Sign in to use this feature.

Years

Between: -

Subjects

remove_circle_outline
remove_circle_outline
remove_circle_outline

Journals

Article Types

Countries / Regions

Search Results (8)

Search Parameters:
Keywords = fluoro-sensing

Order results
Result details
Results per page
Select all
Export citation of selected articles as:
21 pages, 11172 KB  
Article
Detection and Pattern Recognition of Chemical Warfare Agents by MOS-Based MEMS Gas Sensor Array
by Mengxue Xu, Xiaochun Hu, Hongpeng Zhang, Ting Miao, Lan Ma, Jing Liang, Yuefeng Zhu, Haiyan Zhu, Zhenxing Cheng and Xuhui Sun
Sensors 2025, 25(8), 2633; https://doi.org/10.3390/s25082633 - 21 Apr 2025
Cited by 3 | Viewed by 3635
Abstract
Chemical warfare agents (CWAs), including hydrogen cyanide (AC), 2-[fluoro(methyl)phosphoryl]oxypropane (GB), 3-[fluoro(methyl)phosphoryl]oxy-2,2-dimethylbutane (GD), ethyl S-(2-diisopropylaminoethyl) methylphosphonothioate (VX), and di-2-chloroethyl sulfide (HD), pose a great threat to public safety; therefore, it is important to develop sensing technology for CWAs. Herein, a sensor array consisting of [...] Read more.
Chemical warfare agents (CWAs), including hydrogen cyanide (AC), 2-[fluoro(methyl)phosphoryl]oxypropane (GB), 3-[fluoro(methyl)phosphoryl]oxy-2,2-dimethylbutane (GD), ethyl S-(2-diisopropylaminoethyl) methylphosphonothioate (VX), and di-2-chloroethyl sulfide (HD), pose a great threat to public safety; therefore, it is important to develop sensing technology for CWAs. Herein, a sensor array consisting of 24 metal oxide semiconductor (MOS)-based MEMS sensors with good gas sensing performance, a simple device structure (0.9 mm × 0.9 mm), and low power consumption (<10 mW on average) was developed. The experimental results show that there are always several sensors among the 24 sensors that show good sensing performance in relation to each CWA, such as a relatively significant response, a broad detection range (AC: 5.8–89 ppm; GB: 0.04–0.47 ppm; GD: 0.06–4.7 ppm; VX: 9.978 × 10−4–1.101 × 10−3; HD: 0.61–4.9 ppm), and a low detection limit that is lower than the immediately dangerous for life and health (IDLH) level of the five CWAs. This indicates that these sensors can meet the needs for qualitative detection and can provide an early warning regarding low concentrations of CWAs. In addition, features were extracted from the initial kinetic characteristics and dynamic change characteristics of the sensing response. Finally, principal component analysis (PCA) and machine learning algorithms were applied for CWA classification. The obtained PCA plots showed significant differences between groups, and the narrow neural network among the machine learning algorithms achieves a prediction accuracy of nearly 100.0%. In summary, the proposed MOS-based MEMS sensor array driven by pattern recognition algorithms can be integrated into portable devices, showing great potential and practical applications in the rapid, in situ, and on-site detection and identification of CWAs. Full article
(This article belongs to the Section Chemical Sensors)
Show Figures

