESO offers a bio-based platform with inherent flexibility, low toxicity, and excellent chemical resistance. When used as a reactive diluent or primary component in epoxy formulations, ESO enhances the sustainability profile of coatings, adhesives, and composite materials. This study explores the mechanical properties of ESO-based epoxy systems, with particular attention to formulation strategies, crosslinking agents, and performance trade-offs compared to conventional epoxies. The incorporation of ESO not only reduces the reliance on fossil resources but also imparts tunable thermal and mechanical properties, making it suitable for a range of industrial and eco-friendly applications. The results underscore the potential of ESO as a viable component in next-generation green materials, contributing to circular economy and low-impact manufacturing. For the application of these materials in pultrusion and FW technologies, the Taguchi method is used to determine the most influential process parameters. Full article
(This article belongs to the Special Issue Sustainable Biocomposites, 3rd Edition)
Show Figures

Figure 1

15 pages, 2928 KB  
Article
Bio-Based Grease from Agricultural Waste: Modified Cellulose from Corn Stover for Sustainable Lubrication
by Yuhao Fang, Gaobo Lou, Qiang Wu, Xingguo Cheng and Yifan Chen
Materials 2025, 18(18), 4413; https://doi.org/10.3390/ma18184413 - 22 Sep 2025
Viewed by 470
Abstract
In this study, a green lubricating grease was prepared based on cellulose and epoxidized soybean oil (ESO). The cellulose extracted from the corn stover was functionalized using diphenylmethane diisocyanate (MDI), which enhances its compatibility and thickening ability in non-polar oil, and subsequently dispersed [...] Read more.
In this study, a green lubricating grease was prepared based on cellulose and epoxidized soybean oil (ESO). The cellulose extracted from the corn stover was functionalized using diphenylmethane diisocyanate (MDI), which enhances its compatibility and thickening ability in non-polar oil, and subsequently dispersed in ESO to form a stable gel-like bio-based grease. The functionalized surface of cellulose was characterized by FTIR, SEM, and XRD. And the rheological and tribological characteristics of the prepared bio-based grease were discussed. The superior lubricity and anti-wear properties of our bio-based grease are demonstrated by its lower friction and diminished wear relative to commercial lithium-based formulations. This work provides practical guidance for designing environmentally friendly grease for sustainable lubrication. Full article
(This article belongs to the Section Green Materials)
Show Figures

Figure 1

12 pages, 2733 KB  
Article
Preparation and Rheological Properties of Xanthoceras Sorbifolia Bunge Oil-Based Lubricating Oil Based on Ring-Opening Esterification Modification and Nano-C14MA/MMT Synergistic Strengthening
by Zexin Li, Kai Zhang, Haoyue Wang, Tao Hou, Zhuoyi Lv, Wencong Li, Zhenpeng Wang and Yinan Hao
Molecules 2025, 30(18), 3830; https://doi.org/10.3390/molecules30183830 - 21 Sep 2025
Viewed by 461
Abstract
Lubricating oil plays a critical role in protecting mechanical systems. Driven by sustainable development strategies, the development of high-performance, biocompatible green lubricants has become an urgent industry need. Biomass resources, characterized by wide distribution, renewability, and environmental friendliness, represent ideal raw materials for [...] Read more.
Lubricating oil plays a critical role in protecting mechanical systems. Driven by sustainable development strategies, the development of high-performance, biocompatible green lubricants has become an urgent industry need. Biomass resources, characterized by wide distribution, renewability, and environmental friendliness, represent ideal raw materials for replacing petrochemical-based lubricants. In this study, renewable Xanthoceras sorbifolia oil was utilized as the feedstock. Branched modification was achieved via ring-opening esterification using 2-ethylhexanol (2-EH) as the modifier and tetrafluoroboric acid (HBF4) as the catalyst. This epoxidation-branching modification process was synergistically combined with Nano-C14MA/MMT treatment. This approach significantly reduced high-temperature kinematic viscosity loss while maintaining excellent low-temperature flow properties, resulting in an Xanthoceras sorbifolia oil-based lubricant with outstanding viscosity–temperature performance and low-temperature fluidity. At a Nano-C14MA/MMT mass ratio of 0.3 wt% of the base oil, the lubricant demonstrated superior wide-temperature performance: KV40 = 424.1 mm2/s, KV100 = 50.8 mm2/s, VI = 180.8. The SP was reduced to −43 °C, exceeding the performance requirements of V-class environmentally friendly lubricants (e.g., synthetic ester oils). Furthermore, the coefficient of friction (COF) was 0.011 and the anti-wear scar diameter (AWSD) was 0.44 mm, indicating lubrication performance significantly superior to SN-class lubricants (specifications: COF < 0.12, AWSD < 0.50 mm). Full article
Show Figures

