Sign in to use this feature.

Years

Between: -

Subjects

remove_circle_outline
remove_circle_outline
remove_circle_outline

Journals

Article Types

Countries / Regions

Search Results (5)

Search Parameters:
Keywords = graphite bisulfate

Order results
Result details
Results per page
Select all
Export citation of selected articles as:
11 pages, 2246 KB  
Article
Monitoring Aging Effects in Graphite Bisulfates by Means of Raman Spectroscopy
by Carlo Camerlingo, Marcella Salvatore and Gianfranco Carotenuto
Coatings 2024, 14(1), 101; https://doi.org/10.3390/coatings14010101 - 12 Jan 2024
Cited by 3 | Viewed by 1830
Abstract
Graphite bisulfate (GBS) compounds consist of graphite layers intercalated by HSO4 ions and H2SO4 molecules. Owing to electrostatic interactions with the graphene plane, HSO4 ions cause point defects in the graphite’s crystalline structure, while H2 [...] Read more.
Graphite bisulfate (GBS) compounds consist of graphite layers intercalated by HSO4 ions and H2SO4 molecules. Owing to electrostatic interactions with the graphene plane, HSO4 ions cause point defects in the graphite’s crystalline structure, while H2SO4 molecules are free to move via diffusion in the spaces between the adjacent graphite sheets and segregate to form linear defects. In the present work, we report the results of our investigation using Raman spectroscopy on the temporal evolution of such defects on selected GBS samples over 84 months. Two characteristic lengths correlated with the average distance between defects have been estimated and their evolution with aging was investigated. The results show a decrease in the density of point-like defects after aging, regardless of the pristine structural configuration of the GBS samples, revealing a structural instability. This study can provide significant information for the technological development of industrial processes aimed to produce expanded graphite based on GBS precursors, where the aging of GBS is known to influence the efficiency and quality. Full article
Show Figures

Figure 1

11 pages, 1632 KB  
Article
Continuous Production of Functionalized Graphene Inks by Soft Solution Processing
by Kodepelly Sanjeeva Rao, Jaganathan Senthilnathan, Jyh-Ming Ting and Masahiro Yoshimura
Nanomaterials 2023, 13(14), 2043; https://doi.org/10.3390/nano13142043 - 11 Jul 2023
Cited by 1 | Viewed by 2004
Abstract
The continuous production of high-quality, few-layer graphene nanosheets (GNSs) functionalized with nitrogen-containing groups was achieved via a two-stage reaction method. The initial stage produces few-layer GNSs by utilizing our recently developed glycine-bisulfate ionic complex-assisted electrochemical exfoliation of graphite. The second stage, developed here, [...] Read more.
The continuous production of high-quality, few-layer graphene nanosheets (GNSs) functionalized with nitrogen-containing groups was achieved via a two-stage reaction method. The initial stage produces few-layer GNSs by utilizing our recently developed glycine-bisulfate ionic complex-assisted electrochemical exfoliation of graphite. The second stage, developed here, uses a radical initiator and nitrogen precursor (azobisisobutyronitrile) under microwave conditions in an aqueous solution for the efficient nitrogen functionalization of the initially formed GNSs. These nitrile radical reactions have great advantages in green chemistry and soft processing. Raman spectra confirm the insertion of nitrogen functional groups into nitrogen-functionalized graphene (N-FG), whose disorder is higher than that of GNSs. X-ray photoelectron spectra confirm the insertion of edge/surface nitrogen functional groups. The insertion of nitrogen functional groups is further confirmed by the enhanced dispersibility of N-FG in dimethyl formamide, ethylene glycol, acetonitrile, and water. Indeed, after the synthesis of N-FG in solution, it is possible to disperse N-FG in these liquid dispersants just by a simple washing–centrifugation separation–dispersion sequence. Therefore, without any drying, milling, and redispersion into liquid again, we can produce N-FG ink with only solution processing. Thus, the present work demonstrates the ‘continuous solution processing’ of N-FG inks without complicated post-processing conditions. Furthermore, the formation mechanism of N-FG is presented. Full article
(This article belongs to the Special Issue New Insights into Two-Dimensional (2D) Transition Metal Materials)
Show Figures

