Sign in to use this feature.

Years

Between: -

Subjects

remove_circle_outline
remove_circle_outline
remove_circle_outline
remove_circle_outline
remove_circle_outline
remove_circle_outline
remove_circle_outline
remove_circle_outline
remove_circle_outline

Journals

Article Types

Countries / Regions

Search Results (83)

Search Parameters:
Keywords = equivalent continuum

Order results
Result details
Results per page
Select all
Export citation of selected articles as:
26 pages, 2218 KB  
Article
Soil Calcimetry Dynamics to Resolve Weathering Flux in Wollastonite-Amended Croplands
by Francisco S. M. Araujo and Rafael M. Santos
Land 2025, 14(10), 2079; https://doi.org/10.3390/land14102079 - 17 Oct 2025
Abstract
Enhanced Rock Weathering (ERW) is a promising carbon dioxide removal (CDR) strategy that accelerates mineral dissolution, sequestering atmospheric CO2 while improving soil health. This study builds on prior applications of soil calcimetry by investigating its ability to resolve short-term carbonate fluxes and [...] Read more.
Enhanced Rock Weathering (ERW) is a promising carbon dioxide removal (CDR) strategy that accelerates mineral dissolution, sequestering atmospheric CO2 while improving soil health. This study builds on prior applications of soil calcimetry by investigating its ability to resolve short-term carbonate fluxes and rainfall-modulated weathering dynamics in wollastonite-amended croplands. Conducted over a single growing season (May–October 2024) in temperate row-crop fields near Port Colborne, Ontario—characterized by fibric mesisol soils (Histosols, FAO-WRB)—this study tests whether calcimetry can distinguish between dissolution and precipitation phases and serve as a proxy for weathering flux within the upper soil horizon, under the assumption that rapid pedogenic carbonate cycling dominates alkalinity retention in this soil–mineral system. Monthly measurements of soil pH (Milli-Q and CaCl2) and calcium carbonate equivalent (CCE) were conducted across 10 plots, totaling 180 composite samples. Results show significant alkalinization (p < 0.001), with average pH increases of ~+1.0 unit in both Milli-Q and CaCl2 extracts over the timeline. In contrast, CCE values showed high spatiotemporal variability (−2.5 to +6.4%) without consistent seasonal trends. The calcimetry-derived weathering proxy, log (Σ ΔCCE/Δt), correlated positively with pH (r = 0.652), capturing net carbonate accumulation, while the kinetic dissolution rate model correlated strongly and negatively with pH (r ≈ −1), reflecting acid-promoted dissolution. This divergence confirms that the two metrics capture complementary stages of the weathering–precipitation continuum. Rainfall strongly modulated short-term carbonate formation, with cumulative precipitation over the previous 7–10 days enhancing formation rates up to a saturation point (~30 mm), beyond which additional rainfall yielded diminishing returns. In contrast, dissolution fluxes remained largely independent of rainfall. These results highlight calcimetry as a direct, scalable, and dynamic tool not only for monitoring solid-phase carbonate formation, but also for inferring carbonate migration and dissolution dynamics. In systems dominated by rapid pedogenic carbonate cycling, this approach captures the majority of alkalinity fluxes, offering a conservative yet comprehensive proxy for CO2 sequestration. Full article
30 pages, 2200 KB  
Article
A Machine Proof of the Filter-Method Construction for Real Numbers
by Guowei Dou and Wensheng Yu
Mathematics 2025, 13(17), 2707; https://doi.org/10.3390/math13172707 - 22 Aug 2025
Viewed by 454
Abstract
This paper presents a machine verification of a real number theory where real numbers are constructed using concepts related to filters. The theory encompasses a special filter, namely the non-principal arithmetical ultrafilter whose existence can be proven with the Continuum Hypothesis, to establish [...] Read more.
This paper presents a machine verification of a real number theory where real numbers are constructed using concepts related to filters. The theory encompasses a special filter, namely the non-principal arithmetical ultrafilter whose existence can be proven with the Continuum Hypothesis, to establish several non-standard number sets: *N, *Z and *Q. The set of real numbers, R, is subsequently obtained by the equivalence classification of a specific subset of *Q. The entire theory is thoroughly formalized, with each detail verified to ensure rigor and precision. The verification is implemented using the Coq proof assistant and is grounded in the Morse–Kelley axiomatic set theory. This work contributes a new selection of foundational material for the formalization of mathematical theories. Full article
(This article belongs to the Section E1: Mathematics and Computer Science)
Show Figures