Figure 1

13 pages, 5499 KB  
Article
Flexible Wearable Composite Antennas for Global Wireless Communication Systems
by Rui Zhang, Jingwen Liu, Yangyang Wang, Zhongbao Luo, Binzhen Zhang and Junping Duan
Sensors 2021, 21(18), 6083; https://doi.org/10.3390/s21186083 - 10 Sep 2021
Cited by 23 | Viewed by 4662
Abstract
Although wearable antennas have made great progress in recent years, how to design high-performance antennas suitable for most wireless communication systems has always been the direction of RF workers. In this paper, a new approach for the design and manufacture of a compact, [...] Read more.
Although wearable antennas have made great progress in recent years, how to design high-performance antennas suitable for most wireless communication systems has always been the direction of RF workers. In this paper, a new approach for the design and manufacture of a compact, low-profile, broadband, omni-directional and conformal antenna is presented, including the use of a customized flexible dielectric substrate with high permittivity and low loss tangent to realize the compact sensing antenna. Poly-di-methyl-siloxane (PDMS) is doped a certain proportion of aluminum trioxide (Al2O3) and Poly-tetra-fluoro-ethylene (PTFE) to investigate the effect of dielectric constant and loss tangent. Through a large number of comparative experiments, data on different doping ratios show that the new doped materials are flexible enough to increase dielectric constant, reduce loss tangent and significantly improve the load resistance capacity. The antenna is configured with a multisection microstrip stepped impedance resonator structure (SIR) to expand the bandwidth. The measured reflection return loss (S11) showed an operating frequency band from 0.99 to 9.41 GHz, with a band ratio of 146%. The antenna covers two important frequency bands, 1.71–2.484 GHz (personal communication system and wireless body area network (WBAN) systems) and 5.15–5.825 GHz (wireless local area network-WLAN)]. It also passed the SAR test for human safety. Therefore, the proposed antenna offers a good chance for full coverage of WLAN and large-scale development of wearable products. It also has potential applications in communication systems, wireless energy acquisition systems and other wireless systems. Full article
(This article belongs to the Special Issue Textiles Materials for Wearable Antennas/Devices)
Show Figures

Figure 1

15 pages, 4552 KB  
Article
Processing Fluorescence Spectra for Pollutants Detection Systems in Inland Waters
by F. Jose Arques-Orobon, Francisco Prieto-Castrillo, Neftali Nuñez and Vicente Gonzalez-Posadas
Sensors 2020, 20(11), 3102; https://doi.org/10.3390/s20113102 - 30 May 2020
Cited by 4 | Viewed by 3258
Abstract
Development of contaminant detection systems in various natural and industrial environments has been favored in recent years thanks to the evolution of processors and sensors. Our group works specifically on contaminant detection systems in inland waters: immediate and continuous detection is a fundamental [...] Read more.
Development of contaminant detection systems in various natural and industrial environments has been favored in recent years thanks to the evolution of processors and sensors. Our group works specifically on contaminant detection systems in inland waters: immediate and continuous detection is a fundamental requirement in this type of sensing. Regarding the sensors, the proposed system is based on fluorescence, since it offers a method in which there is no contact with water, which means less wear on the components and a great saving in cleaning and maintenance. On the other hand, the spectrum processing is of great importance, since it is used both in the generation of a library of fluorescence spectra taken in the laboratory and in the continuous analysis of the samples and in the comparison algorithm for identification. The validity of the system is based on the last process that is carried out in a very short time. This article describes a system to process spectra in a more accelerated way. Full article
(This article belongs to the Special Issue Smart Spectral Sensors for Aquatic Environments)
Show Figures

Figure 1

15 pages, 3343 KB  
Article
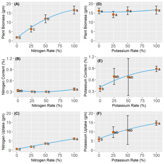
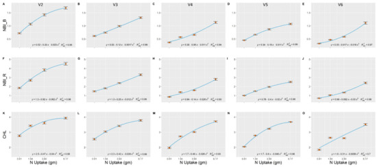
Use of Fluorescence Sensing to Detect Nitrogen and Potassium Variability in Maize
by Rafael Siqueira, Louis Longchamps, Subash Dahal and Raj Khosla
Remote Sens. 2020, 12(11), 1752; https://doi.org/10.3390/rs12111752 - 29 May 2020
Cited by 22 | Viewed by 4218
Abstract
Real-time fluoro-sensing is a promising crop sensing technology to support variable-rate nutrient management for precision agricultural practices. The objective of this study was to evaluate the potential of fluoro-sensing to detect the variability of nitrogen (N) and potassium (K) in the crop canopy [...] Read more.
Real-time fluoro-sensing is a promising crop sensing technology to support variable-rate nutrient management for precision agricultural practices. The objective of this study was to evaluate the potential of fluoro-sensing to detect the variability of nitrogen (N) and potassium (K) in the crop canopy at the early growth stages of maize (before the V6 crop growth stage). This study was conducted under greenhouse conditions in pots filled with silica sand, and maize plants were supplied with modified Hoagland’s solution with different rates of N and K. Sensor readings were collected using a Multiplex®3 fluorescence sensor and analyzed using ANOVA (analysis of variance) to test differences in crop response to nutrient rates. Regression analysis was used to assess the ability of fluorescence sensor-based indices to estimate N and K in the crop canopy. The results of this study indicate that all fluorescence indices under consideration enabled the detection of N variability in the maize canopy prior to the V2 crop growth stage. The NBI_B (nitrogen balance index blue) index enabled N uptake detection (R2 = 0.99) as early as the V2 crop growth stage. However, the fluorescence indices failed to identify K deficiency, as the maize plants with K treatments showed little to no variability of this nutrient at early crop growth stages as measured by plant tissue analysis. The results present a tremendous opportunity to assess N uptake at early growth stages of maize for precision nitrogen application. We recommend using fluorescence sensor-based NBI_B or NBI_R (Nitrogen balance index red) for early detection of nitrogen uptake in maize for precision nitrogen management. Full article
Show Figures