Figure 1

17 pages, 3989 KB  
Article
Wet Synthesis of Graphene-Polypyrrole Nanocomposites via Graphite Intercalation Compounds
by Gintarė Rimkutė, Gediminas Niaura, Rasa Pauliukaitė, Justina Gaidukevič and Jurgis Barkauskas
Crystals 2022, 12(12), 1793; https://doi.org/10.3390/cryst12121793 - 9 Dec 2022
Cited by 6 | Viewed by 2353
Abstract
Graphene-polypyrrole (GP) nanocomposites were synthesized by a wet-way protocol using a graphite bisulfate (GBS) precursor. Consequently, GBS, a type of graphite intercalation compound, was prepared in the presence of concentrated sulfuric acid in the presence of a potassium periodate oxidizer. Three different types [...] Read more.
Graphene-polypyrrole (GP) nanocomposites were synthesized by a wet-way protocol using a graphite bisulfate (GBS) precursor. Consequently, GBS, a type of graphite intercalation compound, was prepared in the presence of concentrated sulfuric acid in the presence of a potassium periodate oxidizer. Three different types of graphite precursor with particle sizes of <50 μm, ≥150, ≤830 μm, and ≤2000 μm were used for this purpose. It was found that in the Raman spectra of GBS samples, the characteristic D band, which is caused by defects in the graphene layer, disappears. Therefore, the proposed synthesis protocol of GBS could be considered as a prospective intermediate stage in the preparation of graphene with low defect concentration. In contrast to alkali metal intercalation, the intercalation process involving anions with a relatively complex structure (e.g., HSO4), which has been much less studied and requires further research. On the basis of the results obtained, structural models of graphite intercalation compounds as well as GP nanocomposites were discussed. The most relevant areas of application for GP nanocomposites, including energy storage and (bio)sensing, were considered. This work contributes to the development of cost-effective, scalable, and highly efficient intercalation methods, which still remain a significant challenge. Full article
Show Figures

Figure 1

16 pages, 4018 KB  
Article
Synthesis and Characterization of Graphite Intercalation Compounds with Sulfuric Acid
by Gintare Rimkute, Mantvydas Gudaitis, Jurgis Barkauskas, Aleksej Zarkov, Gediminas Niaura and Justina Gaidukevic
Crystals 2022, 12(3), 421; https://doi.org/10.3390/cryst12030421 - 18 Mar 2022
Cited by 18 | Viewed by 7022
Abstract
In this work, graphite intercalation compounds (GICs) were synthesized using three different oxidizers: (NH4)2S2O8, K2S2O8, and CrO3 with and without P2O5 as a water-binding agent. [...] Read more.
In this work, graphite intercalation compounds (GICs) were synthesized using three different oxidizers: (NH4)2S2O8, K2S2O8, and CrO3 with and without P2O5 as a water-binding agent. Furthermore, the samples obtained were heat-treated at 800 °C. Specimens were characterized by optical microscopy, Raman spectroscopy, Fourier transform infrared spectroscopy (FTIR), X-ray powder diffraction (XRD), and scanning electron microscopy (SEM). The correlation between different characteristic parameters of the Raman analysis has shown that the use of CrO3 results in a much higher structural disorder compared to the products obtained using persulfate oxidizers. Narrowing the correlation set revealed that minimal defect concentration can be reached by using K2S2O8, while the use of (NH4)2S2O8 causes a slightly higher concentration of defects. It was also established that the additional use of P2O5 can help to achieve more effective intercalation and has a positive effect on the formation of the stage I GIC phase. After heat treatment, the intercalated products mostly return to a graphite-like structure; however, the samples obtained with CrO3 stand out with the most significant changes in their surface morphology. Therefore, analysis suggests that GICs obtained using persulfate oxidizers and P2O5 could be a candidate to produce high-quality graphene or graphene oxide. Full article
Show Figures

Figure 1

14 pages, 8713 KB  
Article
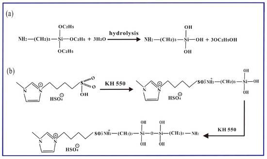
Improving the Dynamic Mechanical Properties of XNBR Using ILs/KH550-Functionalized Multilayer Graphene
by Duoli Chen, Chaoliang Gan, Xiaoqiang Fan, Lin Zhang, Wen Li, Minhao Zhu and Xin Quan
Materials 2019, 12(17), 2800; https://doi.org/10.3390/ma12172800 - 30 Aug 2019
Cited by 25 | Viewed by 3912
Abstract
Graphene has been considered an ideal nanoscale reinforced phase for preparing high-performance composites, but the poor compatibility and weak interfacial interaction with the matrix have limited its application. Here a highly effective and environmentally friendly method for the functionalization of graphene is proposed [...] Read more.
Graphene has been considered an ideal nanoscale reinforced phase for preparing high-performance composites, but the poor compatibility and weak interfacial interaction with the matrix have limited its application. Here a highly effective and environmentally friendly method for the functionalization of graphene is proposed through an interaction between as-exfoliated graphene and (3-aminopropyl) triethoxysilane (KH550), in which 1-butylsulfonate-3-methylimidazolium bisulfate (BSO3HMIm)(HSO4) ionic-liquids-modified graphene was prepared via an electrochemical exfoliation of graphite in (BSO3HMIm)(HSO4) solution, then (BSO3HMIm)(HSO4)-modified graphene as a precursor was reacted with amine groups of KH550 for obtaining (BSO3HMIm)(HSO4)/KH550-functionalized graphene. The final products as filler into carboxylated acrylonitrile‒butadiene rubber (XNBR) improve the dynamic mechanical properties. The improvement in the dynamic mechanical properties of the nanocomposite mainly depends on high interfacial interaction and graphene’s performance characteristics, as well as a good dispersion between functionalized graphene and the XNBR matrix. Full article
(This article belongs to the Section Advanced Nanomaterials and Nanotechnology)
Show Figures

Graphical abstract

Back to TopTop