Distribution of Heavy-Element Abundances Generated by Decay from a Quasi-Equilibrium State
Abstract
1. Introduction
2. Methods
2.1. Analogies to Nuclear Cluster Formation in Laboratory Experiments
- The observed yields are not identical with the initial (primordial) yields because of afterburner processes, in particular the decay of unstable states.
- The initial (primordial) distribution is not a mixture of non-interacting stable nuclei. We have to consider excited states and continuum correlations, but also in-medium effects such as self-energy shifts and Pauli blocking.
2.2. Distribution of the Solar Accumulated Mass Fractions
2.3. The Method of the Nonequilibrium Statistical Operator
2.4. Green’s Function Method
3. Results
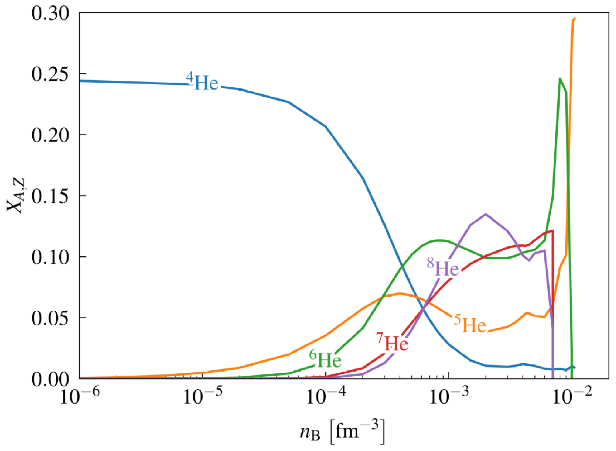
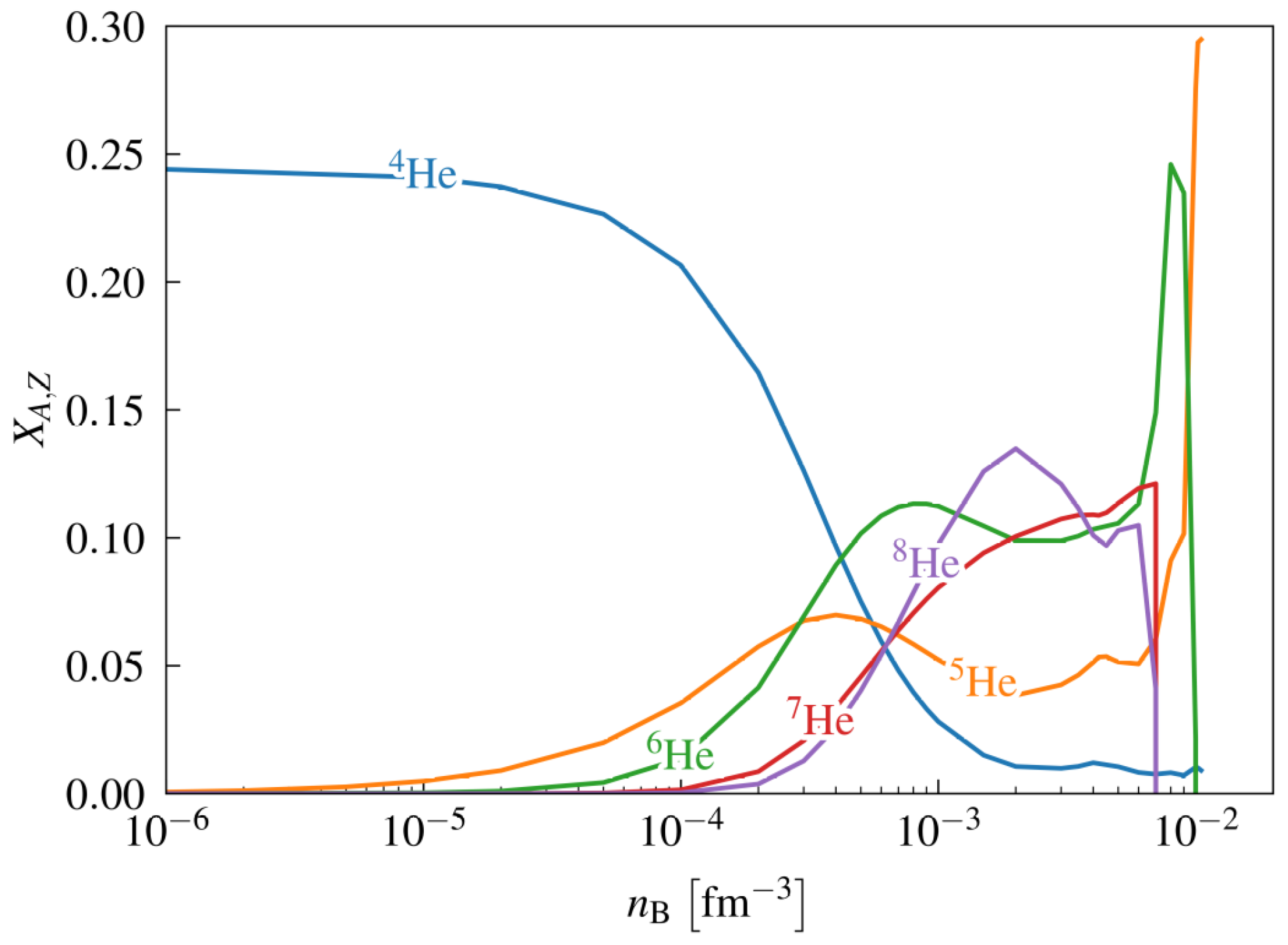
3.1. Initial Distribution for the Light Elements H and He
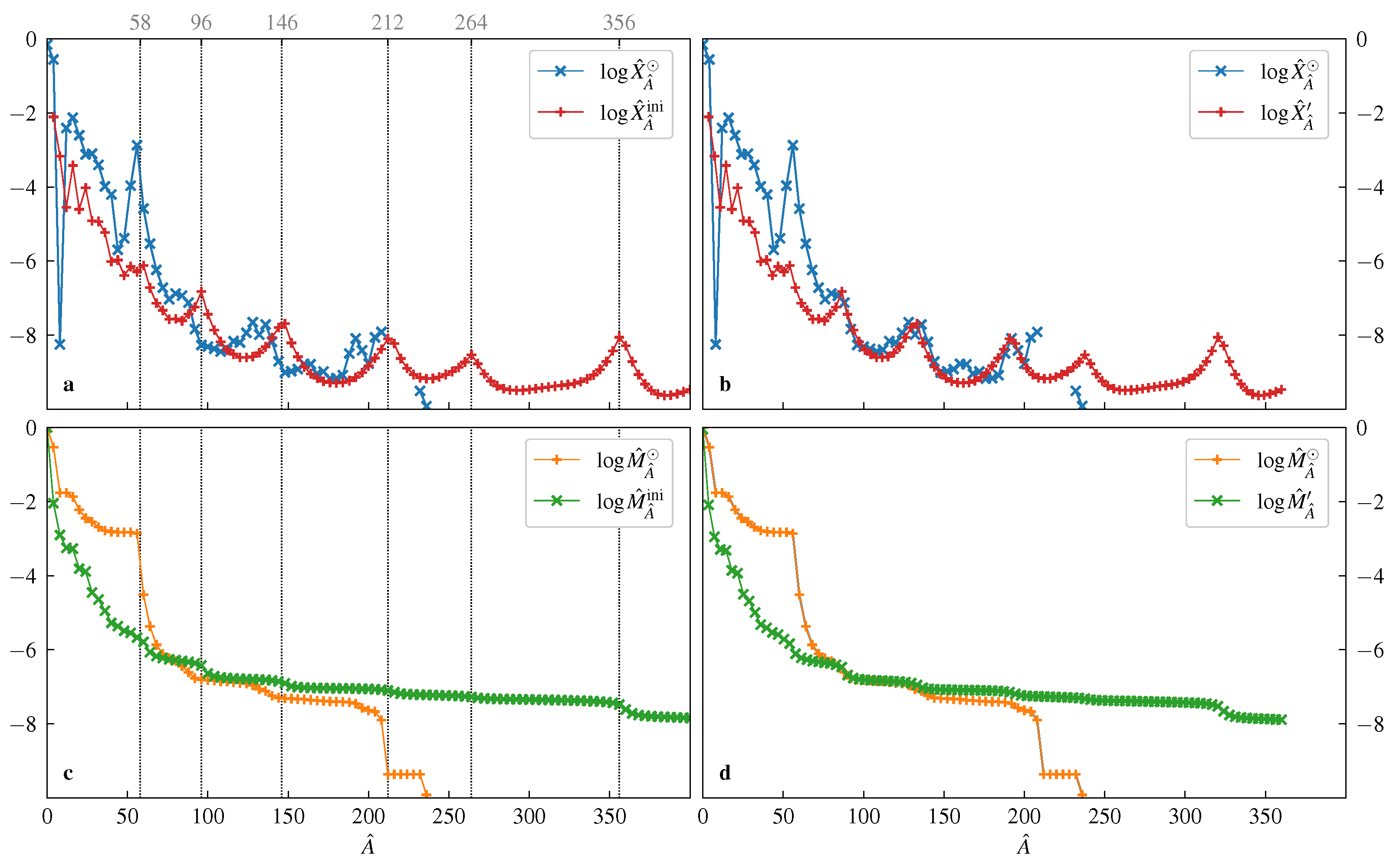
3.2. Heavy-Element Chemical Freeze-Out and the Final Abundances of Isotopes
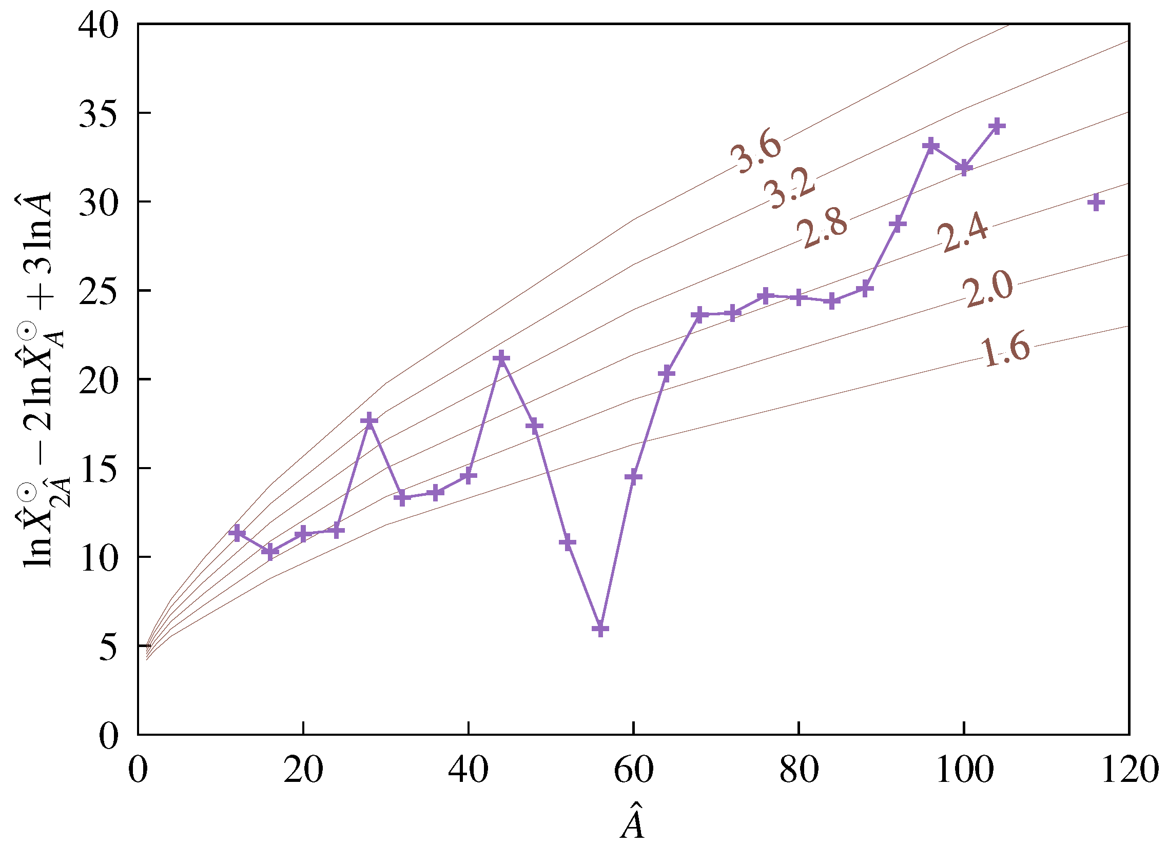
3.3. Initial Distribution from the Heavy-Element Abundances
4. Discussion
4.1. HEFO and In-Medium Corrections
4.2. Phase Transition and Distribution of Lagrange Parameters
4.3. Inhomogeneous Big-Bang Nucleosynthesis
5. Conclusions
Author Contributions
Funding
Data Availability Statement
Conflicts of Interest
Correction Statement
Appendix A. Freeze-Out Approach for Laboratory Experiments
Appendix B. Coarse-Grained Pattern of Solar Abundances
| 0 | −0.1523 | 0.0000 | … | 0.0000 |
| 4 | −0.5555 | −0.5291 | −2.1068 | −2.0424 |
| 8 | −8.2524 | −1.7580 | −3.1644 | −2.9030 |
| 12 | −2.4070 | −1.7580 | −4.5508 | −3.2476 |
| 16 | −2.1284 | −1.8684 | −3.4172 | −3.2698 |
| 20 | −2.6028 | −2.2147 | −4.6030 | −3.8108 |
| 24 | −3.1198 | −2.4432 | −4.0245 | −3.8873 |
| 28 | −3.1011 | −2.5459 | −4.9128 | −4.4543 |
| 32 | −3.4024 | −2.6876 | −4.9323 | −4.6400 |
| 36 | −3.9822 | −2.7807 | −5.2269 | −4.9501 |
| 40 | −4.2017 | −2.8089 | −6.0153 | −5.2767 |
| 44 | −5.6959 | −2.8268 | −5.9716 | −5.3642 |
| 48 | −5.3849 | −2.8274 | −6.3886 | −5.4874 |
| 52 | −3.9617 | −2.8286 | −6.1494 | −5.5457 |
| 56 | −2.8715 | −2.8618 | −6.2884 | −5.6701 |
| 60 | −4.5829 | −4.5167 | −6.1171 | −5.7897 |
| 64 | −5.5298 | −5.3657 | −6.7205 | −6.0659 |
| 68 | −6.2388 | −5.8679 | −7.1405 | −6.1747 |
| 72 | −6.7211 | −6.1088 | −7.3338 | −6.2244 |
| 76 | −7.0309 | −6.2303 | −7.5739 | −6.2595 |
| 80 | −6.8766 | −6.3052 | −7.5629 | −6.2811 |
| 84 | −6.9336 | −6.4408 | −7.6142 | −6.3044 |
| 88 | −7.1233 | −6.6093 | −7.4308 | −6.3263 |
| 92 | −7.8379 | −6.7681 | −7.2421 | −6.3618 |
| 96 | −8.2692 | −6.8067 | −6.8260 | −6.4231 |
| 100 | −8.3142 | −6.8219 | −7.4362 | −6.6418 |
| 104 | −8.3692 | −6.8362 | −7.8646 | −6.7177 |
| 108 | −8.4435 | −6.8491 | −8.1783 | −6.7499 |
| 112 | −8.3928 | −6.8603 | −8.3965 | −6.7664 |
| 116 | −8.1629 | −6.8732 | −8.5154 | −6.7767 |
| 120 | −8.2007 | −6.8961 | −8.6020 | −6.7847 |
| 124 | −7.9386 | −6.9182 | −8.6037 | −6.7913 |
| 128 | −7.6523 | −6.9617 | −8.5831 | −6.7981 |
| 132 | −7.9881 | −7.0607 | −8.4733 | −6.8053 |
| 136 | −7.7132 | −7.1154 | −8.3179 | −6.8147 |
| 140 | −8.1821 | −7.2417 | −8.0678 | −6.8285 |
| 144 | −8.7119 | −7.2946 | −7.7928 | −6.8543 |
| 148 | −9.0105 | −7.3116 | −7.6929 | −6.9075 |
| 152 | −8.9770 | −7.3203 | −8.2115 | −6.9852 |
| 156 | −8.9190 | −7.3300 | −8.5854 | −7.0118 |
| 160 | −8.7799 | −7.3414 | −8.8581 | −7.0236 |
| 164 | −8.7875 | −7.3575 | −9.0451 | −7.0299 |
| 168 | −9.0449 | −7.3739 | −9.1690 | −7.0342 |
| 172 | −8.9853 | −7.3833 | −9.2471 | −7.0374 |
| 176 | −9.1763 | −7.3943 | −9.2859 | −7.0401 |
| 180 | −9.1656 | −7.4011 | −9.2979 | −7.0425 |
| 184 | −9.0851 | −7.4091 | −9.2786 | −7.0446 |
| 188 | −8.4962 | −7.4183 | −9.2322 | −7.0475 |
| 192 | −8.0903 | −7.4562 | −9.1452 | −7.0504 |
| 196 | −8.4125 | −7.5710 | −9.0142 | −7.0537 |
| 200 | −8.7710 | −7.6385 | −8.8327 | −7.0586 |
| 204 | −8.0595 | −7.6718 | −8.6202 | −7.0660 |
