Sign in to use this feature.

Years

Between: -

Subjects

remove_circle_outline
remove_circle_outline
remove_circle_outline
remove_circle_outline
remove_circle_outline
remove_circle_outline
remove_circle_outline
remove_circle_outline
remove_circle_outline

Journals

remove_circle_outline
remove_circle_outline
remove_circle_outline
remove_circle_outline
remove_circle_outline
remove_circle_outline
remove_circle_outline
remove_circle_outline
remove_circle_outline
remove_circle_outline
remove_circle_outline
remove_circle_outline
remove_circle_outline
remove_circle_outline
remove_circle_outline
remove_circle_outline
remove_circle_outline
remove_circle_outline
remove_circle_outline
remove_circle_outline
remove_circle_outline
remove_circle_outline
remove_circle_outline
remove_circle_outline
remove_circle_outline
remove_circle_outline

Article Types

Countries / Regions

remove_circle_outline
remove_circle_outline
remove_circle_outline
remove_circle_outline
remove_circle_outline
remove_circle_outline
remove_circle_outline

Search Results (2,144)

Search Parameters:
Keywords = effect of number of openings

Order results
Result details
Results per page
Select all
Export citation of selected articles as:
15 pages, 1328 KB  
Article
Schinus terebinthifolia Raddi. Leaf Lectin (SteLL) Demonstrates Anxiolytic and Antidepressant Effects Under Monoaminergic Deficiency Induced by Reserpine
by Bárbara Raíssa Ferreira de Lima, Leydianne Leite de Siqueira Patriota, Amanda de Oliveira Marinho, Thiago Lucas da Silva Lira, Jainaldo Alves da Costa, Beatriz Galdino Ribeiro, Daniella Carla Napoleão, Jorge Vinícius Fernandes Lima Cavalcanti, Michelly Cristiny Pereira, Moacyr Jesus Barreto de Melo Rego, Maira Galdino da Rocha Pitta, Thiago Henrique Napoleão, Michelle Melgarejo da Rosa and Patrícia Maria Guedes Paiva
Plants 2025, 14(19), 3048; https://doi.org/10.3390/plants14193048 (registering DOI) - 1 Oct 2025
Abstract
Schinus terebinthifolia Raddi. leaf lectin (SteLL) has been investigated for its neuromodulatory effects. Given the etiological diversity of depression, this study evaluated the effects of SteLL in a pharmacological model induced by reserpine. Mice were administered reserpine intraperitoneally for 10 days to induce [...] Read more.
Schinus terebinthifolia Raddi. leaf lectin (SteLL) has been investigated for its neuromodulatory effects. Given the etiological diversity of depression, this study evaluated the effects of SteLL in a pharmacological model induced by reserpine. Mice were administered reserpine intraperitoneally for 10 days to induce anxiety- and depression-like symptoms. Before reserpine administration, animals also received SteLL (2 or 4 mg/kg, i.p.) or fluoxetine (10 mg/kg, i.p.) for 10 days. Behavioral assessments included the open field test, elevated plus maze, and tail suspension test. Body weight variation and brain levels of cytokines, noradrenaline, dopamine, and serotonin were also analyzed. In reserpine-treated mice, SteLL administration (2 and 4 mg/kg) produced anxiolytic-like effects in the open field (reduced number of rearings) and elevated plus maze (increased time spent in open arms) and significantly reduced immobility time in the tail suspension test. Additionally, SteLL prevented the body weight loss typically induced by reserpine. SteLL treatment modulated neuroinflammation by reducing IL-2 and increasing IL-10 levels in the brain. SteLL treatment restored dopaminergic and noradrenergic levels, with no effect on serotonin. In conclusion, SteLL was effective in reserpine-induced monoaminergic depletion, reversing behavioral and biochemical alterations characteristic of depression, likely through dopaminergic, noradrenergic, and anti-inflammatory mechanisms. Full article
Show Figures