Figure 1

20 pages, 10391 KB  
Article
Sustainable Substitution of Petroleum-Based Processing Oils with Soybean-Derived Alternatives in Styrene–Butadiene Rubber: Effects on Processing Behavior and Mechanical Properties
by Yang-Wei Lin, Tsung-Yi Chen, Chen-Yu Chueh, Yi-Ting Chen, Tsunghsueh Wu and Hsi-Ming Hsieh
Polymers 2025, 17(15), 2129; https://doi.org/10.3390/polym17152129 - 1 Aug 2025
Viewed by 1327
Abstract
This study evaluates the replacement of petroleum-based naphthenic oil with four types of soybean-derived alternatives—virgin soybean oil (SBO), epoxidized SBO (ESBO), expired SBO, and recycled SBO—in styrene–butadiene rubber (SBR) composites. The materials were tested in both staining rubber (SR) and non-staining rubber (NSR) [...] Read more.
This study evaluates the replacement of petroleum-based naphthenic oil with four types of soybean-derived alternatives—virgin soybean oil (SBO), epoxidized SBO (ESBO), expired SBO, and recycled SBO—in styrene–butadiene rubber (SBR) composites. The materials were tested in both staining rubber (SR) and non-staining rubber (NSR) systems to assess processing characteristics, mechanical performance, and environmental durability. Among the alternatives, SBO demonstrated the best overall performance, improving processability and tensile strength by over 10%, while ESBO enhanced ozone resistance by 35% due to its epoxide functionality. Expired and recycled SBOs maintained essential mechanical properties within 90% of virgin SBO values. The full replacement of CH450 with SBO in tire prototypes resulted in burst strength exceeding 1000 kPa and stable appearance after 5000 km of road testing. To validate industrial relevance, the developed green tire was exhibited at the 2025 Taipei International Cycle Show, attracting interest from international buyers and stakeholders for its eco-friendly composition and carbon footprint reduction potential, thereby demonstrating both technical feasibility and commercial viability. Full article
(This article belongs to the Special Issue Functional Polymers and Their Composites for Sustainable Development)
Show Figures