| 208 | −7.9157 | −7.9005 | −8.3788 | −7.0783 |
| 212 | … | −9.3651 | −8.0964 | −7.1006 |
| 216 | … | −9.3651 | −8.2286 | −7.1468 |
| 220 | … | −9.3651 | −8.6321 | −7.1844 |
| 224 | … | −9.3651 | −8.8996 | −7.2002 |
| 228 | … | −9.3651 | −9.0644 | −7.2089 |
| 232 | −9.5072 | −9.3651 | −9.1504 | −7.2150 |
| 236 | −9.9195 | −9.9195 | −9.1806 | −7.2201 |
| 240 | … | … | −9.1699 | −7.2249 |
| 244 | … | … | −9.1305 | −7.2299 |
| 248 | … | … | −9.0676 | −7.2353 |
| 252 | … | … | −8.9829 | −7.2418 |
| 256 | … | … | −8.8717 | −7.2497 |
| 260 | … | … | −8.7252 | −7.2602 |
| 264 | … | … | −8.5343 | −7.2754 |
| 268 | … | … | −8.7735 | −7.2999 |
| 272 | … | … | −9.0477 | −7.3148 |
| 276 | … | … | −9.2409 | −7.3229 |
| 280 | … | … | −9.3691 | −7.3282 |
| 284 | … | … | −9.4461 | −7.3322 |
| 288 | … | … | −9.4848 | −7.3356 |
| 292 | … | … | −9.4959 | −7.3387 |
| 296 | … | … | −9.4889 | −7.3417 |
| 300 | … | … | −9.4711 | −7.3448 |
| 304 | … | … | −9.4482 | −7.3481 |
| 308 | … | … | −9.4243 | −7.3515 |
| 312 | … | … | −9.4017 | −7.3552 |
| 316 | … | … | −9.3806 | −7.3591 |
| 320 | … | … | −9.3598 | −7.3633 |
| 324 | … | … | −9.3358 | −7.3677 |
| 328 | … | … | −9.3038 | −7.3724 |
| 332 | … | … | −9.2566 | −7.3775 |
| 336 | … | … | −9.1856 | −7.3833 |
| 340 | … | … | −9.0802 | −7.3902 |
| 344 | … | … | −8.9283 | −7.3991 |
| 348 | … | … | −8.7156 | −7.4122 |
| 352 | … | … | −8.4272 | −7.4343 |
| 356 | … | … | −8.0566 | −7.4809 |
| 360 | … | … | −8.2879 | −7.6149 |
| 364 | … | … | −8.7160 | −7.7186 |
| 368 | … | … | −9.0654 | −7.7646 |
| 372 | … | … | −9.3259 | −7.7869 |
| 376 | … | … | −9.4967 | −7.7997 |
| 380 | … | … | −9.5922 | −7.8085 |
| 384 | … | … | −9.6293 | −7.8157 |
| 388 | … | … | −9.6242 | −7.8224 |
| 392 | … | … | −9.5897 | −7.8293 |
| 396 | … | … | −9.5365 | −7.8369 |
| 400 | … | … | −9.4723 | −7.8457 |
| 1 | In nuclear physics, the baryon number density is given usually in fm−3. For conversion to the mass density use corresponding to . We consider also as energy which is usually measured in MeV, corresponds to the thermodynamic temperature . With we have . |
| 2 | We use the term “cluster” for referring to a nuclear particle correlation in high-density matter and not in the sense of clusters of astrophysical objects, such as stars or galaxies. |
| 3 | Usually, the astrophysical term “metals” (Z) refers to the set of all elements beyond He. In analogy, with the A-metallicity we denote the fraction of material found in nuclei with mass numbers . |
References
- Lodders, K. Solar System Abundances and Condensation Temperatures of the Elements. Astrophys. J. 2003, 591, 1220–1247. [Google Scholar] [CrossRef]
- Asplund, M.; Grevesse, N.; Sauval, A.J.; Scott, P. The Chemical Composition of the Sun. Annu. Rev. Astron. Astrophys. 2009, 47, 481–522. [Google Scholar] [CrossRef]
- Lodders, K.; Palme, H.; Gail, H.P. Abundances of the Elements in the Solar System. Landolt Börnstein 2009, 4B, 712. [Google Scholar] [CrossRef]
- Lodders, K. Relative Atomic Solar System Abundances, Mass Fractions, and Atomic Masses of the Elements and Their Isotopes, Composition of the Solar Photosphere, and Compositions of the Major Chondritic Meteorite Groups. Space Sci. Rev. 2021, 217, 44. [Google Scholar] [CrossRef]
- Magg, E.; Bergemann, M.; Serenelli, A.; Bautista, M.; Plez, B.; Heiter, U.; Gerber, J.M.; Ludwig, H.G.; Basu, S.; Ferguson, J.W.; et al. Observational constraints on the origin of the elements. IV. Standard composition of the Sun. Astron. Astrophys. 2022, 661, A140. [Google Scholar] [CrossRef]
- Frebel, A.; Norris, J.E. Near-Field Cosmology with Extremely Metal-Poor Stars. Annu. Rev. Astron. Astrophys. 2015, 53, 631–688. [Google Scholar] [CrossRef]
- Frebel, A. From Nuclei to the Cosmos: Tracing Heavy-Element Production with the Oldest Stars. Annu. Rev. Nucl. Part. Sci. 2018, 68, 237–269. [Google Scholar] [CrossRef]
