Sign in to use this feature.

Years

Between: -

Subjects

remove_circle_outline
remove_circle_outline
remove_circle_outline
remove_circle_outline

Journals

Article Types

Countries / Regions

Search Results (12)

Search Parameters:
Keywords = gamma-type Stirling engine

Order results
Result details
Results per page
Select all
Export citation of selected articles as:
16 pages, 3980 KB  
Article
Axial Flux Electromagnetic Energy Harvester Driven by a Stirling Engine for Waste Heat Recovery
by Zhongjie Li, Limeng Zhou, Ying Gong, Fan Shen, Yan Peng and Hao Wu
Energies 2025, 18(7), 1620; https://doi.org/10.3390/en18071620 - 24 Mar 2025
Cited by 1 | Viewed by 1290
Abstract
In this paper, an axial flux electromagnetic energy harvester driven by a Stirling engine (AFEEH-SE) is presented for recovering waste heat above 200 °C. A gamma-type Stirling engine with a slider-crank drive mechanism serves as the power unit to convert thermal energy into [...] Read more.
In this paper, an axial flux electromagnetic energy harvester driven by a Stirling engine (AFEEH-SE) is presented for recovering waste heat above 200 °C. A gamma-type Stirling engine with a slider-crank drive mechanism serves as the power unit to convert thermal energy into rotational mechanical energy. The harvester comprises a rotating magnet array and a stationary coil array. Finite element simulations were conducted to analyze and compare the voltage output under different magnet and coil parameter configurations. Subsequently, a prototype utilizing mineral oil combustion as the heat source was designed, achieving a rotational speed of 950 rpm under open-circuit conditions. Through systematic adjustments to the magnet and coil parameters, the optimal performance configuration was determined to maximize the output power of the harvester. Under this optimized configuration, the AFEEH-SE achieved an effective power output of 57.13 mW, capable of charging a 2.2 mF capacitor to 28 V in 49 s. This study demonstrates the feasibility of the AFEEH-SE in practical applications and provides a solid foundation for the future field of waste heat recovery. Full article
(This article belongs to the Section J1: Heat and Mass Transfer)
Show Figures

Figure 1

5 pages, 610 KB  
Proceeding Paper
A Novel Decision Approach for the Performance Analysis of a Gamma-Type Double Piston Stirling Engine
by Abdul Rab Asary, Basit Abdul, Abdul Samad and Mohammad Abul Hasan Shibly
Eng. Proc. 2023, 56(1), 151; https://doi.org/10.3390/ASEC2023-16625 - 14 Dec 2023
Viewed by 992
Abstract
Stirling engines represent a category of external heat transfer engines that demonstrate versatility by harnessing various heat sources, including solar energy, bio-mass, conventional fuel, and nuclear power. Achieving high thermal efficiency in power production has been a paramount concern driving researchers across the [...] Read more.
Stirling engines represent a category of external heat transfer engines that demonstrate versatility by harnessing various heat sources, including solar energy, bio-mass, conventional fuel, and nuclear power. Achieving high thermal efficiency in power production has been a paramount concern driving researchers across the globe to focus on developing Stirling engines. A gamma-type double-piston Stirling engine has been carefully selected for detailed analysis in this research endeavour. A polytropic model is employed in the investigation to gain deeper insights into the engine’s behaviour. The outcomes derived from the polytropic analysis are subsequently compared with a classical adiabatic analysis. Remarkably, the polytropic approach significantly outperforms the classical adiabatic analysis in enhancing the overall performance of the Stirling engine. The power and efficiency obtained from the ideal polytropic analysis were 90.30 W, which is very close to the ideal adiabatic and experimental efficiency. The results hold significant promise for advancing the efficiency and practical application of Stirling engines, reinforcing their position as a prominent contender in pursuing sustainable and highly efficient power generation technologies. Full article
(This article belongs to the Proceedings of The 4th International Electronic Conference on Applied Sciences)
Show Figures