Graphical abstract

25 pages, 6054 KB  
Review
Recent Advances in Biocatalytic Dearomative Spirocyclization Reactions
by Xiaorui Chen, Changtong Zhu, Luyun Ji, Changmei Liu, Yan Zhang, Yijian Rao and Zhenbo Yuan
Catalysts 2025, 15(7), 673; https://doi.org/10.3390/catal15070673 - 10 Jul 2025
Viewed by 1701
Abstract
Spirocyclic architectures, which feature two rings sharing a single atom, are common in natural products and exhibit beneficial biological and material properties. Due to the significance of these architectures, biocatalytic dearomative spirocyclization has recently emerged as a powerful approach for constructing three-dimensional spirocyclic [...] Read more.
Spirocyclic architectures, which feature two rings sharing a single atom, are common in natural products and exhibit beneficial biological and material properties. Due to the significance of these architectures, biocatalytic dearomative spirocyclization has recently emerged as a powerful approach for constructing three-dimensional spirocyclic frameworks under mild, sustainable conditions and with exquisite stereocontrol. This review surveys the latest advances in biocatalyzed spirocyclization of all-carbon arenes (phenols and benzenes), aza-aromatics (indoles and pyrroles), and oxa-aromatics (furans). We highlight cytochrome P450s, flavin-dependent monooxygenases, multicopper oxidases, and novel metalloenzyme platforms that effect regio- and stereoselective oxidative coupling, epoxidation/semi-pinacol rearrangement, and radical-mediated cyclization to produce diverse spirocycles. Mechanistic insights gleaned from structural, computational, and isotope-labeling studies are discussed where necessary to help the readers further understand the reported reactions. Collectively, these examples demonstrate the transformative potential of biocatalysis to streamline access to spirocyclic scaffolds that are challenging to prepare through traditional methods, underscoring biocatalysis as a transformative tool for synthesizing pharmaceutically relevant spiroscaffolds while adhering to green chemistry paradigms to ultimately contribute to a cleaner and more sustainable future. Full article
(This article belongs to the Section Biocatalysis)
Show Figures

Graphical abstract

24 pages, 3128 KB  
Review
Biochar-Based Materials for Catalytic CO2 Valorization
by Shahab Zomorodbakhsh, Lucas D. Dias, Mário J. F. Calvete, Andreia F. Peixoto, Rui M. B. Carrilho and Mariette M. Pereira
Catalysts 2025, 15(6), 568; https://doi.org/10.3390/catal15060568 - 8 Jun 2025
Viewed by 2502
Abstract
Biochar-based materials have gathered increasing attention as sustainable catalysts for carbon dioxide (CO2) valorization, offering a green alternative to traditional metal-based systems. Produced from renewable biomass through pyrolysis, biochar possesses key features—such as high surface area, rich porosity and tunable surface [...] Read more.
Biochar-based materials have gathered increasing attention as sustainable catalysts for carbon dioxide (CO2) valorization, offering a green alternative to traditional metal-based systems. Produced from renewable biomass through pyrolysis, biochar possesses key features—such as high surface area, rich porosity and tunable surface chemistry—that make it particularly suited for heterogeneous catalysis. This review highlights recent advances in the use of biochar-derived catalysts for key CO2 conversion reactions, focusing on cycloaddition to epoxides, dry reforming of methane and catalytic biomass upgrading. Emphasis is given to the role of biochar’s origin and preparation methods, which critically influence its structure, surface functionality and catalytic performance. Feedstocks rich in mineral content or oxygenated groups, for instance, can enhance CO2 activation and product selectivity. Furthermore, tailored modifications—such as doping with heteroatoms or supporting metal nanoparticles—further boost catalytic activity and stability by tuning acid–base behavior, while maintaining low toxicity and cost-effectiveness. Compared to conventional catalysts, biochar-based systems offer advantages in low cost, recyclability and resistance to deactivation. Challenges remain in standardizing production methods, controlling structural variability, minimizing metal leaching and scaling up. This review presents biochar as a versatile, renewable platform for CO2 utilization, highlighting the importance of rational design, feedstock selection and functionalization strategies for developing efficient, sustainable catalytic systems, in line with green chemistry and circular economy principles. Full article
(This article belongs to the Special Issue Carbon-Based Catalysts to Address Environmental Challenges)
Show Figures