- Roederer, I.U.; Lawler, J.E.; Den Hartog, E.A.; Placco, V.M.; Surman, R.; Beers, T.C.; Ezzeddine, R.; Frebel, A.; Hansen, T.T.; Hattori, K.; et al. The R-process Alliance: A Nearly Complete R-process Abundance Template Derived from Ultraviolet Spectroscopy of the R-process-enhanced Metal-poor Star HD 222925. Astrophys. J. Suppl. Ser. 2022, 260, 27. [Google Scholar] [CrossRef]
- Fields, B.D.; Molaro, P.; Sarkar, S. Big-Bang Nucleosynthesis. Chin. Phys. C 2014, 38, 339–344. [Google Scholar] [CrossRef]
- Cyburt, R.H.; Fields, B.D.; Olive, K.A.; Yeh, T.H. Big bang nucleosynthesis: Present status. Rev. Mod. Phys. 2016, 88, 015004. [Google Scholar] [CrossRef]
- Coc, A.; Vangioni, E. Primordial nucleosynthesis. Int. J. Mod. Phys. E 2017, 26, 1741002. [Google Scholar] [CrossRef]
- Arcones, A.; Thielemann, F.K. Origin of the elements. Astron. Astrophys. Rev. 2023, 31, 1. [Google Scholar] [CrossRef]
- Heger, A.; Woosley, S.E. The Nucleosynthetic Signature of Population III. Astrophys. J. 2002, 567, 532–543. [Google Scholar] [CrossRef]
- Roederer, I.U.; Vassh, N.; Holmbeck, E.M.; Mumpower, M.R.; Surman, R.; Cowan, J.J.; Beers, T.C.; Ezzeddine, R.; Frebel, A.; Hansen, T.T.; et al. Element abundance patterns in stars indicate fission of nuclei heavier than uranium. Science 2023, 382, adf1341. [Google Scholar] [CrossRef]
- Keller, S.C.; Bessell, M.S.; Frebel, A.; Casey, A.R.; Asplund, M.; Jacobson, H.R.; Lind, K.; Norris, J.E.; Yong, D.; Heger, A.; et al. A single low-energy, iron-poor supernova as the source of metals in the star SMSS J031300.36-670839.3. Nature 2014, 506, 463–466. [Google Scholar] [CrossRef]
- Burbidge, M.E.; Burbidge, G.R.; Fowler, W.A.; Hoyle, F. Synthesis of the elements in stars. Rev. Mod. Phys. 1957, 29, 547–650. [Google Scholar] [CrossRef]
- Cameron, A.G.W. Nuclear reactions in stars and nucleogenesis. Publ. Astron. Soc. Pac. 1957, 69, 201–222. [Google Scholar] [CrossRef]
- Lippuner, J.; Roberts, L.F. SkyNet: A modular nuclear reaction network library. Astrophys. J. Suppl. 2017, 233, 18. [Google Scholar] [CrossRef]
- Reichert, M.; Winteler, C.; Korobkin, O.; Arcones, A.; Bliss, J.; Eichler, M.; Frischknecht, U.; Fröhlich, C.; Hirschi, R.; Jacobi, M.; et al. The Nuclear Reaction Network WinNet. Astrophys. J. Suppl. Ser. 2023, 268, 66. [Google Scholar] [CrossRef]
- Iliadis, C. Nuclear Physics of Stars; Wiley-VCH: Weinheim, Germany, 2015. [Google Scholar] [CrossRef]
- National Research Council. Connecting Quarks with the Cosmos: Eleven Science Questions for the New Century; The National Academies Press: Washington, DC, USA, 2003. [Google Scholar] [CrossRef]
- Cowan, J.J.; Sneden, C.; Lawler, J.E.; Aprahamian, A.; Wiescher, M.; Langanke, K.; Martínez-Pinedo, G.; Thielemann, F.K. Origin of the heaviest elements: The rapid neutron-capture process. Rev. Mod. Phys. 2021, 93, 15002. [Google Scholar] [CrossRef]
- Diehl, R.; Korn, A.J.; Leibundgut, B.; Lugaro, M.; Wallner, A. Cosmic nucleosynthesis: A multi-messenger challenge. Prog. Part. Nucl. Phys. 2022, 127, 103983. [Google Scholar] [CrossRef]
- Bandyopadhyay, A.; Beers, T.C. Recent Advances in Understanding R-Process Nucleosynthesis in Metal-Poor Stars and Stellar Systems. Universe 2025, 11, 229. [Google Scholar] [CrossRef]
- Wanajo, S.; Sekiguchi, Y.; Nishimura, N.; Kiuchi, K.; Kyutoku, K.; Shibata, M. Nucleosynthesis in Neutron Star Mergers. JPS Conf. Proc. 2018, 23, 012033. [Google Scholar] [CrossRef]
- Siegel, D.M. r-Process nucleosynthesis in gravitational-wave and other explosive astrophysical events. Nat. Rev. Phys. 2022, 4, 306–318. [Google Scholar] [CrossRef]
- Fischer, T.; Guo, G.; Langanke, K.; Martinez-Pinedo, G.; Qian, Y.Z.; Wu, M.R. Neutrinos and nucleosynthesis of elements. Prog. Part. Nucl. Phys. 2024, 137, 104107. [Google Scholar] [CrossRef]
- Chen, H.Y.; Landry, P.; Read, J.S.; Siegel, D.M. Inference of multi-channel r-process element enrichment in the Milky Way using binary neutron star merger observations. arXiv 2024, arXiv:2402.03696. [Google Scholar] [CrossRef]