Graphical abstract

19 pages, 1569 KB  
Review
Approaches to PET Imaging of Glioblastoma
by Lindsey R. Drake, Ansel T. Hillmer and Zhengxin Cai
Molecules 2020, 25(3), 568; https://doi.org/10.3390/molecules25030568 - 28 Jan 2020
Cited by 57 | Viewed by 8588
Abstract
Glioblastoma multiforme (GBM) is the deadliest type of brain tumor, affecting approximately three in 100,000 adults annually. Positron emission tomography (PET) imaging provides an important non-invasive method of measuring biochemically specific targets at GBM lesions. These powerful data can characterize tumors, predict treatment [...] Read more.
Glioblastoma multiforme (GBM) is the deadliest type of brain tumor, affecting approximately three in 100,000 adults annually. Positron emission tomography (PET) imaging provides an important non-invasive method of measuring biochemically specific targets at GBM lesions. These powerful data can characterize tumors, predict treatment effectiveness, and monitor treatment. This review will discuss the PET imaging agents that have already been evaluated in GBM patients so far, and new imaging targets with promise for future use. Previously used PET imaging agents include the tracers for markers of proliferation ([11C]methionine; [18F]fluoro-ethyl-L-tyrosine, [18F]Fluorodopa, [18F]fluoro-thymidine, and [18F]clofarabine), hypoxia sensing ([18F]FMISO, [18F]FET-NIM, [18F]EF5, [18F]HX4, and [64Cu]ATSM), and ligands for inflammation. As cancer therapeutics evolve toward personalized medicine and therapies centered on tumor biomarkers, the development of complimentary selective PET agents can dramatically enhance these efforts. Newer biomarkers for GBM PET imaging are discussed, with some already in use for PET imaging other cancers and neurological disorders. These targets include Sigma 1, Sigma 2, programmed death ligand 1, poly-ADP-ribose polymerase, and isocitrate dehydrogenase. For GBM, these imaging agents come with additional considerations such as blood–brain barrier penetration, quantitative modeling approaches, and nonspecific binding. Full article
(This article belongs to the Special Issue Radiolabelled Molecules for Brain Imaging with PET and SPECT)
Show Figures

Figure 1

21 pages, 6368 KB  
Article
Enhanced Clean-In-Place Monitoring Using Ultraviolet Induced Fluorescence and Neural Networks
by Alessandro Simeone, Bin Deng, Nicholas Watson and Elliot Woolley
Sensors 2018, 18(11), 3742; https://doi.org/10.3390/s18113742 - 2 Nov 2018
Cited by 19 | Viewed by 5597
Abstract
Clean-in-place (CIP) processes are extensively used to clean industrial equipment without the need for disassembly. In food manufacturing, cleaning can account for up to 70% of water use and is also a heavy user of energy and chemicals. Due to a current lack [...] Read more.
Clean-in-place (CIP) processes are extensively used to clean industrial equipment without the need for disassembly. In food manufacturing, cleaning can account for up to 70% of water use and is also a heavy user of energy and chemicals. Due to a current lack of real-time in-process monitoring, the non-optimal control of the cleaning process parameters and durations result in excessive resource consumption and periods of non-productivity. In this paper, an optical monitoring system is designed and realized to assess the amount of fouling material remaining in process tanks, and to predict the required cleaning time. An experimental campaign of CIP tests was carried out utilizing white chocolate as fouling medium. During the experiments, an image acquisition system endowed with a digital camera and ultraviolet light source was employed to collect digital images from the process tank. Diverse image segmentation techniques were considered to develop an image processing procedure with the aim of assessing the area of surface fouling and the fouling volume throughout the cleaning process. An intelligent decision-making support system utilizing nonlinear autoregressive models with exogenous inputs (NARX) Neural Network was configured, trained and tested to predict the cleaning time based on the image processing results. Results are discussed in terms of prediction accuracy and a comparative study on computation time against different image resolutions is reported. The potential benefits of the system for resource and time efficiency in food manufacturing are highlighted. Full article
Show Figures