Graphical abstract

15 pages, 19552 KB  
Article
Facile Synthesis of Binuclear Imidazole-Based Poly(ionic liquid) via Monomer Self-Polymerization: Unlocking High-Efficiency CO2 Conversion to Cyclic Carbonate
by Ranran Li, Yuqiao Jiang, Linyan Cheng, Cheng Fang, Hongping Li, Jing Ding, Hui Wan and Guofeng Guan
Catalysts 2025, 15(5), 406; https://doi.org/10.3390/catal15050406 - 22 Apr 2025
Viewed by 1054
Abstract
Strategic utilization of carbon dioxide as both a carbon mitigation tool and a sustainable C1 feedstock represents a pivotal pathway toward green chemistry. Although poly(ionic liquid)s (PILs) exhibit promise in CO2 conversion, conventional divinylbenzene (DVB) cross-linked architectures are limited by reduced ionic [...] Read more.
Strategic utilization of carbon dioxide as both a carbon mitigation tool and a sustainable C1 feedstock represents a pivotal pathway toward green chemistry. Although poly(ionic liquid)s (PILs) exhibit promise in CO2 conversion, conventional divinylbenzene (DVB) cross-linked architectures are limited by reduced ionic density and limited accessibility of active sites. Herein, we reported a binuclear imidazolium-functionalized PIL catalyst (P-BVIMCl), synthesized through a simple self-polymerization process, derived from rationally designed ionic liquid monomers formed by quaternization of 1,4-bis(chloromethyl)benzene with N-vinylimidazole. The dual active sites in P-BVIMCl-quaternary ammonium cation (N+) and nucleophilic chloride anion (Cl) synergistically enhanced CO2 adsorption/activation and epoxide ring-opening. Under optimal catalyst preparation conditions (100 °C, 24 h, water/ethanol = 1:3 (v/v), 10 wt% AIBN initiator) and reaction conditions (100 °C, 2.0 MPa CO2, 10 mmol epichlorohydrin, 6.7 wt% catalyst loading, 3.0 h), P-BVIMCl catalyzed the synthesis of glycerol carbonate (GLC) with a yield of up to 93.4% and selectivity of 99.6%, maintaining activity close to 90% after five cycles. Systematic characterization and density functional theory (DFT) calculations confirmed the synergistic activation mechanism. This work established a paradigm for constructing high-ionic-density catalysts through molecular engineering, advancing the development of high-performance PILs for industrial CO2 valorization. Full article
(This article belongs to the Special Issue Ionic Liquids and Deep Eutectic Solvents in Catalysis)
Show Figures

Graphical abstract

15 pages, 6621 KB  
Article
Hydrophobic GeO2 Aerogels by an Epoxide-Induced Process
by Olga M. Gajtko, Svetlana V. Golodukhina, Sergey Yu. Kottsov, Elena N. Subcheva, Vladimir V. Volkov, Gennady P. Kopitsa, Alexandra G. Son and Varvara O. Veselova
Gels 2025, 11(4), 225; https://doi.org/10.3390/gels11040225 - 22 Mar 2025
Cited by 1 | Viewed by 973
Abstract
This article reports a new straightforward method for producing hydrophobic GeO2 aerogels in a one-pot synthesis. For the first time, the epoxide-induced sol–gel process was combined with the co-precursor method to create hydrophobic aerogels. The application of a complex of analytical methods [...] Read more.
This article reports a new straightforward method for producing hydrophobic GeO2 aerogels in a one-pot synthesis. For the first time, the epoxide-induced sol–gel process was combined with the co-precursor method to create hydrophobic aerogels. The application of a complex of analytical methods like SEM, TEM, low-temperature nitrogen adsorption–desorption, SAXS and contact angle measurements enabled us to determine that varying the GeCl4:(C2H5)2GeCl2 ratio allows for targeted adjustments in the morphology, porous structure, and surface properties of aerogels. As the proportion of (C2H5)2GeCl2 grows, the surface area increases from 45 to 123 m2∙g−1 and the contact angle changes from 22.1 to 140.1°. Luminescent properties of the hydrophobic GeO2 aerogels are reported for the first time, and it is established that the ratio of green and blue bands in the luminescence spectra when excited under 390 and 235 nm varies depending on the GeCl4:(C2H5)2GeCl2 ratio used for the aerogel preparation. Full article
(This article belongs to the Special Issue Synthesis and Application of Aerogel)
Show Figures