- Chen, M.H.; Li, L.X.; Chen, Q.H.; Hu, R.C.; Liang, E.W. Neutron star mergers as the dominant contributor to the production of heavy r-process elements. Mon. Not. R. Astron. Soc. 2024, 529, 1154–1160. [Google Scholar] [CrossRef]
- Arcones, A.; Thielemann, F.K. Neutrino-driven wind simulations and nucleosynthesis of heavy elements. J. Phys. G 2013, 40, 013201. [Google Scholar] [CrossRef]
- Wanajo, S. The r-process in proto-neutron-star wind revisited. Astrophys. J. Lett. 2013, 770, L22. [Google Scholar] [CrossRef]
- Blanchard, P.K.; Villar, V.A.; Chornock, R.; Laskar, T.; Li, Y.; Leja, J.; Pierel, J.; Berger, E.; Margutti, R.; Alexander, K.D.; et al. JWST detection of a supernova associated with GRB 221009A without an r-process signature. Nat. Astron. 2024, 8, 774–785. [Google Scholar] [CrossRef]
- Freiburghaus, C.; Rosswog, S.; Thielemann, F.K. R-Process in Neutron Star Mergers. Astrophys. J. 1999, 525, L121–L124. [Google Scholar] [CrossRef]
- Thielemann, F.K.; Eichler, M.; Panov, I.V.; Wehmeyer, B. Neutron Star Mergers and Nucleosynthesis of Heavy Elements. Annu. Rev. Nucl. Part. Sci. 2017, 67, 253–274. [Google Scholar] [CrossRef]
- Watson, D.; Hansen, C.J.; Selsing, J.; Koch, A.; Malesani, D.B.; Andersen, A.C.; Fynbo, J.P.U.; Arcones, A.; Bauswein, A.; Covino, S.; et al. Identification of strontium in the merger of two neutron stars. Nature 2019, 574, 497–500. [Google Scholar] [CrossRef] [PubMed]
- Janka, H.T.; Bauswein, A. Dynamics and Equation of State Dependencies of Relevance for Nucleosynthesis in Supernovae and Neutron Star Mergers. In Handbook of Nuclear Physics; Tanihata, I., Toki, H., Kajino, T., Eds.; Springer Nature: Singapore, 2020; pp. 1–98. [Google Scholar] [CrossRef]
- Goriely, S.; Kullmann, I. R-Process Nucleosynthesis in Neutron Star Merger Ejecta and Nuclear Dependences. In Handbook of Nuclear Physics; Tanihata, I., Toki, H., Kajino, T., Eds.; Springer Nature: Singapore, 2020; pp. 1–26. [Google Scholar] [CrossRef]
- Ricigliano, G.; Jacobi, M.; Arcones, A. Impact of nuclear matter properties on the nucleosynthesis and the kilonova from binary neutron star merger ejecta. Mon. Not. R. Astron. Soc. 2024, 533, 2096–2112. [Google Scholar] [CrossRef]
- Just, O.; Vijayan, V.; Xiong, Z.; Goriely, S.; Soultanis, T.; Bauswein, A.; Guilet, J.; Janka, H.T.; Martínez-Pinedo, G. End-to-end Kilonova Models of Neutron Star Mergers with Delayed Black Hole Formation. Astrophys. J. 2023, 951, L12. [Google Scholar] [CrossRef]
- Kobayashi, C.; Karakas, A.I.; Lugaro, M. The Origin of Elements from Carbon to Uranium. Astrophys. J. 2020, 900, 179. [Google Scholar] [CrossRef]
- Cowan, J.J.; Burris, D.L.; Sneden, C.; McWilliam, A.; Preston, G.W. Evidence of Heavy Element Nucleosynthesis Early in the History of the Galaxy: The Ultra–metal-poor Star CS 22892-052. Astrophys. J. 1995, 439, L51. [Google Scholar] [CrossRef]
- Sneden, C.; McWilliam, A.; Preston, G.W.; Cowan, J.J.; Burris, D.L.; Armosky, B.J. The Ultra–Metal-poor, Neutron-Capture–rich Giant Star CS 22892-052. Astrophys. J. 1996, 467, 819. [Google Scholar] [CrossRef]
- Hill, V.; Plez, B.; Cayrel, R.; Beers, T.C.; Nordström, B.; Andersen, J.; Spite, M.; Spite, F.; Barbuy, B.; Bonifacio, P.; et al. First stars. I. The extreme r-element rich, iron-poor halo giant CS 31082-001. Implications for the r-process site(s) and radioactive cosmochronology. Astron. Astrophys. 2002, 387, 560–579. [Google Scholar] [CrossRef]
- Roederer, I.U.; Kratz, K.L.; Frebel, A.; Christlieb, N.; Pfeiffer, B.; Cowan, J.J.; Sneden, C. The End of Nucleosynthesis: Production of Lead and Thorium in the Early Galaxy. Astrophys. J. 2009, 698, 1963–1980. [Google Scholar] [CrossRef]
- Ernandes, H.; Castro, M.J.; Barbuy, B.; Spite, M.; Hill, V.; Castilho, B.; Evans, C.J. Reanalysis of neutron-capture elements in the benchmark r-rich star CS 31082-001. Mon. Not. R. Astron. Soc. 2023, 524, 656–677. [Google Scholar] [CrossRef]