Figure 1

23 pages, 2990 KB  
Article
Self-Healing Asphalt Mixtures Meso-Modelling: Impact of Capsule Content on Stiffness and Tensile Strength
by Gustavo Câmara, Nuno Monteiro Azevedo and Rui Micaelo
Sustainability 2025, 17(16), 7502; https://doi.org/10.3390/su17167502 - 19 Aug 2025
Cited by 1 | Viewed by 615
Abstract
Capsule-based self-healing technologies offer a promising solution to extend pavement service life without requiring external activation. The effect of the capsule content on the mechanical behaviour of self-healing asphalt mixtures still needs to be understood. This study presents a numerical evaluation of the [...] Read more.
Capsule-based self-healing technologies offer a promising solution to extend pavement service life without requiring external activation. The effect of the capsule content on the mechanical behaviour of self-healing asphalt mixtures still needs to be understood. This study presents a numerical evaluation of the isolated effect of incorporating capsules containing encapsulated rejuvenators, at different volume contents, on the stiffness and strength of asphalt mixtures through a three-dimensional discrete-based programme (VirtualPM3DLab), which has been shown to predict well the experimental behaviour of asphalt mixtures. Uniaxial tension–compression cyclic and monotonic tensile tests on notched specimens are carried out for three capsule contents commonly adopted in experimental investigations (0.30, 0.75, and 1.25 wt.%). The results show that the effect on the stiffness modulus progressively increases as the capsule content grows in the asphalt mixture, with a reduction ranging from 4.3% to 12.3%. At the same time, the phase angle is marginally affected. The capsule continuum equivalent Young’s modulus has minimum influence on the overall rheological response, suggesting that the most critical parameter affecting asphalt mixture stiffness is the capsule content. Finally, while the peak tensile strength shows a maximum reduction of 12.4% at the highest capsule content, the stress–strain behaviour and damage evolution of the specimens remain largely unaffected. Most damaged contacts, which mainly include aggregate–mastic and mastic–mastic contacts, are highly localised around the notch tips. Contacts involving capsules remained intact during early and intermediate loading stages and only fractured during the final damage stage, suggesting a delayed activation consistent with the design of healing systems. The findings suggest that capsules within the studied contents may have a moderate impact on the mechanical properties of asphalt mixtures, especially for high-volume contents. For this reason, contents higher than 0.75 wt.% should be applied with caution. Full article
(This article belongs to the Section Sustainable Materials)
Show Figures

Figure 1

34 pages, 15138 KB  
Article
Equivalent Porous Medium (EPM) Modeling of Karst Features for Slope Stability Analysis in Karst-Prone Weak Rock Masses
by Joan Atieno Onyango, Takashi Sasaoka, Hideki Shimada, Akihiro Hamanaka and Dyson Moses
Modelling 2025, 6(3), 81; https://doi.org/10.3390/modelling6030081 - 14 Aug 2025
Viewed by 592
Abstract
In weak carbonate rock masses, small-sized karst features ranging from greater than 2 cm to over 1 m in diameter can significantly compromise slope stability, yet they are often overlooked in traditional geotechnical models. This study employs the equivalent porous medium (EPM) approach [...] Read more.
In weak carbonate rock masses, small-sized karst features ranging from greater than 2 cm to over 1 m in diameter can significantly compromise slope stability, yet they are often overlooked in traditional geotechnical models. This study employs the equivalent porous medium (EPM) approach to incorporate these small-sized voids into two-dimensional finite element slope stability analysis using RS2 software (Version 11.022). By treating the matrix of karst hollows as a porous continuum, we simulate the mechanical and hydraulic influence of their presence on pit slope performance. Results show that even small voids substantially reduce the factor of safety, with destabilization intensifying as void density and pore fluid infiltration increase. Distinct failure mechanisms—including circular sliding, localized subsidence due to cavity collapse, and rockfalls from intersecting shear planes—emerge from the simulations. The stress trajectories and yield elements highlight how minor voids influence the distribution and initiation of shear and tensile failures. These findings reveal that karst features previously considered negligible can be critical structural discontinuities that trigger failure. The EPM framework thus provides a computationally efficient and mechanistically sound means of modelling the cumulative impact of small-sized karst features, bridging a significant gap in geotechnical design for karst-prone weak rock slopes. Full article
Show Figures