Figure 1

19 pages, 1466 KB  
Article
Long-Term Winter Cover Crops Alter the Soil Microbial Biomass and Enzyme Activities in Brazilian Oxisols
by Cezar Francisco Araujo-Junior, Aretusa Daniela Resende Mendes, Mario Miyazawa and Diva Souza Andrade
Agronomy 2025, 15(10), 2323; https://doi.org/10.3390/agronomy15102323 - 30 Sep 2025
Abstract
The diversification of cover crops grown in soils with granulometric variability may potentially enhance microbial community and enzyme activities. Thus, the main goal was to evaluate the effect of autumn/winter cover crop sequences and cash crops in spring/summer on soil microbial biomass and [...] Read more.
The diversification of cover crops grown in soils with granulometric variability may potentially enhance microbial community and enzyme activities. Thus, the main goal was to evaluate the effect of autumn/winter cover crop sequences and cash crops in spring/summer on soil microbial biomass and enzyme activities. The experiment was conducted in open-field microplots (10 m × 1 m × 0.7 m), containing soils from B horizon of five Oxisols with granulometric variability and clay content ranging from 17 to 80 dag kg−1. The treatments were three cover crops and a winter fallow with a completely randomized experimental design with three replicates. Soil samples from the 0–10 cm layer were collected to analyze soil microbial biomass of carbon and nitrogen, enzyme activities of the acid phosphatase, arylsulfatase, urease, and fluorescein diacetate hydrolysis. The number of nodules in soybean roots was average 63 ± 14.42 nodules per plant and dry mass of nodules was 169 ± 13.74 mg plant−1. Soybean nodulation and N uptake ensured the supply of nitrogen to the soybean plants with 331 ± 82 mg plant−1. Overall, diversified autumn/winter cover crop sequences provide plant residue, containing nutrients, and different carbon/nitrogen, which alters microbial biomass, the ratio of Cmic/Nmic, basal respiration, and soil enzyme activities within each Oxisol with different particle size distribution. Full article
(This article belongs to the Special Issue Tillage Systems and Fertilizer Application on Soil Health)
15 pages, 2750 KB  
Article
Study on the Spreading Dynamics of Droplet Pairs near Walls
by Jing Li, Junhu Yang, Xiaobin Liu and Lei Tian
Fluids 2025, 10(10), 252; https://doi.org/10.3390/fluids10100252 - 26 Sep 2025
Abstract
This study develops an incompressible two-phase flow solver based on the open-source OpenFOAM platform, employing the volume-of-fluid (VOF) method to track the gas–liquid interface and utilizing the MULES algorithm to suppress numerical diffusion. This study provides a comprehensive investigation of the spreading dynamics [...] Read more.
This study develops an incompressible two-phase flow solver based on the open-source OpenFOAM platform, employing the volume-of-fluid (VOF) method to track the gas–liquid interface and utilizing the MULES algorithm to suppress numerical diffusion. This study provides a comprehensive investigation of the spreading dynamics of droplet pairs near walls, along with the presentation of a corresponding mathematical model. The numerical model is validated through a two-dimensional axisymmetric computational domain, demonstrating grid independence and confirming its reliability by comparing simulation results with experimental data in predicting drConfirmedoplet collision, spreading, and deformation dynamics. The study particularly investigates the influence of surface wettability on droplet impact dynamics, revealing that increased contact angle enhances droplet retraction height, leading to complete rebound on superhydrophobic surfaces. Finally, a mathematical model is presented to describe the relationship between spreading length, contact angle, and Weber number, and the study proves its accuracy. Analysis under logarithmic coordinates reveals that the contact angle exerts a significant influence on spreading length, while a constant contact angle condition yields a slight monotonic increase in spreading length with the Weber number. These findings provide an effective numerical and mathematical tool for analyzing the spreading dynamics of droplet pairs. Full article
Show Figures

Figure 1

16 pages, 4143 KB  
Article
Assessing the Role of Socio-Demographic Triggers on Kolmogorov-Based Complexity in Spoken English Varieties
by Katharina Ehret
Entropy 2025, 27(10), 1009; https://doi.org/10.3390/e27101009 - 26 Sep 2025
Abstract
This paper assesses the role of socio-demographic triggers on Kolmogorov-based complexity in spoken English varieties. It thus contributes to the ongoing debate on contact and complexity in the sociolinguistic typological research community. Currently, evidence on whether socio-demographic triggers influence the morphosyntactic complexity of [...] Read more.
This paper assesses the role of socio-demographic triggers on Kolmogorov-based complexity in spoken English varieties. It thus contributes to the ongoing debate on contact and complexity in the sociolinguistic typological research community. Currently, evidence on whether socio-demographic triggers influence the morphosyntactic complexity of languages is controversial and inconclusive. Particularly controversial is the influence of the proportion of non-native speakers and the number of native speakers, which are both common proxies for language contact. In order to illuminate the issue from an English-varieties perspective, I use regression analysis to test several socio-demographic triggers in a corpus database of spoken English varieties. Language complexity here is operationalised in terms of Kolmogorov-based morphological and syntactic complexity. The results only partially support the idea that socio-demographic triggers influence morphosyntactic complexity in English varieties, i.e., speaker-related triggers turn out to be negative but non-significant. Yet, net migration rate shows a positive significant effect on morphological complexity which needs to be seen in the global context of English as a commodity and unequal access to English. I thus argue that socioeconomic triggers are better predictors for complexity than demographic speaker numbers. In sum, the paper opens up new horizons for research on language complexity. Full article
Show Figures