- Casey, A.R.; Schlaufman, K.C. The Universality of the Rapid Neutron-capture Process Revealed by a Possible Disrupted Dwarf Galaxy Star. Astrophys. J. 2017, 850, 179. [Google Scholar] [CrossRef]
- Farouqi, K.; Thielemann, F.K.; Rosswog, S.; Kratz, K.L. Correlations of r-process elements in very metal-poor stars as clues to their nucleosynthesis sites. Astron. Astrophys. 2022, 663, A70. [Google Scholar] [CrossRef]
- Orce, J.N.; Dey, B.; Ngwetsheni, C.; Bhattacharya, S.; Pandit, D.; Lesch, B.; Zulu, A. Enhanced symmetry energy may bear universality of r-process abundances. Mon. Not. R. Astron. Soc. 2023, 525, 6249–6256. [Google Scholar] [CrossRef]
- Holmbeck, E.M.; Surman, R.; Roederer, I.U.; McLaughlin, G.C.; Frebel, A. HD 222925: A New Opportunity to Explore the Astrophysical and Nuclear Conditions of r-process Sites. Astrophys. J. 2023, 951, 30. [Google Scholar] [CrossRef]
- Roederer, I.U.; Cowan, J.J.; Pignatari, M.; Beers, T.C.; Den Hartog, E.A.; Ezzeddine, R.; Frebel, A.; Hansen, T.T.; Holmbeck, E.M.; Mumpower, M.R.; et al. The R-Process Alliance: Abundance Universality among Some Elements at and between the First and Second R-Process Peaks. Astrophys. J. 2022, 936, 84. [Google Scholar] [CrossRef]
- Ji, A.P.; Curtis, S.; Storm, N.; Chandra, V.; Schlaufman, K.C.; Stassun, K.G.; Heger, A.; Pignatari, M.; Price-Whelan, A.M.; Bergemann, M.; et al. Spectacular Nucleosynthesis from Early Massive Stars. Astrophys. J. Lett. 2024, 961, L41. [Google Scholar] [CrossRef]
- Terasawa, N.; Sato, K. Production of 9Be and Heavy Elements in the Inhomogeneous Universe. Astrophys. J. 1990, 362, L47. [Google Scholar] [CrossRef]
- Nakamura, R.; Hashimoto, M.A.; Ichimasa, R.; Arai, K. Big-Bang nucleosynthesis: Constraints on nuclear reaction rates, neutrino degeneracy, inhomogeneous and Brans-Dicke models. Int. J. Mod. Phys. E 2017, 26, 1741003. [Google Scholar] [CrossRef]
- Röpke, G. Element abundances in hot nuclear matter. Phys. Lett. B 1987, 185, 281–286. [Google Scholar] [CrossRef]
- Gonin, M.; Hasinger, G.; Blaschke, D.; Ivanytskyi, O.; Röpke, G. Primordial black-hole formation and heavy r-process element synthesis from the cosmological QCD transition. Two aspects of an inhomogeneous early Universe. Eur. Phys. J. A 2025, 61, 170. [Google Scholar] [CrossRef]
- Röpke, G.; Münchow, L.; Schulz, H. Particle clustering and Mott transitions in nuclear matter at finite temperature (I). Method and general aspects. Nucl. Phys. A 1982, 379, 536–552. [Google Scholar] [CrossRef]
- Andronic, A.; Braun-Munzinger, P.; Redlich, K.; Stachel, J. Decoding the phase structure of QCD via particle production at high energy. Nature 2018, 561, 321–330. [Google Scholar] [CrossRef]
- Natowitz, J.B.; Ropke, G.; Typel, S.; Blaschke, D.; Bonasera, A.; Hagel, K.; Klahn, T.; Kowalski, S.; Qin, L.; Shlomo, S.; et al. Symmetry energy of dilute warm nuclear matter. Phys. Rev. Lett. 2010, 104, 202501. [Google Scholar] [CrossRef]
- Qin, L.; Hagel, K.; Wada, R.; Natowitz, J.B.; Schlomo, S.; Bonasera, A.; Roepke, G.; Typel, S.; Chen, Z.; Huang, M.; et al. Laboratory Tests of Low Density Astrophysical Equations of State. Phys. Rev. Lett. 2012, 108, 172701. [Google Scholar] [CrossRef] [PubMed]
- Köster, U.; Faust, H.; Fioni, G.; Friedrichs, T.; Groß, M.; Oberstedt, S. Ternary fission yields of 241Pu(nth, f). Nucl. Phys. A 1999, 652, 371–387. [Google Scholar] [CrossRef]
- Seitenzahl, I.R.; Townsley, D.M.; Peng, F.; Truran, J.W. Nuclear statistical equilibrium for Type Ia supernova simulations. At. Data Nucl. Data Tables 2009, 95, 96–114. [Google Scholar] [CrossRef]
- Zubarev, D.; Morozov, V.; Röpke, G. Statistical Mechanics of Non-equilibrium Processes I/II; Wiley: Hoboken, NJ, USA, 1996/1997. [Google Scholar]
- Kopatch, Y.N.; Mutterer, M.; Schwalm, D.; Thirolf, P.; Gonnenwein, F. 5He, 7He, and 8Li (E* = 2.26 MeV) intermediate ternary particles in the spontaneous fission of 252Cf. Phys. Rev. C 2002, 65, 044614. [Google Scholar] [CrossRef]