Graphical abstract

24 pages, 7001 KB  
Article
VAM-Based Equivalent Cauchy Model for Accordion Honeycomb Structures with Zero Poisson’s Ratio
by Yuxuan Lin, Mingfang Chen, Zhenxuan Cai, Zhitong Liu, Yifeng Zhong and Rong Liu
Materials 2025, 18(15), 3502; https://doi.org/10.3390/ma18153502 - 25 Jul 2025
Cited by 1 | Viewed by 721
Abstract
The accordion honeycomb has unique deformation characteristics in cellular materials. This study develops a three-dimensional equivalent Cauchy continuum model (3D-ECM) based on the variational asymptotic method (VAM) to efficiently predict the mechanical response of the accordion honeycomb. The accuracy of the 3D-ECM is [...] Read more.
The accordion honeycomb has unique deformation characteristics in cellular materials. This study develops a three-dimensional equivalent Cauchy continuum model (3D-ECM) based on the variational asymptotic method (VAM) to efficiently predict the mechanical response of the accordion honeycomb. The accuracy of the 3D-ECM is validated via quasi-static compression experiments on 3D-printed specimens and detailed 3D finite element simulations (3D-FEM), showing a strong correlation between simulation and experimental data. Parametric analyses reveal that the re-entrant angle, ligament-to-strut length ratio, and thickness ratios significantly affect the equivalent elastic moduli, providing insights into geometric optimization strategies for targeted mechanical performance. Comparative experiments among honeycomb structures with positive, negative, and zero Poisson’s ratios show that the accordion honeycomb achieves superior dimensional stability and tunable stiffness but exhibits lower energy-absorption efficiency due to discontinuous buckling and recovery processes. Further comparison among different ZPR honeycombs confirms that the accordion design offers the highest equivalent modulus in the re-entrant direction. The findings underscore the accordion honeycomb’s promise in scenarios demanding structural reliability, tunable stiffness, and moderate energy absorption. Full article
(This article belongs to the Special Issue Lightweight and High-Strength Sandwich Panel (2nd Edition))
Show Figures