Figure 1

44 pages, 115423 KB  
Review
Research Progress in Epoxidation of Light Small-Molecule Olefins
by Guanghui Zhao, Tianfu Yang, Jincheng Liu, Xianming Xu, Yulong Wang, Yongjun Zhang, Meng Gao, Chao Xiong and Hongbing Ji
Molecules 2025, 30(6), 1340; https://doi.org/10.3390/molecules30061340 - 17 Mar 2025
Cited by 3 | Viewed by 2150
Abstract
Light olefins, as important bulk raw materials in the petrochemical industry, play an irreplaceable role in the development of the manufacturing industry and the economy. The epoxides of light olefins are important intermediates for the synthesis of polymers, drugs, and fine chemicals, and [...] Read more.
Light olefins, as important bulk raw materials in the petrochemical industry, play an irreplaceable role in the development of the manufacturing industry and the economy. The epoxides of light olefins are important intermediates for the synthesis of polymers, drugs, and fine chemicals, and their green, efficient, and safe synthesis has attracted much attention. This review focuses on the research progress of light olefin epoxidation and elucidates traditional epoxidation methods, such as the chlorohydrin method. Although these processes have mature processes, they have drawbacks, including equipment corrosion, environmental pollution, poor safety, and high waste emissions. Special emphasis is placed on catalytic epoxidation systems using oxygen or organic peroxides as oxygen sources. For homogeneous catalytic systems, certain metal complexes exhibit high activity and selectivity yet are difficult to separate and recycle. Moreover, heterogeneous catalytic systems have become a research hotspot due to their advantages of easy separation and reusability, with supported metal catalysts being a prime example. Meanwhile, the effects of reaction temperature, pressure, solvent, etc., on epoxidation are explored. The specific reaction mechanisms are also studied and analyzed. Current research challenges, including enhancing catalyst stability and reducing costs, are summarized. In the future, developing highly efficient, green, and economically viable epoxidation technologies for large-scale industrial applications represents an important research direction in this field. Full article
Show Figures

Figure 1

19 pages, 6738 KB  
Article
Nano-Enabled Seed Treatment Using Bisepoxide-Polyoxypropylenetriamine Polymeric Gel with Different Embedded Zinc Sources
by Felipe B. Alves, Adela S. M. Goñi, Bruno A. Fico, Vanessa S. A. Silva, Renato P. Orenha, Renato L. T. Parreira, Heber E. Andrada, Gabriel Sgarbiero Montanha, Higor J. F. A. da Silva, Eduardo de Almeida, Hudson W. P. de Carvalho, Natália Chittolina, Clíssia B. Mastrangelo and Eduardo F. Molina
Gels 2025, 11(3), 167; https://doi.org/10.3390/gels11030167 - 26 Feb 2025
Viewed by 1095
Abstract
In the 21st century, sustainable agriculture is expected to become a major contributor to food security and improved nutrition. Amine–epoxide-based materials have great potential for use in agriculture due to their tunable physicochemical features, which are dependent on the concentration and composition of [...] Read more.
In the 21st century, sustainable agriculture is expected to become a major contributor to food security and improved nutrition. Amine–epoxide-based materials have great potential for use in agriculture due to their tunable physicochemical features, which are dependent on the concentration and composition of the monomers. In this work, catalyst-free green synthesis, using only water as a solvent, was performed to obtain a nanocarrier (TGel) capable of transporting nutrients after seed priming. The synthesis was based on the opening of the epoxy ring by nucleophile attack, using an amine-terminated polyether. Transmission electron microscopy (TEM) and dynamic light scattering (DLS) techniques showed the spherical morphology of the particles, which ranged in size from 80 nm (unloaded TGel) to 360 nm (zinc-loaded TGel), respectively. Theoretical bonding analysis revealed that Zn cation species from the ZnSO4 source interact with the polymer via σ-bonds, whereas EDTA forms hydrogen bonds with the polymer, thereby enhancing noncovalent interactions. Micro X-ray fluorescence (μ-XRF) and energy-dispersive X-ray fluorescence spectroscopy (EDXRF) provided details of the distributions of Zn in the seed compartments and shoots of cucumber plants after seed priming and plant growth, respectively. The use of the Zn-loaded TGels did not affect the physiology of the cucumber plants, as indicated by the photosynthetic efficacy, chlorophyll, and anthocyanin indices. Full article
Show Figures