Figure 1

26 pages, 5170 KB  
Article
Minocycline Treatment Improves Memory and Reduces Anxiety by Lowering Levels of Brain Amyloid Precursor Protein and Indoleamine 2,3-Dioxygenase in a Rat Model of Streptozotocin-Induced Alzheimer’s Disease
by Grzegorz Świątek, Jowita Nowakowska-Gołacka, Monika Słomińska-Wojewódzka, Wojciech Glac, Oliwia Harackiewicz, Ewelina Kurowska-Rucińska and Danuta Wrona
Int. J. Mol. Sci. 2025, 26(19), 9397; https://doi.org/10.3390/ijms26199397 - 26 Sep 2025
Abstract
Minocycline (MINO), a classic antibiotic, may have psychotropic activity related to the modulation of the tryptophan-kynurenine pathway. In this study, we investigated the effects of MINO on (1) memory and anxiety behaviors, (2) the modulation of brain levels of amyloid precursor protein (APP) [...] Read more.
Minocycline (MINO), a classic antibiotic, may have psychotropic activity related to the modulation of the tryptophan-kynurenine pathway. In this study, we investigated the effects of MINO on (1) memory and anxiety behaviors, (2) the modulation of brain levels of amyloid precursor protein (APP) and 2,3-indoleamine dioxygenase (IDO1) levels, and (3) peripheral inflammatory markers in a streptozotocin (STZ)-induced rat model of sporadic Alzheimer’s disease (sAD). After repeated treatment with a dose of 35 mg/kg MINO for seven consecutive days, male Wistar rats with sAD showed (1) improvements in early (29 days after injection, probe test) reference memory (decreased latency to reach the platform, increased time in the critical quadrant of the Morris water maze) and anxiety disorders (increased time in the open arms of the elevated plus maze; increased exploration and entrances in the center of the white–light illuminated open field) 45–46 and 90–91 days after STZ injection; (2) reduced APP and IDO1 levels in the hippocampus and prefrontal cortex; and (3) induction of anti-inflammatory response in blood (increased TCD4+ lymphocyte number and interleukin-10 production). This suggests that MINO, due to its anti-inflammatory action, improves memory and anxiety behavior related to sAD, indicating its neuroprotective and psychotropic properties. Full article
(This article belongs to the Special Issue Drug Repurposing: Emerging Approaches to Drug Discovery (2nd Edition))
Show Figures

Figure 1

18 pages, 31572 KB  
Article
Polarimetric Time-Series InSAR for Surface Deformation Monitoring in Mining Area Using Dual-Polarization Data
by Xingjun Ju, Sihua Gao and Yongfeng Li
Sensors 2025, 25(19), 5968; https://doi.org/10.3390/s25195968 - 25 Sep 2025
Abstract
Timely and reliable surface deformation monitoring is critical for hazard prevention and resource management in mining areas. However, traditional Time-Series Interferometric (TSI) Synthetic Aperture Radar techniques often suffer from low coherent point density in mining environments, limiting their effectiveness. To overcome this limitation, [...] Read more.
Timely and reliable surface deformation monitoring is critical for hazard prevention and resource management in mining areas. However, traditional Time-Series Interferometric (TSI) Synthetic Aperture Radar techniques often suffer from low coherent point density in mining environments, limiting their effectiveness. To overcome this limitation, we propose an adaptive Polarimetric TSI (PolTSI) method that exploits dual-polarization Sentinel-1 data to achieve more reliable deformation monitoring in complex mining terrains. The method employs a dual-strategy optimization: amplitude dispersion–based optimization for Permanent Scatterer (PS) pixels and minimum mean square error (MMSE)-based polarimetric filtering followed by coherence maximization for Distributed Scatterer (DS) pixels. Experimental results from an open-pit mining area demonstrate that the proposed approach significantly improves phase quality and spatial coverage. In particular, the number of coherent monitoring points increased from 31,183 with conventional TSI to 465,328 using the proposed approach, corresponding to a 1392% improvement. This substantial enhancement confirms the method’s robustness in extracting deformation signals from low-coherence, heterogeneous mining surfaces. As one of the few studies to apply Polarimetric InSAR (Pol-InSAR) in active mining regions, our work demonstrates the underexplored potential of dual-pol SAR data for improving both the spatial density and reliability of time-series deformation mapping. The results provide a solid technical foundation for large-scale, high-precision surface monitoring in complex mining environments. Full article
(This article belongs to the Special Issue Application of SAR and Remote Sensing Technology in Earth Observation)
Show Figures