Figure 1

17 pages, 4414 KB  
Article
Mechanical Characteristics of 26H2MF and St12T Steels Under Torsion at Elevated Temperatures
by Waldemar Dudda
Materials 2025, 18(13), 3204; https://doi.org/10.3390/ma18133204 - 7 Jul 2025
Viewed by 432
Abstract
The concept of “material effort” appears in continuum mechanics wherever the response of a material to the currently existing state of loads and boundary conditions loses its previous, predictable character. However, within the material, which still descriptively remains a continuous medium, new physical [...] Read more.
The concept of “material effort” appears in continuum mechanics wherever the response of a material to the currently existing state of loads and boundary conditions loses its previous, predictable character. However, within the material, which still descriptively remains a continuous medium, new physical structures appear and new previously unused physical features of the continuum are activated. The literature is dominated by a simplified way of thinking, which assumes that all these states can be characterized and described by one and the same measure of effort—for metals it is the Huber–Mises–Hencky equivalent stress. Quantitatively, perhaps 90% of the literature is dedicated to this equivalent stress. The remaining authors, as well as the author of this paper, assume that there is no single universal measure of effort that would “fit” all operating conditions of materials. Each state of the structure’s operation may have its own autonomous measure of effort, which expresses the degree of threat from a specific destruction mechanism. In the current energy sector, we are increasingly dealing with “low-cycle thermal fatigue states”. This is related to the fact that large, difficult-to-predict renewable energy sources have been added. Professional energy based on coal and gas units must perform many (even about 100 per year) starts and stops, and this applies not only to the hot state, but often also to the cold state. The question arises as to the allowable shortening of start and stop times that would not to lead to dangerous material effort, and whether there are necessary data and strength characteristics for heat-resistant steels that allow their effort to be determined not only in simple states, but also in complex stress states. Do these data allow for the description of the material’s yield surface? In a previous publication, the author presented the results of tension and compression tests at elevated temperatures for two heat-resistant steels: St12T and 26H2MF. The aim of the current work is to determine the properties and strength characteristics of these steels in a pure torsion test at elevated temperatures. This allows for the analysis of the strength of power turbine components operating primarily on torsion and for determining which of the two tested steels is more resistant to high temperatures. In addition, the properties determined in all three tests (tension, compression, torsion) will allow the determination of the yield surface of these steels at elevated temperatures. They are necessary for the strength analysis of turbine elements in start-up and shutdown cycles, in states changing from cold to hot and vice versa. A modified testing machine was used for pure torsion tests. It allowed for the determination of the sample’s torsion moment as a function of its torsion angle. The experiments were carried out at temperatures of 20 °C, 200 °C, 400 °C, 600 °C, and 800 °C for St12T steel and at temperatures of 20 °C, 200 °C, 400 °C, 550 °C, and 800 °C for 26H2MF steel. Characteristics were drawn up for each sample and compared on a common graph corresponding to the given steel. Based on the methods and relationships from the theory of strength, the yield stress and torsional strength were determined. The yield stress of St12T steel at 600 °C was 319.3 MPa and the torsional strength was 394.4 MPa. For 26H2MH steel at 550 °C, the yield stress was 311.4 and the torsional strength was 382.8 MPa. St12T steel was therefore more resistant to high temperatures than 26H2MF. The combined data from the tension, compression, and torsion tests allowed us to determine the asymmetry and plasticity coefficients, which allowed us to model the yield surface according to the Burzyński criterion as a function of temperature. The obtained results also allowed us to determine the parameters of the Drucker-Prager model and two of the three parameters of the Willam-Warnke and Menetrey-Willam models. The research results are a valuable contribution to the design and diagnostics of power turbine components. Full article
Show Figures

Figure 1

27 pages, 452 KB  
Article
Quantum Electrodynamics from Quantum Cellular Automata, and the Tension Between Symmetry, Locality, and Positive Energy
by Todd A. Brun and Leonard Mlodinow
Entropy 2025, 27(5), 492; https://doi.org/10.3390/e27050492 - 1 May 2025
Cited by 1 | Viewed by 1030
Abstract
Recent work has demonstrated a correspondence that bridges quantum information processing and high-energy physics: discrete quantum cellular automata (QCA) can, in the continuum limit, reproduce quantum field theories (QFTs). This QCA/QFT correspondence raises fundamental questions about how matter/energy, information, and the nature of [...] Read more.
Recent work has demonstrated a correspondence that bridges quantum information processing and high-energy physics: discrete quantum cellular automata (QCA) can, in the continuum limit, reproduce quantum field theories (QFTs). This QCA/QFT correspondence raises fundamental questions about how matter/energy, information, and the nature of spacetime are related. Here, we show that free QED is equivalent to the continuous-space-and-time limit of Fermi and Bose QCA theories on the cubic lattice derived from quantum random walks satisfying simple symmetry and unitarity conditions. In doing so, we define the Fermi and Bose theories in a unified manner using the usual fermion internal space and a boson internal space that is six-dimensional. We show that the reduction to a two-dimensional boson internal space (two helicity states arising from spin-1 plus the photon transversality condition) comes from restricting the QCA theory to positive energies. We briefly examine common symmetries of QCAs and how time-reversal symmetry demands the existence of negative-energy solutions. These solutions produce a tension in coupling the Fermi and Bose theories, in which the strong locality of QCAs seems to require a non-zero amplitude to produce negative-energy states, leading to an unphysical cascade of negative-energy particles. However, we show in a 1D model that, by extending interactions over a larger (but finite) range, it is possible to exponentially suppress the production of negative-energy particles to the point where they can be neglected. Full article
(This article belongs to the Special Issue Recent Advances and Challenges in Quantum Cellular Automata)
Show Figures