Figure 1

28 pages, 10988 KB  
Article
Theoretical Modelling, Experimental Testing and Simulation Analysis of Thermal Properties for Green Building-Insulation Materials
by Figen Balo
Polymers 2025, 17(3), 340; https://doi.org/10.3390/polym17030340 - 26 Jan 2025
Viewed by 1315
Abstract
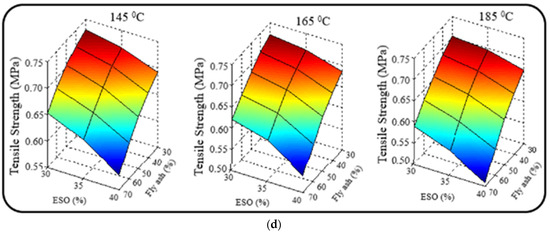
In this study, 45 alternative green materials for building walls were experimentally produced, utilizing renewable (epoxidized sesame oil), natural (clay), and waste (Seyitömer fly ash) resources. These materials were evaluated based on key technical properties such as mass, tensile-compressive strength, and thermal conductivity, [...] Read more.
In this study, 45 alternative green materials for building walls were experimentally produced, utilizing renewable (epoxidized sesame oil), natural (clay), and waste (Seyitömer fly ash) resources. These materials were evaluated based on key technical properties such as mass, tensile-compressive strength, and thermal conductivity, all of which are essential for construction and insulation applications. Subsequently, theoretical modeling was conducted for the material coded SE45, which demonstrated the lowest thermal conductivity. Through mathematical calculations, the theoretical thermal conductivity value was determined with a deviation of +5.88%. Furthermore, 48 alternative scenarios were designed for three different building envelope types (internally insulated, externally insulated, and sandwich), using commonly used building insulation materials alongside the sesame oil-based green material with the lowest thermal conductivity (SE45). Energy performance evaluations were conducted by analyzing temperature distributions along the walls of all designed scenarios using ANSYS simulations under the climatic conditions of Ankara, Turkey. Full article
(This article belongs to the Section Biobased and Biodegradable Polymers)
Show Figures

Figure 1

19 pages, 8934 KB  
Article
Chemical Recycling of Bio-Based Epoxy Matrices Based on Precursors Derived from Waste Flour: Recycled Polymers Characterization
by Lorena Saitta, Sandro Dattilo, Giuliana Rizzo, Claudio Tosto, Ignazio Blanco, Francesca Ferrari, Gloria Anna Carallo, Fabrizio Cafaro, Antonio Greco and Gianluca Cicala
Polymers 2025, 17(3), 335; https://doi.org/10.3390/polym17030335 - 26 Jan 2025
Cited by 2 | Viewed by 1506
Abstract
This study aims to investigate the chemical recycling of two different fully recyclable bio-based epoxy matrices based on epoxidized precursors derived from waste flour. The key for their recyclability relies on the use of a cleavable hardener. In fact, the latter contains a [...] Read more.
This study aims to investigate the chemical recycling of two different fully recyclable bio-based epoxy matrices based on epoxidized precursors derived from waste flour. The key for their recyclability relies on the use of a cleavable hardener. In fact, the latter contains a ketal group in its chemical structure, which is cleavable in mild acetic conditions, so allowing for the breakage of the cured network. The recyclability was successfully assessed for both the two investigated formulations, with a recycling process yield ranging from 80 up to 85%. The recycled polymers presented a Tg up to 69.0 ± 0.4 °C, determined by mean of DMA and DSC analysis. Next, the TGA revealed that the thermal decomposition of the specimens primarily occurred around 320 °C and attributed to the breaking of C–O and C–N bonds in cross-linked networks. In the end, the chemical characterizations were carried out by mean of Py-GC/MS, MALDI-TOF-MS and FT-IR ATR. In fact, these analyses allowed for investigating how the recycled polymer’s structure changed, starting from the initial epoxy systems. These insights on their chemical structure could further allow for identifying re-use strategies in accordance with a circular economy approach. Full article
Show Figures