- Natowitz, J.B.; Pais, H.; Röpke, G. Employing ternary fission of 242Pu as a probe of very neutron-rich matter. Phys. Rev. C 2023, 107, 014618. [Google Scholar] [CrossRef]
- Asplund, M.; Amarsi, A.M.; Grevesse, N. The chemical make-up of the Sun: A 2020 vision. Astron. Astrophys. 2021, 653, A141. [Google Scholar] [CrossRef]
- Zubarev, D.N.; Prozorkevich, A.V.; Smolyanskii, S.A. Derivation of nonlinear generalized equations of quantum relativistic hydrodynamics. Theor. Math. Phys. 1979, 40, 821–831. [Google Scholar] [CrossRef]
- Höll, A.; Morozov, V.; Röpke, G. Covariant linear response theory of relativistic QED plasmas. Phys. A Stat. Mech. Its Appl. 2003, 319, 371–403. [Google Scholar] [CrossRef]
- Becattini, F.; Bucciantini, L.; Grossi, E.; Tinti, L. Local thermodynamical equilibrium and the beta frame for a quantum relativistic fluid. Eur. Phys. J. C 2015, 75, 191. [Google Scholar] [CrossRef]
- Becattini, F.; Buzzegoli, M.; Grossi, E. Reworking Zubarev’s Approach to Nonequilibrium Quantum Statistical Mechanics. Particles 2019, 2, 197–207. [Google Scholar] [CrossRef]
- Akkelin, S.V. Cosmological particle creation in the little bang. Phys. Rev. D 2021, 103, 116014. [Google Scholar] [CrossRef]
- Harutyunyan, A.; Sedrakian, A.; Rischke, D.H. Relativistic second-order dissipative hydrodynamics from Zubarev’s non-equilibrium statistical operator. Ann. Phys. 2022, 438, 168755. [Google Scholar] [CrossRef]
- Adzhymambetov, M.D.; Akkelin, S.V.; Sinyukov, Y.M. Quantum local-equilibrium state with fixed multiplicity constraint and Bose-Einstein momentum correlations. Phys. Rev. D 2023, 108, 096030. [Google Scholar] [CrossRef]
- Schmidt, M.; Röpke, G.; Schulz, H. Generalized beth-uhlenbeck approach for hot nuclear matter. Ann. Phys. 1990, 202, 57–99. [Google Scholar] [CrossRef]
- Sumiyoshi, K.; Röpke, G. Appearance of light clusters in post-bounce evolution of core-collapse supernovae. Phys. Rev. C 2008, 77, 055804. [Google Scholar] [CrossRef]
- Dinh Thi, H.; Fantina, A.F.; Gulminelli, F. Light clusters in the liquid proto-neutron star inner crust. Eur. Phys. J. A 2023, 59, 292. [Google Scholar] [CrossRef]
- Hillebrandt, W.; Nomoto, K.; Wolff, R.G. Supernova explosions of massive stars - The mass range 8 to 10 solar masses. Astron. Astrophys. 1984, 133, 175–184. [Google Scholar]
- Hempel, M.; Schaffner-Bielich, J. Statistical Model for a Complete Supernova Equation of State. Nucl. Phys. A 2010, 837, 210–254. [Google Scholar] [CrossRef]
- Gulminelli, F.; Raduta, A.R. Unified treatment of subsaturation stellar matter at zero and finite temperature. Phys. Rev. C 2015, 92, 055803. [Google Scholar] [CrossRef]
- Pais, H.; Chiacchiera, S.; Providência, C. Light clusters, pasta phases and phase transitions in core-collapse supernova matter. Phys. Rev. C 2015, 91, 055801. [Google Scholar] [CrossRef]
- Pais, H.; Gulminelli, F.; Providência, C.; Röpke, G. Full distribution of clusters with universal couplings and in-medium effects. Phys. Rev. C 2019, 99, 055806. [Google Scholar] [CrossRef]
- Furusawa, S.; Togashi, H.; Nagakura, H.; Sumiyoshi, K.; Yamada, S.; Suzuki, H.; Takano, M. A new equation of state for core-collapse supernovae based on realistic nuclear forces and including a full nuclear ensemble. J. Phys. G 2017, 44, 094001. [Google Scholar] [CrossRef]
- Furusawa, S.; Nagakura, H. Nuclei in core-collapse supernovae engine. Prog. Part. Nucl. Phys. 2023, 129, 104018. [Google Scholar] [CrossRef]
- Dinh Thi, H.; Fantina, A.F.; Gulminelli, F. The proto-neutron star inner crust in the liquid phase. Astron. Astrophys. 2023, 672, A160. [Google Scholar] [CrossRef]
- Fetter, A.L.; Walecka, J.D. Quantum Theory of Many-Particle Systems; McGraw-Hill: San Francisco, CA, USA, 1971. [Google Scholar]
- Röpke, G.; Schmidt, M.; Münchow, L.; Schulz, H. Particle clustering and Mott transition in nuclear matter at finite temperature (II). Nucl. Phys. A 1983, 399, 587–602. [Google Scholar] [CrossRef]