Figure 1

5 pages, 560 KB  
Proceeding Paper
Finite Physical Dimensions Thermodynamic Analysis for Gamma Stirling Engine
by Abdul Rab Asary, Basit Abdul, Abdul Samad and Mohammad Abul Hasan Shibly
Eng. Proc. 2023, 56(1), 287; https://doi.org/10.3390/ASEC2023-16266 - 15 Nov 2023
Viewed by 883
Abstract
In the foreseeable future, the depletion of finite fossil fuel reserves is a growing concern due to the increasing consumption of these resources by humans. Moreover, the emission of greenhouse gases from fossil fuel consumption contributes to global warming, resulting in significant harm [...] Read more.
In the foreseeable future, the depletion of finite fossil fuel reserves is a growing concern due to the increasing consumption of these resources by humans. Moreover, the emission of greenhouse gases from fossil fuel consumption contributes to global warming, resulting in significant harm to the Earth’s ecosystem. The Stirling engine (SE) offers an outstanding solution for harnessing various heat sources, including solar, nuclear, and fossil fuels, among others. It provides numerous advantages, such as high efficiency, a long lifespan, low noise levels, and minimal or no emissions. This study conducts a finite physical dimensions thermodynamic analysis (FPDT) on a gamma-type double-piston cylinder engine and compares the results with other isothermal models and experimental data. The current model’s results align closely with those of other thermodynamic models. Full article
(This article belongs to the Proceedings of The 4th International Electronic Conference on Applied Sciences)
Show Figures

Figure 1

6 pages, 1001 KB  
Proceeding Paper
A Novel Close Loop Analysis of Gamma Prototype Stirling Engine
by Abdul Rab Asary, Basit Abdul, Abdul Samad and Mohammad Abul Hasan Shibly
Eng. Proc. 2023, 56(1), 119; https://doi.org/10.3390/ASEC2023-15276 - 26 Oct 2023
Viewed by 1051
Abstract
Air pollution is greatly influenced by the emissions generated by automotive engines, making it a pressing concern. To address this issue, a considerable amount of research is currently devoted to recovering waste heat from these engines. A gamma-type Stirling engine has been meticulously [...] Read more.
Air pollution is greatly influenced by the emissions generated by automotive engines, making it a pressing concern. To address this issue, a considerable amount of research is currently devoted to recovering waste heat from these engines. A gamma-type Stirling engine has been meticulously chosen to achieve this specific objective. This study elucidates a new isothermal method that effectively analyses Stirling engines. A set of differential equations is proficiently solved by employing the powerful MATLAB R2020a software. Remarkably, the simulation results obtained from this computational approach closely align with the experimental data, indicating the accuracy and reliability of the methodology. Furthermore, this research delves into the feasibility of employing the Stirling engine as a Combined Cooling, Heating and Power (CCHP) system, shedding light on its potential applications in various domains. Full article
(This article belongs to the Proceedings of The 4th International Electronic Conference on Applied Sciences)
Show Figures

Figure 1

5 pages, 583 KB  
Proceeding Paper
Enhancing Gamma Stirling Engine Performance through Genetic Algorithm Technique
by Abdul Rab Asary, Basit Abdul, Abdul Samad and Mohammad Abul Hasan Shibly
Eng. Proc. 2023, 56(1), 29; https://doi.org/10.3390/ASEC2023-15264 - 26 Oct 2023
Cited by 1 | Viewed by 1497
Abstract
The Stirling engine, invented in 1816, was initially lacking comprehensive scientific understanding, which only surfaced after a considerable 50-year period. In the present era, impressive strides have been made in enhancing the performance of Stirling engines by implementing thermodynamic cycles. Despite these advancements, [...] Read more.
The Stirling engine, invented in 1816, was initially lacking comprehensive scientific understanding, which only surfaced after a considerable 50-year period. In the present era, impressive strides have been made in enhancing the performance of Stirling engines by implementing thermodynamic cycles. Despite these advancements, there remains untapped potential for further improvements by applying soft computing methods. To address this, the focal point of this research paper centres around optimizing the Stirling engine, specifically focusing on a gamma-type double-piston Stirling engine and leveraging genetic algorithms to achieve the desired enhancements. The results from this analysis are meticulously compared with experimental data, validating the approach’s efficacy. Additionally, this paper explores the potential impact of utilizing cryogenic fluids as coolants on the Stirling engine’s performance. Full article
(This article belongs to the Proceedings of The 4th International Electronic Conference on Applied Sciences)
Show Figures