Figure 1

13 pages, 1226 KB  
Article
Green Synthesis, Formulation and Test Field of Lymantria monacha L. (Lepidoptera: Lymantriidae) Sex Pheromone in East European Region
by Iuliana Vasian, Mihai-Leonard Duduman, Emese Gal, Adrian Pîrnău and Monica Gorgan
Int. J. Mol. Sci. 2025, 26(2), 568; https://doi.org/10.3390/ijms26020568 - 10 Jan 2025
Viewed by 1439
Abstract
The nun moth, Lymantria monacha L. (Linnaeus, 1758), is one of the most important defoliators of coniferous forests in Europe and Asia. In sexual communication, females produce three epoxides and an alkene: (−)-disparlure [(7S,8R)-cis-7,8-epoxy-2-methyloctadecane], (+)-monachalure [(7R [...] Read more.
The nun moth, Lymantria monacha L. (Linnaeus, 1758), is one of the most important defoliators of coniferous forests in Europe and Asia. In sexual communication, females produce three epoxides and an alkene: (−)-disparlure [(7S,8R)-cis-7,8-epoxy-2-methyloctadecane], (+)-monachalure [(7R,8S)-cis-7,8-epoxyoctadecane], (−)-monachalure [(7S,8R)-cis-7,8-epoxyoctadecane], and their corresponding olefins. This study aimed to develop a green synthesis pathway for all pheromonal components, emphasizing the use of common raw materials, a simplified three-step process, lower costs, and an environmentally friendly approach compared to existing methods. The proposed method introduces a novel synthetic route employing an innovative improvement alkylation step catalyzed by lithium iodide in diglyme. The synthesized compounds were characterized using GC-MS, 1H NMR, and 13C NMR spectroscopy. Six synthetic blends were formulated for field testing, with the goal of identifying the most attractive composition. Field trials demonstrated that a blend with a 10:10:1 ratio of (±)-Disparlure, (±)-Monachalure, and (Z)-2-Methyl-7-octadecene exhibited the highest attraction efficiency. Full article
Show Figures