Figure 1

15 pages, 1811 KB  
Article
Assessment of Pollen Limitation and Pollinators’ Contribution in Soybean (Glycine max)
by Silvio Eugenio Castillo, Roxana Aragón and Natacha Chacoff
Plants 2025, 14(19), 2964; https://doi.org/10.3390/plants14192964 - 24 Sep 2025
Viewed by 35
Abstract
Soybean (Glycine max) is a predominantly self-pollinating crop; however, its flowers exhibit traits associated with insect pollination. While several studies report yield benefits from floral visitation, others suggest little or no effect, and few have assessed pollen limitation through direct hand-pollination [...] Read more.
Soybean (Glycine max) is a predominantly self-pollinating crop; however, its flowers exhibit traits associated with insect pollination. While several studies report yield benefits from floral visitation, others suggest little or no effect, and few have assessed pollen limitation through direct hand-pollination experiments. Here, we assess pollinator contribution and pollen limitation through two manipulative common garden experiments using different soybean cultivars. First, we assessed the contribution of pollinators by comparing reproductive variables between caged (pollinator excluded) and open-pollinated plants over two growing seasons. Second, we supplemented flowers with cross-pollen to test for pollen limitation, evaluating pollen-tube growth, pod set, seed number per pod, and seed weight. Pollinator exclusion did not significantly reduce total pod or seed production per plant, but open pollination increased seed set (seeds per flower) by ~16%. In contrast, hand supplementation substantially improved reproductive success at the flower level, tripling pod set probability and increasing seed number per pod by 40%. Additionally, both open-pollinated and hand-pollinated flowers exhibited higher pollen-tube growth relative to autonomous selfing. These findings highlight that even in largely self-compatible crops like soybean, additional pollen input can enhance reproductive success and help bridge the gap between the ecological and agronomic dimensions of pollination. Full article
Show Figures

Figure 1

18 pages, 4909 KB  
Article
MM-129 Counteracts 5-Fluorouracil-Induced Cellular Senescence in Colon Cancer via SIRT1/STAT3 Signaling Pathway
by Hubert Klepacki, Beata Sieklucka, Joanna Kalafut, Krystyna Kowalczuk, Arkadiusz Surazynski, Mariusz Mojzych, Anna Pryczynicz, Dariusz Pawlak, Natascia Tiso and Justyna Magdalena Hermanowicz
Cells 2025, 14(19), 1498; https://doi.org/10.3390/cells14191498 - 24 Sep 2025
Viewed by 37
Abstract
Cellular senescence plays a critical role in tumorigenesis and is recognized as a hallmark of colorectal cancer (CRC). Emerging evidence suggests that 5-fluorouracil (5-FU)-induced senescence may contribute to chemoresistance and tumor recurrence. Here, we investigated the effect of 5-FU on colon cancer cell [...] Read more.
Cellular senescence plays a critical role in tumorigenesis and is recognized as a hallmark of colorectal cancer (CRC). Emerging evidence suggests that 5-fluorouracil (5-FU)-induced senescence may contribute to chemoresistance and tumor recurrence. Here, we investigated the effect of 5-FU on colon cancer cell senescence and whether MM-129 (pyrazolo[4,3-e]tetrazolo[4,5-b][1,2,4]triazine sulfonamide) can antagonize this activity. Senescence was identified by the expression of senescence-associated β-galactosidase (SA-β-gal) and cyclin-dependent kinase inhibitor 1A (p21) using qPCR, microscopy, flow cytometry, and immunohistochemistry. We also measured interleukin 6 (IL-6) and tumor necrosis factor (TNF-α) as key SASP cytokines, along with E-cadherin (CDH1), a marker of epithelial integrity. The SIRT1/STAT3 pathway was evaluated to elucidate the mechanism of MM-129′s action. MM-129 counteracted 5-FU-induced senescence in colon cancer models, reducing p21 levels in zebrafish xenografts and the number of SA-β-gal-positive cells in vitro and in tumor tissues from DLD-1 and HT-29 mouse xenografts. MM-129 also inhibited senescence-associated responses by suppressing SASP cytokines (IL-6, TNF-α) and restoring E-cadherin (CDH1), and it modulated the SIRT1/STAT3 axis, which may underlie the observed senotherapeutic effects. In conclusion, MM-129 represents a novel senotherapeutic candidate. By modulating the SIRT1/STAT3 axis, it may suppress the SASP and weaken pro-survival signaling, thereby facilitating selective clearance of senescent cells. Integrating senotherapeutics with conventional cancer therapies may enhance efficacy and open new avenues for translational research. Full article
(This article belongs to the Section Cellular Aging)
Show Figures