Figure 1

12 pages, 269 KB  
Article
An Analysis of the Continuum Hypothesis
by Andrew Powell
Axioms 2025, 14(3), 154; https://doi.org/10.3390/axioms14030154 - 20 Feb 2025
Viewed by 1388
Abstract
This paper analyzes the Continuum Hypothesis, that the cardinality of a set of real numbers is either finite, countably infinite, or the same as the cardinality of the set of all real numbers. It argues (i) that the real numbers are as similar [...] Read more.
This paper analyzes the Continuum Hypothesis, that the cardinality of a set of real numbers is either finite, countably infinite, or the same as the cardinality of the set of all real numbers. It argues (i) that the real numbers are as similar to the natural numbers as possible in the sense that the relationship between any general method of deciding membership of a set of real numbers and the cardinality of the set should be a natural generalization of the case of the same relationship in the case of a set of natural numbers; and (ii) that CH is a very strong choice principle that is maximally efficient as a principle for deciding whether a real number is in a set of real numbers in the sense that it is uniform in deciding membership for every real number in a countable number of steps. The approach taken is to formulate principles equivalent to or weaker than the Continuum Hypothesis and to use techniques from computer science (infinite binary search), information theory, and set theory to prove theorems that support theses (i) and (ii). Full article
14 pages, 7468 KB  
Article
Study on the Transverse Vibration Characteristics of Phenine Nanotubes
by Zhuoqun Zheng, Han Li, Lifeng Wang, Xu Xu and Eric Li
Nanomaterials 2025, 15(4), 300; https://doi.org/10.3390/nano15040300 - 16 Feb 2025
Viewed by 2628
Abstract
Phenine nanotubes are tubular molecular structures with periodic hexatomic vacancies. The holes formed by these vacancies have a significant impact on their electrical, mechanical, and other properties. In this paper, the transverse vibration characteristics of phenine nanotubes (PNTs) are investigated by molecular dynamics [...] Read more.
Phenine nanotubes are tubular molecular structures with periodic hexatomic vacancies. The holes formed by these vacancies have a significant impact on their electrical, mechanical, and other properties. In this paper, the transverse vibration characteristics of phenine nanotubes (PNTs) are investigated by molecular dynamics (MD) simulation and continuum mechanics. A geometrically equivalent beam model is established for describing the geometric characteristics of holes. The effective static mechanical parameters of PNTs used in the proposed model are calibrated by MD simulations. The first four-order natural frequencies of PNTs are predicted by MD simulations and geometrically equivalent beam models. The results indicate that the geometrically equivalent beam model performs well in describing the transverse vibration characteristics of PNTs. Furthermore, the applicability ranges of geometrically equivalent beam models are discussed. This study offers valuable insights into the transverse vibration characteristics of porous nanostructure, which would be beneficial for the design of nanoscale mechanical resonators. Full article
(This article belongs to the Special Issue Nano-Electromechanical Systems Built with Low-Dimensional Materials)
Show Figures

Figure 1

26 pages, 4631 KB  
Article
Comparative Analysis of Computational Times of Lithium-Ion Battery Management Solvers and Battery Models Under Different Programming Languages and Computing Architectures
by Moin Ahmed, Zhiyu Mao, Yunpeng Liu, Aiping Yu, Michael Fowler and Zhongwei Chen
Batteries 2024, 10(12), 439; https://doi.org/10.3390/batteries10120439 - 11 Dec 2024
Cited by 3 | Viewed by 2147
Abstract
With the global rise in consumer electronics, electric vehicles, and renewable energy, the demand for lithium-ion batteries (LIBs) is expected to grow. LIBs present a significant challenge for state estimations due to their complex non-linear electrochemical behavior. Currently, commercial battery management systems (BMSs) [...] Read more.
With the global rise in consumer electronics, electric vehicles, and renewable energy, the demand for lithium-ion batteries (LIBs) is expected to grow. LIBs present a significant challenge for state estimations due to their complex non-linear electrochemical behavior. Currently, commercial battery management systems (BMSs) commonly use easier-to-implement and faster equivalent circuit models (ECMs) than their counterpart continuum-scale physics-based models (PBMs). However, despite processing more mathematical and computational complexity, PBMs are attractive due to their higher accuracy, higher fidelity, and ease of integration with thermal and degradation models. Various reduced-order PBM battery models and their computationally efficient numerical schemes have been proposed in the literature. However, there is limited data on the performance and feasibility of these models in practical embedded and cloud systems using standard programming languages. This study compares the computational performance of a single particle model (SPM), an enhanced single particle model (ESPM), and a reduced-order pseudo-two-dimensional (ROM-P2D) model under various battery cycles on embedded and cloud systems using Python and C++. The results show that reduced-order solvers can achieve a 100-fold reduction in solution times compared to full-order models, while ESPM with electrolyte dynamics is about 1.5 times slower than SPM. Adding thermal models and Kalman filters increases solution times by approximately 20% and 100%, respectively. C++ provides at least a 10-fold speed increase over Python, varying by cycle steps. Although embedded systems take longer than cloud and personal computers, they can still run reduced-order models effectively in Python, making them suitable for embedded applications. Full article
(This article belongs to the Section Battery Modelling, Simulation, Management and Application)
Show Figures