Figure 1

16 pages, 5018 KB  
Article
Functional Analysis in Long-Term Operation of High Power UV-LEDs in Continuous Fluoro-Sensing Systems for Hydrocarbon Pollution
by Francisco Jose Arques-Orobon, Neftali Nuñez, Manuel Vazquez and Vicente Gonzalez-Posadas
Sensors 2016, 16(3), 293; https://doi.org/10.3390/s16030293 - 26 Feb 2016
Cited by 5 | Viewed by 8933
Abstract
This work analyzes the long-term functionality of HP (High-power) UV-LEDs (Ultraviolet Light Emitting Diodes) as the exciting light source in non-contact, continuous 24/7 real-time fluoro-sensing pollutant identification in inland water. Fluorescence is an effective alternative in the detection and identification of hydrocarbons. The [...] Read more.
This work analyzes the long-term functionality of HP (High-power) UV-LEDs (Ultraviolet Light Emitting Diodes) as the exciting light source in non-contact, continuous 24/7 real-time fluoro-sensing pollutant identification in inland water. Fluorescence is an effective alternative in the detection and identification of hydrocarbons. The HP UV-LEDs are more advantageous than classical light sources (xenon and mercury lamps) and helps in the development of a low cost, non-contact, and compact system for continuous real-time fieldwork. This work analyzes the wavelength, output optical power, and the effects of viscosity, temperature of the water pollutants, and the functional consistency for long-term HP UV-LED working operation. To accomplish the latter, an analysis of the influence of two types 365 nm HP UV-LEDs degradation under two continuous real-system working mode conditions was done, by temperature Accelerated Life Tests (ALTs). These tests estimate the mean life under continuous working conditions of 6200 h and for cycled working conditions (30 s ON & 30 s OFF) of 66,000 h, over 7 years of 24/7 operating life of hydrocarbon pollution monitoring. In addition, the durability in the face of the internal and external parameter system variations is evaluated. Full article
(This article belongs to the Special Issue State-of-the-Art Sensors Technology in Spain 2015)
Show Figures

Graphical abstract

13 pages, 6156 KB  
Article
Surface Plasmon Resonance Sensor Based on Ethylene Tetra-Fluoro-Ethylene Hollow Fiber
by Pan Chen, Yu-Jing He, Xiao-Song Zhu and Yi-Wei Shi
Sensors 2015, 15(11), 27917-27929; https://doi.org/10.3390/s151127917 - 3 Nov 2015
Cited by 15 | Viewed by 5455
Abstract
A new kind of hollow fiber surface plasmon resonance sensor (HF-SPRS) based on the silver-coated ethylene tetra-fluoro-ethylene (ETFE) hollow fiber (HF) is presented. The ETFE HF-SPRS is fabricated, and its performance is investigated experimentally by measuring the transmission spectra of the sensor when [...] Read more.
A new kind of hollow fiber surface plasmon resonance sensor (HF-SPRS) based on the silver-coated ethylene tetra-fluoro-ethylene (ETFE) hollow fiber (HF) is presented. The ETFE HF-SPRS is fabricated, and its performance is investigated experimentally by measuring the transmission spectra of the sensor when filled by liquid sensed media with different refractive indices (RIs). Theoretical analysis based on the ray transmission model is also taken to evaluate the sensor. Because the RI of ETFE is much lower than that of fused silica (FSG), the ETFE HF-SPRS can extend the lower limit of the detection range of the early reported FSG HF-SPRS from 1.5 to 1.42 approximately. This could greatly enhance the application potential of HF-SPRS. Moreover, the joint use of both ETFE and FSG HF-SPRSs can cover a wide detection range from 1.42 to 1.69 approximately with high sensitivities larger than 1000 nm/RIU. Full article
(This article belongs to the Section Physical Sensors)
Show Figures

Graphical abstract

Back to TopTop