Figure 1

13 pages, 2306 KB  
Article
From Fossil to Bio-Based AESO–TiO2 Microcomposite for Engineering Applications
by Cristian-Dragos Varganici, Liliana Rosu, Dan Rosu and Mihai Asandulesa
Polymers 2024, 16(23), 3363; https://doi.org/10.3390/polym16233363 - 29 Nov 2024
Cited by 1 | Viewed by 1020
Abstract
Environmental issues and the reduction of fossil fuel resources will lead to the partial or total substitution of petroleum-based materials with natural, raw, renewable ones. One expanding domain is the obtaining of engineering materials from vegetable oils for sustainable, eco-friendly polymers for different [...] Read more.
Environmental issues and the reduction of fossil fuel resources will lead to the partial or total substitution of petroleum-based materials with natural, raw, renewable ones. One expanding domain is the obtaining of engineering materials from vegetable oils for sustainable, eco-friendly polymers for different applications. Herein, the authors propose a simplified and green synthesis pathway for a thermally curable, acrylated and epoxidized soybean oil matrix formulation containing only epoxidized soybean oil, acrylic acid, a reactive diluent (5%) and just 0.15 mL of catalyst. The small amount of reactive diluent significantly reduced the initial system viscosity while eliminating the need for adding solvent, hardener, activator, etc. Both the thermally cured composite with a 2% TiO2 microparticle filler and its pristine matrix were comparably characterized in terms of structural, thermal, morphological, dielectric and wettability by Fourier transform infrared spectroscopy, differential scanning calorimetry, thermogravimetry, scanning electron microscopy, broadband dielectric spectrometry and contact angle measurements. The 2% filler in the composite generated superior thermal stability via lower mass loss (48.89% vs. 57.14%) and higher degradation temperatures (395 °C vs. 387 °C), increased the glass transition temperature from −20 °C to −10 °C, rendered the microcomposite hydrophobic by increasing the contact angle from 88° to 96° and enhanced dielectric properties compared to the pristine matrix. All investigations recommend the microcomposite for protective coatings, capacitors, sensors and electronic circuits. This study brings new contributions to green chemistry and sustainable materials. Full article
(This article belongs to the Special Issue Eco-Friendly Polymer-Based Materials: Design and Applications)
Show Figures

Graphical abstract

25 pages, 10520 KB  
Article
Waste-Cooking-Oil-Derived Polyols to Produce New Sustainable Rigid Polyurethane Foams
by Miriam Cappello, Sara Filippi, Damiano Rossi, Patrizia Cinelli, Irene Anguillesi, Caterina Camodeca, Elisabetta Orlandini, Giovanni Polacco and Maurizia Seggiani
Sustainability 2024, 16(21), 9456; https://doi.org/10.3390/su16219456 - 31 Oct 2024
Cited by 6 | Viewed by 5848
Abstract
Polyurethanes (PUs) are one of the most versatile polymeric materials, making them suitable for a wide range of applications. Currently, petroleum is still the main source of polyols and isocyanates, the two primary feedstocks used in the PU industry. However, due to future [...] Read more.
Polyurethanes (PUs) are one of the most versatile polymeric materials, making them suitable for a wide range of applications. Currently, petroleum is still the main source of polyols and isocyanates, the two primary feedstocks used in the PU industry. However, due to future petroleum price uncertainties and the need for eco-friendly alternatives, recent efforts have focused on replacing petrol-based polyols and isocyanates with counterparts derived from renewable resources. In this study, waste cooking oil was used as feedstock to obtain polyols (POs) for new sustainable polyurethane foams (PUFs). POs with various hydroxyl numbers were synthesized through epoxidation followed by oxirane ring opening with diethylene glycol. By adjusting reagent amounts (acetic acid and H2O2), epoxidized oils (EOs) with different epoxidation degrees (50–90%) and, consequently, POs with different OH numbers (200–300 mg KOH/g) were obtained. Sustainable PUFs with high bio-based content were produced by mixing the bio-based POs with a commercial partially bio-based aliphatic isocyanate and using water as the blowing agent in the presence of a gelling catalyst and additives. Various water (4, 8, 15 php) and gelling catalyst (0, 1, 2 php) amounts were tested to assess their effect on foam properties. PUFs were also prepared using EOs instead of POs to investigate the potential use of EOs directly in PUF production. Characterization included morphological, chemical, physical, thermal, and mechanical analyses. The rigid PUFs exhibited high density (150–300 kg/m³) and stability up to 200 °C. The combined use of bio-based polyols with partially bio-based isocyanate and water enabled PUFs with a bio-based content of up to 77 wt.%. EOs demonstrated potential in PUF production by bypassing the second synthesis step, enhancing sustainability, and significantly reducing energy and costs; however, PUF formulations with EOs require optimization due to lower epoxy ring reactivity. Full article
(This article belongs to the Special Issue Recycling Materials for the Circular Economy—2nd Edition)
Show Figures

Figure 1

Back to TopTop