Figure 1

24 pages, 5557 KB  
Article
The Antidepressant Effect of Targeted Release of Ketamine-Loaded Nanodroplets Stimulated by Low-Intensity Focused Ultrasound
by Bailing Wu, Yu Xu, Yuhang Xie, Youzhuo Li, Yue Huang, Yuran Feng and Mei Zhu
Pharmaceutics 2025, 17(10), 1251; https://doi.org/10.3390/pharmaceutics17101251 - 24 Sep 2025
Viewed by 91
Abstract
Objectives: Ketamine has demonstrated rapid and sustained antidepressant effects; however, its clinical utility is limited by the risk of addiction and systemic side effects. This study aimed to develop ketamine-loaded nanodroplets (Ket-NDs) with high encapsulation efficiency (EE) and stability for targeted low-dose [...] Read more.
Objectives: Ketamine has demonstrated rapid and sustained antidepressant effects; however, its clinical utility is limited by the risk of addiction and systemic side effects. This study aimed to develop ketamine-loaded nanodroplets (Ket-NDs) with high encapsulation efficiency (EE) and stability for targeted low-dose intravenous (IV) administration in a mice model of depression. Low-intensity focused ultrasound (LIFU) was employed to induce transcranial, region-specific drug release in the lateral habenula (LHb). Methods: Ket-NDs were synthesized using a thin-film hydration method with sonication and emulsification, incorporating perfluoropentane as the core material. Characterization was performed using light microscopy, cryogenic scanning electron microscopy (cryo-SEM), transmission electron microscopy, and dynamic light scattering (DLS). Drug EE and loading efficiency (LE) were quantified by reversed-phase high-performance liquid chromatography. A chronic restraint stress model was established, and Ket-NDs were administered intravenously followed by LIFU targeting the LHb. Antidepressant efficacy and biosafety were systematically evaluated. Results: (1) Ket-NDs exhibited uniform spherical morphology and a narrow size distribution, as confirmed by DLS (particle size: 139.75 ± 9.43 nm; Polydispersity index: 0.225 ± 0.025) and cryo-SEM analysis (number-average diameter: 109.5 ± 10.4 nm). The zeta potential was −15.93 ± 5.906 mV, and the formulation remained stable under 4 °C storage. (2) Ket-NDs demonstrated high EE (78.25 ± 16.13%) and LE (15.55 ± 4.49%). (3) In depressive mice, IV administration of Ket-NDs followed by LIFU targeting the LHb significantly improved behavioral outcomes: increased locomotor activity in the open field test, elevated sucrose preference index, and reduced immobility time in the tail suspension test. (4) Safety assessments revealed no significant organ toxicity or brain tissue damage in ultrasound-exposed regions. Conclusions: In summary, this study developed stable Ket-NDs. When combined with LIFU, they enable precise regional drug delivery to the brain, showcasing a promising treatment strategy for depression with reduced systemic side effects. Full article
Show Figures