Figure 1

29 pages, 11518 KB  
Article
Evaluating the Two-Source Energy Balance Model Using MODIS Data for Estimating Evapotranspiration Time Series on a Regional Scale
by Mahsa Bozorgi, Jordi Cristóbal and Magí Pàmies-Sans
Remote Sens. 2024, 16(23), 4587; https://doi.org/10.3390/rs16234587 - 6 Dec 2024
Cited by 1 | Viewed by 2004
Abstract
Estimating daily continuous evapotranspiration (ET) can significantly enhance the monitoring of crop stress and drought on regional scales, as well as benefit the design of agricultural drought early warning systems. However, there is a need to verify the models’ performance in estimating the [...] Read more.
Estimating daily continuous evapotranspiration (ET) can significantly enhance the monitoring of crop stress and drought on regional scales, as well as benefit the design of agricultural drought early warning systems. However, there is a need to verify the models’ performance in estimating the spatiotemporal continuity of long-term daily evapotranspiration (ETd) on regional scales due to uncertainties in satellite measurements. In this study, a thermal-based two-surface energy balance (TSEB) model was used concurrently with Terra/Aqua MODIS data and the ERA5 atmospheric reanalysis dataset to calculate the surface energy balance of the soil–canopy–atmosphere continuum and estimate ET at a 1 km spatial resolution from 2000 to 2022. The performance of the model was evaluated using 11 eddy covariance flux towers in various land cover types (i.e., savannas, woody savannas, croplands, evergreen broadleaf forests, and open shrublands), correcting for the energy balance closure (EBC). The Bowen ratio (BR) and residual (RES) methods were used for enforcing the EBC in the EC observations. The modeled ET was evaluated against unclosed ET and closed ET (ETBR and ETRES) under clear-sky and all-sky observations as well as gap-filled data. The results showed that the modeled ET presented a better agreement with closed ET compared to unclosed ET in both Terra and Aqua datasets. Additionally, although the model overestimated ETd across all different land cover types, it successfully captured the spatiotemporal variability in ET. After the gap-filling, the total number of days compared with flux measurements increased substantially, from 13,761 to 19,265 for Terra and from 13,329 to 19,265 for Aqua. The overall mean results including clear-sky and all-sky observations as well as gap-filled data with the Aqua dataset showed the lowest errors with ETRES, by a mean bias error (MBE) of 0.96 mm.day−1, an average mean root square (RMSE) of 1.47 mm.day−1, and a correlation (r) value of 0.51. The equivalent figures for Terra were about 1.06 mm.day−1, 1.60 mm.day−1, and 0.52. Additionally, the result from the gap-filling model indicated small changes compared with the all-sky observations, which demonstrated that the modeling framework remained robust, even with the expanded days. Hence, the presented modeling framework can serve as a pathway for estimating daily remote sensing-based ET on regional scales. Furthermore, in terms of temporal trends, the intra-annual and inter-annual variability in ET can be used as indicators for monitoring crop stress and drought. Full article
Show Figures