- Typel, S.; Röpke, G.; Klähn, T.; Blaschke, D.; Wolter, H.H. Composition and thermodynamics of nuclear matter with light clusters. Phys. Rev. C 2010, 81, 015803. [Google Scholar] [CrossRef]
- Röpke, G. Light nuclei quasiparticle energy shifts in hot and dense nuclear matter. Phys. Rev. C 2009, 79, 014002. [Google Scholar] [CrossRef]
- Röpke, G. Parametrization of light nuclei quasiparticle energy shifts and composition of warm and dense nuclear matter. Nucl. Phys. A 2011, 867, 66–80. [Google Scholar] [CrossRef]
- Röpke, G. Nuclear matter equation of state including two-, three-, and four-nucleon correlations. Phys. Rev. C 2015, 92, 054001. [Google Scholar] [CrossRef]
- Röpke, G. Light p-shell nuclei with cluster structures (4 ≤ A ≤ 16) in nuclear matter. Phys. Rev. C 2020, 101, 064310. [Google Scholar] [CrossRef]
- National Nuclear Data Center. NuDat 3.0. 2024. Available online: https://www.nndc.bnl.gov/nudat/ (accessed on 28 July 2024).
- Röpke, G.; Natowitz, J.B.; Pais, H. Nonequilibrium information entropy approach to ternary fission of actinides. Phys. Rev. C 2021, 103, 061601. [Google Scholar] [CrossRef]
- Bohr, A.; Mottelson, B. Nuclear Structure; W.A. Benjamin, Inc.: New York, NY, USA, 1969. [Google Scholar]
- Rauscher, T. Nuclear partition functions at temperatures exceeding 1010 K. Astrophys. J. Suppl. 2003, 147, 403. [Google Scholar] [CrossRef]
- Wang, M.; Huang, W.J.; Kondev, F.G.; Audi, G.; Naimi, S. The AME 2020 atomic mass evaluation (II). Tables, graphs and references. Chin. Phys. C 2021, 45, 030003. [Google Scholar] [CrossRef]
- Goriely, S.; Chamel, N.; Pearson, J.M. Skyrme-Hartree-Fock-Bogoliubov Nuclear Mass Formulas: Crossing the 0.6 MeV Accuracy Threshold with Microscopically Deduced Pairing. Phys. Rev. Lett. 2009, 102, 152503. [Google Scholar] [CrossRef] [PubMed]
- Duflo, J.; Zuker, A.P. Microscopic mass formulas. Phys. Rev. C 1995, 52, R23–R27. [Google Scholar] [CrossRef]
- Möller, P.; Sierk, A.J.; Ichikawa, T.; Sagawa, H. Nuclear ground-state masses and deformations: FRDM(2012). At. Data Nucl. Data Tables 2016, 109, 1–204. [Google Scholar] [CrossRef]
- Rohlf, J.W. Modern Physics from α to Z°; Wiley: Hoboken, NJ, USA, 1994. [Google Scholar]
- Royer, G. On the coefficients of the liquid drop model mass formulae and nuclear radii. Nucl. Phys. A 2008, 807, 105–118. [Google Scholar] [CrossRef]
- Dieperink, A.E.L.; van Isacker, P. Shell corrections to a liquid-drop description of nuclear masses and radii. Eur. Phys. J. A 2009, 42, 269–279. [Google Scholar] [CrossRef]
- Munoz, J.M.; Udrescu, S.M.; Garcia Ruiz, R.F. Discovering Nuclear Models from Symbolic Machine Learning. arXiv 2024, arXiv:2404.11477. [Google Scholar] [CrossRef]
- Koura, H.; Chiba, S. Single-Particle Levels of Spherical Nuclei in the Superheavy and Extremely Superheavy Mass Region. J. Phys. Soc. Jpn. 2013, 82, 014201. [Google Scholar] [CrossRef]
- Iljinov, A.S.; Mebel, M.V.; Bianchi, N.; De Sanctis, E.; Guaraldo, C.; Lucherini, V.; Muccifora, V.; Polli, E.; Reolon, A.R.; Rossi, P. Phenomenological statistical analysis of level densities, decay widths and lifetimes of excited nuclei. Nucl. Phys. A 1992, 543, 517–557. [Google Scholar] [CrossRef]
- Storbacka, M.; Qi, C. Location of the neutron drip line for Sn and its impact on r-process abundances. Phys. Lett. B 2024, 855, 138822. [Google Scholar] [CrossRef]
- Mollaebrahimi, A.; Walls, C.; Dickel, T.; Miyagi, T.; Sieverding, A.; Andreoiu, C.; Ash, J.; Ashrafkhani, B.; Belosevic, I.; Bergman, J.; et al. Precision Mass Measurements Reveal Low Neutron Pairing in Tin beyond N = 82 and Its Impact on Stellar Nucleosynthesis. Phys. Rev. Lett. 2025, 134, 232701. [Google Scholar] [CrossRef] [PubMed]
- Kraeft, W.D.; Kremp, D.; Ebeling, W.; Röpke, G. Quantum Statistics of Charged Particle Systems; Akademie-Verlag: Berlin, Germany, 1986. [Google Scholar] [CrossRef]
- Fischer, T.; Hempel, M.; Sagert, I.; Suwa, Y.; Schaffner-Bielich, J. Symmetry energy impact in simulations of core-collapse supernovae. Eur. Phys. J. A 2014, 50, 46. [Google Scholar] [CrossRef]