Figure 1

32 pages, 1122 KB  
Article
Distribution of Heavy-Element Abundances Generated by Decay from a Quasi-Equilibrium State
by Gerd Röpke, David Blaschke and Friedrich K. Röpke
Universe 2025, 11(10), 323; https://doi.org/10.3390/universe11100323 - 23 Sep 2025
Viewed by 90
Abstract
We present a freeze-out approach for describing the formation of heavy elements in expanding nuclear matter. Applying concepts used in modeling heavy-ion collisions or ternary fission, we determine the abundances of heavy elements taking into account in-medium effects such as Pauli blocking and [...] Read more.
We present a freeze-out approach for describing the formation of heavy elements in expanding nuclear matter. Applying concepts used in modeling heavy-ion collisions or ternary fission, we determine the abundances of heavy elements taking into account in-medium effects such as Pauli blocking and the Mott effect, which describes the dissolution of nuclei at high densities of nuclear matter. With this approach, we search for a universal initial distribution in a quasi-equilibrium state from which the coarse-grained pattern of the solar abundances of heavy elements freezes out and evolves by radioactive decay of the excited states. The universal initial state is characterized by the Lagrange parameters, which are related to temperature and chemical potentials of neutrons and protons. We show that such a state exists and determine a temperature of 5.266 MeV, a neutron chemical potential of 940.317 MeV and a proton chemical potential of 845.069 MeV, with a baryon number density of 0.013 fm−3 and a proton fraction of 0.13. Heavy neutron-rich nuclei such as the hypothetical double-magic nucleus 358Sn appear in the initial distribution and contribute to the observed abundances after fission. We discuss astrophysical scenarios for the realization of this universal initial distribution for heavy-element nucleosynthesis, including supernova explosions, neutron star mergers and the inhomogeneous Big Bang. The latter scenario may be of interest in the light of early massive objects observed with the James Webb Space Telescope and opens new perspectives on the universality of the observed r-process patterns and the lack of observations of population III stars. Full article
(This article belongs to the Section High Energy Nuclear and Particle Physics)
Show Figures

Figure 1

17 pages, 2969 KB  
Article
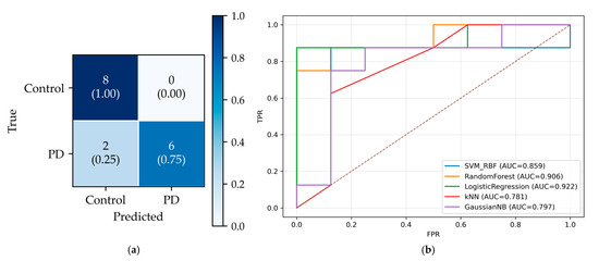
Multi-Domain CoP Feature Analysis of Functional Mobility for Parkinson’s Disease Detection Using Wearable Pressure Insoles
by Thathsara Nanayakkara, H. M. K. K. M. B. Herath, Hadi Sedigh Malekroodi, Nuwan Madusanka, Myunggi Yi and Byeong-il Lee
Sensors 2025, 25(18), 5859; https://doi.org/10.3390/s25185859 - 19 Sep 2025
Viewed by 318
Abstract
Parkinson’s disease (PD) impairs balance and gait through neuromotor dysfunction, yet conventional assessments often overlook subtle postural deficits during dynamic tasks. This study evaluated the diagnostic utility of center-of-pressure (CoP) features captured by pressure-sensing insoles during the Timed Up and Go (TUG) test. [...] Read more.
Parkinson’s disease (PD) impairs balance and gait through neuromotor dysfunction, yet conventional assessments often overlook subtle postural deficits during dynamic tasks. This study evaluated the diagnostic utility of center-of-pressure (CoP) features captured by pressure-sensing insoles during the Timed Up and Go (TUG) test. Using 39 PD and 38 control participants from the recently released open-access WearGait-PD dataset, the authors extracted 144 CoP features spanning positional, dynamic, frequency, and stochastic domains, including per-foot averages and asymmetry indices. Two scenarios were analyzed: the complete TUG and its 3 m walking segment. Model development followed a fixed protocol with a single participant-level 80/20 split; sequential forward selection with five-fold cross-validation optimized the number of features within the training set. Five classifiers were evaluated: SVM-RBF, logistic regression (LR), random forest (RF), k-nearest neighbors (k-NN), and Gaussian naïve Bayes (NB). LR performed best on the held-out test set (accuracy = 0.875, precision = 1.000, recall = 0.750, F1 = 0.857, ROC-AUC = 0.921) using a 23-feature subset. RF and SVM-RBF each achieved 0.812 accuracy. In contrast, applying the identical pipeline to the 3 m walking segment yielded lower performance (best model: k-NN, accuracy = 0.688, F1 = 0.615, ROC–AUC = 0.734), indicating that the multi-phase TUG task captures PD-related balance deficits more effectively than straight walking. All four feature families contributed to classification performance. Dynamic and frequency-domain descriptors, often appearing in both average and asymmetry form, were most consistently selected. These features provided robust magnitude indicators and offered complementary insights into reduced control complexity in PD. Full article
(This article belongs to the Section Wearables)
Show Figures