Figure 1

21 pages, 2782 KB  
Article
The Method of the Natural Frequency of the Offshore Wind Turbine System Considering Pile–Soil Interaction
by Wei Li, Xiaojuan Li, Xufeng Zhao, Qian Yin, Mingxing Zhu and Le Yang
J. Mar. Sci. Eng. 2024, 12(11), 1912; https://doi.org/10.3390/jmse12111912 - 25 Oct 2024
Cited by 1 | Viewed by 1534
Abstract
Accurately and efficiently evaluating the influence of pile–soil interaction on the overall natural frequency of wind turbines is one of the difficulties in current offshore wind power design. To improve the structural safety and reliability of the offshore wind turbine (OWT) systems, a [...] Read more.
Accurately and efficiently evaluating the influence of pile–soil interaction on the overall natural frequency of wind turbines is one of the difficulties in current offshore wind power design. To improve the structural safety and reliability of the offshore wind turbine (OWT) systems, a new closed-form solution method of the overall natural frequency of OWTs considering pile–soil interactions with highly effective calculations is established. In this method, Hamilton’s principle and the equivalent coupled spring model (ECS model) were firstly combined. In Hamilton’s theory, the Timoshenko beam assumption and continuum element theory considering the three-dimensional displacement field of soil were used to simulate the large-diameter monopile–soil interaction under lateral load in multilayer soil. Case studies were used to validate the proposed method’s correctness and efficiency. The results show that when compared with the data of 13 offshore wind projects reported in existing research papers, the difference between the overall natural frequency calculated by the proposed method and that reported in this study is within ±10%. This calculation method achieves the goal of convenient, fast and accurate prediction of the overall natural frequency of offshore wind systems. Full article
(This article belongs to the Special Issue Safety and Reliability of Ship and Ocean Engineering Structures)
Show Figures

Figure 1

36 pages, 18495 KB  
Article
Size-Dependent Mechanical Properties and Excavation Responses of Basalt with Hidden Cracks at Baihetan Hydropower Station through DFN–FDEM Modeling
by Changdong Ding, Zhenjiang Liu, Xiancheng Mei and Shaoming Ouyang
Appl. Sci. 2024, 14(19), 9069; https://doi.org/10.3390/app14199069 - 8 Oct 2024
Cited by 2 | Viewed by 1804
Abstract
Basalt is an important geotechnical material for engineering construction in Southwest China. However, it has complicated structural features due to its special origin, particularly the widespread occurrence of hidden cracks. Such discontinuities significantly affect the mechanical properties and engineering stability of basalt, and [...] Read more.
Basalt is an important geotechnical material for engineering construction in Southwest China. However, it has complicated structural features due to its special origin, particularly the widespread occurrence of hidden cracks. Such discontinuities significantly affect the mechanical properties and engineering stability of basalt, and related research is lacking and unsystematic. In this work, taking the underground caverns in the Baihetan Hydropower Station as the engineering background, the size-dependent mechanical behaviors and excavation responses of basalt with hidden cracks were systematically explored based on a synthetic rock mass (SRM) model combining the finite-discrete element method (FDEM) and discrete fracture network (DFN) method. The results showed that: (1) The DFN–FDEM model generated based on the statistical characteristics of the geometric parameters of hidden cracks can consider the real structural characteristics of basalt, whereby the mechanical behaviors found in laboratory tests and at the engineering site could be exactly reproduced. (2) The representative elementary volume (REV) size of basalt blocks containing hidden cracks was 0.5 m, and the mechanical properties obtained at this size were considered equivalent continuum properties. With an increase in the sample dimensions, the mechanical properties reflected in the stress–strain curves changed from elastic–brittle to elastic–plastic or ductile, the strength failure criterion changed from linear to nonlinear, and the failure modes changed from fragmentation failure to local structure-controlled failure and then to splitting failure. (3) The surrounding rock mass near the excavation face of underground caverns typically showed a spalling failure mode, mainly affected by the complex structural characteristics and high in situ stresses, i.e., a tensile fracture mechanism characterized by stress–structure coupling. The research findings not only shed new light on the failure mechanisms and size-dependent mechanical behaviors of hard brittle rocks represented by basalt but also further enrich the basic theory and technical methods for multi-scale analyses in geotechnical engineering, which could provide a reference for the design optimization, construction scheme formulation, and disaster prevention of deep engineering projects. Full article
(This article belongs to the Special Issue Advances in Failure Mechanism and Numerical Methods for Geomaterials)
Show Figures