Figure 1

6 pages, 737 KB  
Proceeding Paper
A Comprehensive Comparison of the Hargreaves Isothermal Model with the Schmidt Model for the Gamma Stirling Engine
by Abdul Rab Asary, Basit Abdul, Abdul Samad and Mohammad Abul Hasan Shibly
Eng. Proc. 2023, 56(1), 8; https://doi.org/10.3390/ASEC2023-15246 - 26 Oct 2023
Viewed by 1094
Abstract
The Stirling engine, a type of external combustion engine utilizing a compressible fluid as its working medium, holds promise as a highly efficient device for converting heat into mechanical work at Carnot efficiency. This research conducts a detailed analysis, comparing the Hargreaves isothermal [...] Read more.
The Stirling engine, a type of external combustion engine utilizing a compressible fluid as its working medium, holds promise as a highly efficient device for converting heat into mechanical work at Carnot efficiency. This research conducts a detailed analysis, comparing the Hargreaves isothermal model and the Schmidt model specifically for the gamma-type Stirling engine. The study examines the impact of dead volume on the engine’s performance, revealing that the engine network is solely influenced by these volumes. Furthermore, it highlights the effectiveness of the Hargreaves model for the performance analysis of gamma-type Stirling engines. Full article
(This article belongs to the Proceedings of The 4th International Electronic Conference on Applied Sciences)
Show Figures

Figure 1

18 pages, 2560 KB  
Article
Optimization of a Stirling Engine by Variable-Step Simplified Conjugate-Gradient Method and Neural Network Training Algorithm
by Chin-Hsiang Cheng and Yu-Ting Lin
Energies 2020, 13(19), 5164; https://doi.org/10.3390/en13195164 - 3 Oct 2020
Cited by 6 | Viewed by 2750
Abstract
The present study develops a novel optimization method for designing a Stirling engine by combining a variable-step simplified conjugate gradient method (VSCGM) and a neural network training algorithm. As compared with existing gradient-based methods, like the conjugate gradient method (CGM) and simplified conjugate [...] Read more.
The present study develops a novel optimization method for designing a Stirling engine by combining a variable-step simplified conjugate gradient method (VSCGM) and a neural network training algorithm. As compared with existing gradient-based methods, like the conjugate gradient method (CGM) and simplified conjugate gradient method (SCGM), the VSCGM method is a further modified version presented in this study which allows the convergence speed to be greatly accelerated while the form of the objective function can still be defined flexibly. Through the automatic adjustment of the variable step size, the optimal design is reached more efficiently and accurately. Therefore, the VSCGM appears to be a potential and alternative tool in a variety of engineering applications. In this study, optimization of a low-temperature-differential gamma-type Stirling engine was attempted as a test case. The optimizer was trained by the neural network algorithm based on the training data provided from three-dimensional computational fluid dynamic (CFD) computation. The optimal design of the influential parameters of the Stirling engine is yielded efficiently. Results show that the indicated work and thermal efficiency are increased with the present approach by 102.93% and 5.24%, respectively. Robustness of the VSCGM is tested by giving different sets of initial guesses. Full article
(This article belongs to the Section I: Energy Fundamentals and Conversion)
Show Figures