Figure 1

28 pages, 9916 KB  
Article
Understanding Surface Water Dynamics in Post-Mining Area Through Multi-Source Remote Sensing and Spatial Regression Analysis
by Anna Buczyńska, Dariusz Głąbicki, Anna Kopeć and Paulina Modlińska
Remote Sens. 2025, 17(18), 3218; https://doi.org/10.3390/rs17183218 - 17 Sep 2025
Viewed by 379
Abstract
Despite successful land reclamation efforts, post-mining areas are still prone to secondary effects of mineral extraction. These effects include surface deformations, damage to infrastructure and buildings, and periodic or permanent changes to surface water resources. This study focused on analyzing a former copper [...] Read more.
Despite successful land reclamation efforts, post-mining areas are still prone to secondary effects of mineral extraction. These effects include surface deformations, damage to infrastructure and buildings, and periodic or permanent changes to surface water resources. This study focused on analyzing a former copper mine in southwest Poland in terms of surface water changes, which may be caused by the restoration of groundwater conditions in the region after mine closure. The main objective of the study was to detect areas with statistically significant changes in surface water between 2015 and 2024, as well as to identify the main factors influencing the observed changes. The methodology integrated open remote sensing datasets from Landsat and Sentinel-1 missions for deriving spectral indices—Modified Normalized Difference Water Index (MNDWI) and Normalized Difference Moisture Index (NDMI), as well as Surface Soil Moisture index (SSM); spatial statistics methods, including Emerging Hot Spot analysis; and regression models—Random Forest Regression (RFR) and Geographically Weighted Regression (GWR). The results obtained indicated a general increase in vegetation water content, a reduction in the extent of surface water, and minor soil moisture changes during the analyzed period. The Emerging Hot Spot analysis revealed a number of new hot spots, indicating regions with statistically significant increases in surface water content in the study area. Out of the investigated regression models, global regression (RFR) outperformed local (GWR) models, with R2 ranging between 74.7% and 87.3% for the studied dependent variables. The most important factors in terms of influence were the distance from groundwater wells, surface topography, vegetation conditions and distance from active mining areas, while surface geology conditions and permeability had the least importance in the regression models. Overall, this study offers a comprehensive framework for integrating multi-source data to support the analysis of environmental changes in post-mining regions. Full article
Show Figures