Figure 1

17 pages, 4862 KB  
Article
Modelling and Characterisation of Orthotropic Damage in Aluminium Alloy 2024
by Nenad Djordjevic, Ravindran Sundararajah, Rade Vignjevic, James Campbell and Kevin Hughes
Materials 2024, 17(17), 4281; https://doi.org/10.3390/ma17174281 - 29 Aug 2024
Cited by 1 | Viewed by 1015
Abstract
The aim of the work presented in this paper was development of a thermodynamically consistent constitutive model for orthotopic metals and determination of its parameters based on standard characterisation methods used in the aerospace industry. The model was derived with additive decomposition of [...] Read more.
The aim of the work presented in this paper was development of a thermodynamically consistent constitutive model for orthotopic metals and determination of its parameters based on standard characterisation methods used in the aerospace industry. The model was derived with additive decomposition of the strain tensor and consisted of an elastic part, derived from Helmholtz free energy, Hill’s thermodynamic potential, which controls evolution of plastic deformation, and damage orthotopic potential, which controls evolution of damage in material. Damage effects were incorporated using the continuum damage mechanics approach, with the effective stress and energy equivalence principle. Material characterisation and derivation of model parameters was conducted with standard specimens with a uniform cross-section, although a number of tests with non-uniform cross-sections were also conducted here. The tests were designed to assess the extent of damage in material over a range of plastic deformation values, where displacement was measured locally using digital image correlation. The new model was implemented as a user material subroutine in Abaqus and verified and validated against the experimental results for aerospace-grade aluminium alloy 2024-T3. Verification was conducted in a series of single element tests, designed to separately validate elasticity, plasticity and damage-related parts of the model. Validation at this stage of the development was based on comparison of the numerical results with experimental data obtained in the quasistatic characterisation tests, which illustrated the ability of the modelling approach to predict experimentally observed behaviour. A validated user material subroutine allows for efficient simulation-led design improvements of aluminium components, such as stiffened panels and the other thin-wall structures used in the aerospace industry. Full article
Show Figures

Figure 1

16 pages, 7038 KB  
Article
REV and Three-Dimensional Permeability Tensor of Fractured Rock Masses with Heterogeneous Aperture Distributions
by Na Huang, Shengqun Han, Yujing Jiang and Songcai Han
Water 2024, 16(17), 2435; https://doi.org/10.3390/w16172435 - 28 Aug 2024
Viewed by 1367
Abstract
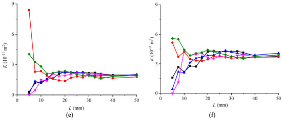
This study performed a representative elementary volume (REV) and 3D equivalent continuum study of rock fractures based on fluid simulations of 3D discrete fracture networks (DFNs). A series of 3D DFNs with heterogeneous aperture distributions (the DFN-H model) and uniform apertures (the DFN-I [...] Read more.
This study performed a representative elementary volume (REV) and 3D equivalent continuum study of rock fractures based on fluid simulations of 3D discrete fracture networks (DFNs). A series of 3D DFNs with heterogeneous aperture distributions (the DFN-H model) and uniform apertures (the DFN-I model) were established, in which the fractures were oriented according to the geological field mapping of a high-level radioactive waste candidate site in China. The 3D DFNs of the different model sizes were extracted and rotated in a number of directions to check whether there was a tensor quality of the permeability at a certain scale. The results show that aperture heterogeneity increases the REV size and results in a necessarily larger model size to reach an equivalent continuum behavior, and this effect is more obvious when the fracture density is smaller. The shape of the 2D permeability contour is irregular, with some breaks when the model size is small. As the model size increases, its shape gradually tends to become smooth and approaches an ellipse. The shape of the permeability contours of the DFN-H model is slender compared to the DFN-I model, indicating a larger difference between the minimum and maximum values of the permeability. For the DFN-H model, there is no appropriate approximation for the equivalent permeability tensor over the studied model size range, whereas a good fit of the permeability ellipsoid is obtained for the DFN-I model, and the 3D directional permeability is calculated at this model scale. The corresponding magnitude and direction of the principal permeability are obtained, which can be viewed as the equivalent permeability tensor for the approximated continuum medium. Full article
(This article belongs to the Section Hydraulics and Hydrodynamics)
Show Figures

Figure 1

Back to TopTop