Figure 1

18 pages, 5109 KB  
Article
An Analysis Model Combining Gamma-Type Stirling Engine and Power Converter
by Hua-Ju Shih
Energies 2019, 12(7), 1322; https://doi.org/10.3390/en12071322 - 6 Apr 2019
Cited by 6 | Viewed by 4868
Abstract
Waste heat is a potential source for powering our living environment. It can be harvested and transformed into electricity. Ohmic heat is a common type of waste heat. However, waste heat has the following limitations: wide distribution, insufficient temperature difference (ΔT < [...] Read more.
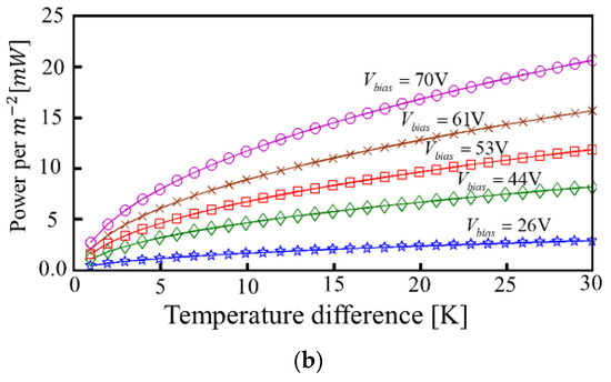
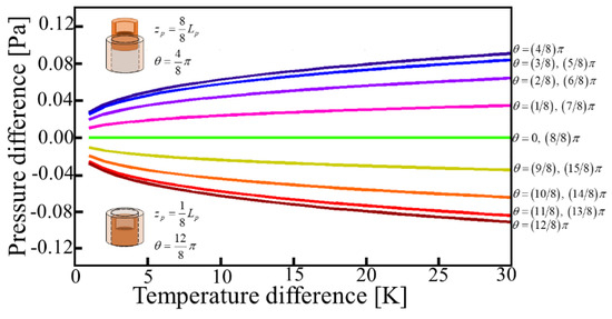
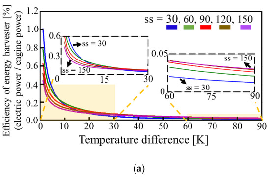
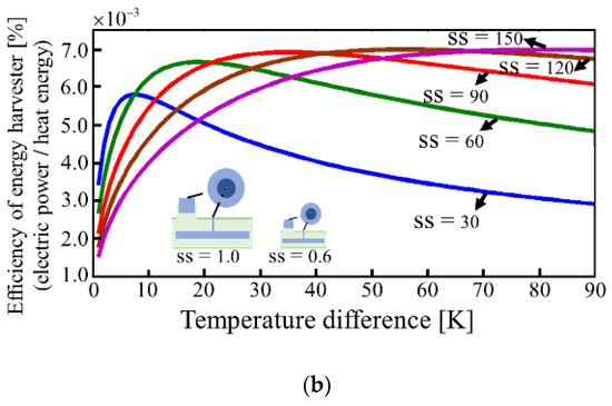
Waste heat is a potential source for powering our living environment. It can be harvested and transformed into electricity. Ohmic heat is a common type of waste heat. However, waste heat has the following limitations: wide distribution, insufficient temperature difference (ΔT < 70 K) for triggering turbines, and producing voltage below the open voltage of the battery. This paper proposes an energy harvester model that combines a gamma-type Stirling engine and variable capacitance. The energy harvester model is different from Tavakolpour-Saleh’s free-piston-type engine [7.1 W at ΔT = 407 K (273–680 K)]. The gamma-type Stirling engine is a low-temperature-difference engine. It can be triggered by a minimum ΔT value of 12 K (293–305 K). The triggering force in the variable capacitance is almost zero. Furthermore, the gamma-type Stirling engine is suitable for harvesting waste heat at room temperature. This study indicates that 21 mW of energy can be produced at ΔT = 30 K (293–323 K) for a bias voltage of 70 V and volume of 103.25 cc. Because of the given bias voltage, the energy harvester can break through the open voltage of the battery to achieve energy storage at a low temperature difference. Full article
Show Figures

Figure 1

17 pages, 1574 KB  
Article
Optimisation of a Quasi-Steady Model of a Free-Piston Stirling Engine
by Ayodeji Sowale, Edward J. Anthony and Athanasios John Kolios
Energies 2019, 12(1), 72; https://doi.org/10.3390/en12010072 - 27 Dec 2018
Cited by 14 | Viewed by 5148
Abstract
Energy from waste heat recovery is receiving considerable attention due to the demand for power systems that are less polluting. This has led to the investigation of external combustion engines such as the free-piston Stirling engine (FPSE) due to its ability to generate [...] Read more.
Energy from waste heat recovery is receiving considerable attention due to the demand for power systems that are less polluting. This has led to the investigation of external combustion engines such as the free-piston Stirling engine (FPSE) due to its ability to generate power from any source of heat and, especially, waste heat. However, there are still some limitations in the modelling, design and practical utilisation of this type of engine. Modelling of the FPSE has proved to be a difficult task due to the lack of mechanical linkages in its configuration, which poses problems for achieving stability. Also, a number of studies have been reported that attempt to optimise the output performance considering the characteristics of the engine configuration. In this study the optimisation of the second-order quasi-steady model of the gamma-type FPSE is carried out using the genetic algorithm (GA) to maximise the performance in terms of power output, and considering the design parameters of components such as piston and displacer damper, geometry of heat exchangers, and regenerator porosity. This present study shows that the GA optimisation of the RE-1000 FPSE design parameters improved its performance from work done and output power of 33.2 J and 996 W, respectively, with thermal efficiency of 23%, to 44.2 J and 1326 W with thermal efficiency of 27%. Full article
(This article belongs to the Section A: Sustainable Energy)
Show Figures