Figure 1

12 pages, 230 KB  
Article
Clinical Outcomes of Gonioscopy-Assisted Transluminal Trabeculotomy in Eyes After Failed Trabeculectomy
by Agnieszka Ćwiklińska-Haszcz, Dominika Wróbel-Dudzińska and Ewa Kosior-Jarecka
J. Clin. Med. 2025, 14(18), 6524; https://doi.org/10.3390/jcm14186524 - 17 Sep 2025
Viewed by 249
Abstract
Background: This study aims to present the clinical outcomes, safety profile, and mid-term results of gonioscopy-assisted transluminal trabeculotomy (GATT) in eyes with failed trabeculectomy. Methods: The studied group consisted of 62 patients after failed trabeculectomy. All patients underwent GATT, as a [...] Read more.
Background: This study aims to present the clinical outcomes, safety profile, and mid-term results of gonioscopy-assisted transluminal trabeculotomy (GATT) in eyes with failed trabeculectomy. Methods: The studied group consisted of 62 patients after failed trabeculectomy. All patients underwent GATT, as a standalone procedure or in combination with cataract surgery (Phaco-GATT), between 2021 and 2023 and had at least 12 months of follow-up. The patients were examined at 1 day, 7 days, 1 month, 3 months, 6 months, and 12 months after surgery, with evaluation of visual acuity, intraocular pressure (IOP), number of antiglaucoma drops, and possible surgical complications. Results: The mean IOP before surgery was 37.22 ± 9.07 mmHg, and after the GATT procedure, it significantly decreased to 15.91 ± 5.28 mmHg at the 12-month follow-up. A comparison of patients with one or more previous antiglaucoma procedures showed no differences. A comparison of the degrees of successful canulating and deroofing of Schlemm’s canal revealed no statistical significance concerning IOP values or the number of medications. When comparing the IOP between the patients after standalone GATT and Phaco-GATT, a tendency for higher IOP values in the latter group was observed. In 21 (33.3%) patients, hyphema affecting visual acuity was observed early after surgery, which resolved spontaneously. Six patients (9.7%) needed additional surgery to obtain the target pressure. Conclusions: GATT is an effective and safe IOP-lowering surgical option in open-angle glaucoma patients with failed trabeculectomy. Full article
(This article belongs to the Special Issue Clinical Debates in Minimally Invasive Glaucoma Surgery (MIGS))
22 pages, 4194 KB  
Article
Study on the Evaluation System of Rock Mass Quality of Slopes Under the Influence of Freeze–Thaw Cycles
by Zhenling Gao, Penghai Zhang, Ning Gao, Wanni Yan, Honglei Liu and Jun Hou
Appl. Sci. 2025, 15(18), 10010; https://doi.org/10.3390/app151810010 - 12 Sep 2025
Viewed by 214
Abstract
This study takes the Wushan open-pit mine, a typical open-pit mine in cold regions, as the engineering background. Based on the measured extreme temperature values of slope rock masses over one year, a freeze–thaw cycle testing scheme is designed. By conducting experiments under [...] Read more.
This study takes the Wushan open-pit mine, a typical open-pit mine in cold regions, as the engineering background. Based on the measured extreme temperature values of slope rock masses over one year, a freeze–thaw cycle testing scheme is designed. By conducting experiments under varying numbers of freeze–thaw cycles and burial depths, the degradation patterns of uniaxial compressive strength and tensile strength of the rock are revealed. The rock material constant mi, representing the rock’s hardness and brittleness, is calculated based on the experimental results. Furthermore, shear tests are carried out on rock masses containing through-going structural planes and infill materials to derive the variation patterns of cohesion and internal friction angle. A comprehensive analysis is conducted on the effects of freeze–thaw cycling and burial depth on rock mechanical properties and infill material parameters, leading to the construction of a spatial variability characterization model for mechanical parameters. Finally, the rock mass fracture coefficient Kw and infill fracture coefficient Kf are proposed to modify the Hoek–Brown failure criterion under freeze–thaw conditions, thereby providing theoretical support for slope stability analysis and engineering design in cold regions. Full article
(This article belongs to the Special Issue Rock Mechanics and Mining Engineering)
Show Figures

Figure 1

14 pages, 2899 KB  
Article
Shadow Analysis of Photovoltaic Systems Deployed Near Obscuring Walls
by Joseph Appelbaum, Assaf Peled and Avi Aronescu
Energies 2025, 18(18), 4839; https://doi.org/10.3390/en18184839 - 11 Sep 2025
Viewed by 210
Abstract
As photovoltaic (PV) deployment has expanded from rural sites to the built environment, rooftops are increasingly used for electricity generation. In these settings, the visible sky is often partially obstructed by adjacent walls, producing shading that reduces energy yield. This study quantifies the [...] Read more.
As photovoltaic (PV) deployment has expanded from rural sites to the built environment, rooftops are increasingly used for electricity generation. In these settings, the visible sky is often partially obstructed by adjacent walls, producing shading that reduces energy yield. This study quantifies the effect of wall shading on incident solar radiation and system losses, and contrasts it with inter-row (mutual) shading experienced by PV arrays in open fields. Systems installed near obscuring walls are subject to both phenomena. To our knowledge, the specific impact of wall shading on PV systems has not been examined comprehensively. We characterize how wall height governs shadow geometry, determine the resulting numbers of shaded and unshaded cells and modules, and assess how shaded modules influence the performance of the remaining modules in a series string. For the parameter set analyzed, annual energy losses are 7.7% due to wall shading and 4% due to inter-row shading, yielding a combined loss of 10.2%. The methods and results provide a practical basis for designers to estimate shading losses and expected energy production for PV systems sited near obscuring walls. Full article
Show Figures

Graphical abstract

Back to TopTop