Figure 1

14 pages, 3190 KB  
Article
Efficiency Reduction in Stirling Engines Resulting from Sinusoidal Motion
by Salvatore Ranieri, Gilberto A. O. Prado and Brendan D. MacDonald
Energies 2018, 11(11), 2887; https://doi.org/10.3390/en11112887 - 24 Oct 2018
Cited by 20 | Viewed by 15850
Abstract
Stirling engines have a high potential to produce renewable energy due to their ability to use a wide range of sustainable heat sources, such as concentrated solar thermal power and biomass, and also due to their high theoretical efficiencies. They have not yet [...] Read more.
Stirling engines have a high potential to produce renewable energy due to their ability to use a wide range of sustainable heat sources, such as concentrated solar thermal power and biomass, and also due to their high theoretical efficiencies. They have not yet achieved widespread use and commercial Stirling engines have had reduced efficiencies compared to their ideal values. In this work we show that a substantial amount of the reduction in efficiency is due to the operation of Stirling engines using sinusoidal motion and quantify this reduction. A discrete model was developed to perform an isothermal analysis of a 100cc alpha-type Stirling engine with a 90 phase angle offset, to demonstrate the impact of sinusoidal motion on the net work and thermal efficiency in comparison to the ideal cycle. For the specific engine analyzed, the maximum thermal efficiency of the sinusoidal cycle was found to have a limit of 34.4%, which is a reduction of 27.1% from Carnot efficiency. The net work of the sinusoidal cycle was found to be 65.9% of the net work from the ideal cycle. The model was adapted to analyze beta and gamma-type Stirling configurations, and the analysis revealed similar reductions due to sinusoidal motion. Full article
(This article belongs to the Section I: Energy Fundamentals and Conversion)
Show Figures

Figure 1

20 pages, 2151 KB  
Article
Thermodynamic Performance of Heat Exchangers in a Free Piston Stirling Engine
by Ayodeji Sowale and Athanasios J. Kolios
Energies 2018, 11(3), 505; https://doi.org/10.3390/en11030505 - 27 Feb 2018
Cited by 17 | Viewed by 8107
Abstract
There is an increasing request in energy recovery systems that are more efficient, environmentally friendly and economical. The free piston Stirling engine has been investigated due to its structural simplicity and high efficiency, coupled with its cogeneration ability. This study presents the numerical [...] Read more.
There is an increasing request in energy recovery systems that are more efficient, environmentally friendly and economical. The free piston Stirling engine has been investigated due to its structural simplicity and high efficiency, coupled with its cogeneration ability. This study presents the numerical investigation of quasi-steady model of a gamma type free piston Stirling engine (FPSE), including the thermodynamic analysis of the heat exchangers. Advanced thermodynamic models are employed to derive the initial set of operational parameters of the FPSE due to the coupling of the piston’s (displacer and piston) dynamics and the working process. The proximity effect of the heater and cooler on the regenerator effectiveness in relation to the heat losses, output power, net work and thermal efficiency of the FPSE are also observed and presented in this study. It can be observed that at temperatures of 541.3 °C and 49.8 °C of the heater and cooler, respectively, with heater volume of 0.004 m3, regenerator volume of 0.003 m3 and cooler volume of 0.005 m3, the FPSE produced an output performance of 996.7 W with a thermal efficiency of 23% at a frequency of 30 Hz. This approach can be employed to design effective high performance FPSE due to their complexity and also predict a satisfactory performance. Full article
Show Figures

Figure 1

18 pages, 1365 KB  
Article
Comparison Based on Exergetic Analyses of Two Hot Air Engines: A Gamma Type Stirling Engine and an Open Joule Cycle Ericsson Engine
by Houda Hachem, Marie Creyx, Ramla Gheith, Eric Delacourt, Céline Morin, Fethi Aloui and Sassi Ben Nasrallah
Entropy 2015, 17(11), 7331-7348; https://doi.org/10.3390/e17117331 - 28 Oct 2015
Cited by 13 | Viewed by 12025
Abstract
In this paper, a comparison of exergetic models between two hot air engines (a Gamma type Stirling prototype having a maximum output mechanical power of 500 W and an Ericsson hot air engine with a maximum power of 300 W) is made. Referring [...] Read more.
In this paper, a comparison of exergetic models between two hot air engines (a Gamma type Stirling prototype having a maximum output mechanical power of 500 W and an Ericsson hot air engine with a maximum power of 300 W) is made. Referring to previous energetic analyses, exergetic models are set up in order to quantify the exergy destruction and efficiencies in each type of engine. The repartition of the exergy fluxes in each part of the two engines are determined and represented in Sankey diagrams, using dimensionless exergy fluxes. The results show a similar proportion in both engines of destroyed exergy compared to the exergy flux from the hot source. The compression cylinders generate the highest exergy destruction, whereas the expansion cylinders generate the lowest one. The regenerator of the Stirling engine increases the exergy resource at the inlet of the expansion cylinder, which might be also set up in the Ericsson engine, using a preheater between the exhaust air and the compressed air transferred to the hot heat exchanger. Full article
(This article belongs to the Special Issue Entropy Generation in Thermal Systems and Processes 2015)
Show Figures

Figure 1

Back to TopTop