- Fischer, T.; Bastian, N.U.; Blaschke, D.; Cierniak, M.; Hempel, M.; Klähn, T.; Martínez-Pinedo, G.; Newton, W.G.; Röpke, G.; Typel, S. The State of Matter in Simulations of Core-Collapse supernovae—Reflections and Recent Developments. Publ. Astron. Soc. Aust. 2017, 34, e067. [Google Scholar] [CrossRef]
- Yudin, A.; Hempel, M.; Blinnikov, S.; Nadyozhin, D.; Panov, I. Asymmetric Nuclear Light Clusters In Supernova Matter. Mon. Not. Roy. Astron. Soc. 2019, 483, 5426–5433. [Google Scholar] [CrossRef]
- Fischer, T.; Typel, S.; Röpke, G.; Bastian, N.U.F.; Martínez-Pinedo, G. Medium modifications for light and heavy nuclear clusters in simulations of core collapse supernovae—Impact on equation of state and weak interactions. Phys. Rev. C 2020, 102, 055807. [Google Scholar] [CrossRef]
- Fraisse, B.; Bélier, G.; Méot, V.; Gaudefroy, L.; Francheteau, A.; Roig, O. Complete neutron-multiplicity distributions in fast-neutron-induced fission. Phys. Rev. C 2023, 108, 014610. [Google Scholar] [CrossRef]
- Lemaître, J.F.; Goriely, S.; Bauswein, A.; Janka, H.T. Fission fragment distributions and their impact on the r-process nucleosynthesis in neutron star mergers. Phys. Rev. C 2021, 103, 025806. [Google Scholar] [CrossRef]
- Pochodzalla, J.; Mohlenkamp, T.; Rubehn, T.; Schuttauf, A.; Worner, A.; Zude, E.; Begemann-Blaich, M.; Blaich, T.; Emling, H.; Ferrero, A.; et al. Probing the nuclear liquid–gas phase transition. Phys. Rev. Lett. 1995, 75, 1040–1043. [Google Scholar] [CrossRef] [PubMed]
- Beun, J.; McLaughlin, G.C.; Surman, R.; Hix, W.R. Fission cycling in a supernova r process. Phys. Rev. C 2008, 77, 035804. [Google Scholar] [CrossRef]
- Eichler, M.; Arcones, A.; Kelic, A.; Korobkin, O.; Langanke, K.; Marketin, T.; Martinez-Pinedo, G.; Panov, I.V.; Rauscher, T.; Rosswog, S.; et al. The Role of Fission in Neutron Star Mergers and its Impact on the r-Process Peaks. Astrophys. J. 2015, 808, 30. [Google Scholar] [CrossRef]
- Panov, I.V.; Glazyrin, S.I.; Röpke, F.K.; Blinnikov, S.I. Nucleosynthesis during a Thermonuclear Supernova Explosion. Astron. Lett. 2018, 44, 309–314. [Google Scholar] [CrossRef]
- Panov, I.V. Fission-Fragment Mass Distribution and Heavy Nuclei Nucleosynthesis. Phys. Part. Nucl. 2023, 54, 542–546. [Google Scholar] [CrossRef]
- Chen, J.; Pei, J.; Qiang, Y.; Chi, J. Fission Properties of Neutron-Rich Nuclei around the End Point of r-Process. Chin. Phys. Lett. 2023, 40, 012401. [Google Scholar] [CrossRef]
- Xylakis-Dornbusch, T.; Hansen, T.T.; Beers, T.C.; Christlieb, N.; Ezzeddine, R.; Frebel, A.; Holmbeck, E.; Placco, V.M.; Roederer, I.U.; Sakari, C.M.; et al. The R-Process Alliance: Analysis of limited-r stars. Astron. Astrophys. 2024, 688, A123. [Google Scholar] [CrossRef]
- Lattimer, J.M.; Swesty, D.F. A generalized equation of state for hot, dense matter. Nucl. Phys. A 1991, 535, 331–376. [Google Scholar] [CrossRef]
- Ravenhall, D.G.; Pethick, C.J.; Lattimer, J.M. Nuclear interface energy at finite temperatures. Nucl. Phys. A 1983, 407, 571–591. [Google Scholar] [CrossRef]
- Ishizuka, C.; Ohnishi, A.; Sumiyoshi, K. Liquid-gas phase transition of supernova matter and its relation to nucleosynthesis. Nucl. Phys. A 2003, 723, 517–543. [Google Scholar] [CrossRef]
- Blaschke, D.; Liebing, S.; Röpke, G.; Dönigus, B. Cluster production and the chemical freeze-out in expanding hot dense matter. Phys. Lett. B 2025, 860, 139206. [Google Scholar] [CrossRef]
- Morishita, T.; Roberts-Borsani, G.; Treu, T.; Brammer, G.; Mason, C.A.; Trenti, M.; Vulcani, B.; Wang, X.; Acebron, A.; Bahé, Y.; et al. Early Results from GLASS-JWST. XIV. A Spectroscopically Confirmed Protocluster 650 Million Years after the Big Bang. Astrophys. J. 2023, 947, L24. [Google Scholar] [CrossRef]
- Matteucci, F. Chemical Evolution of Galaxies; Springer: Berlin/Heidelberg, Germany, 2012. [Google Scholar]
- Wehmeyer, B.; Pignatari, M.; Thielemann, F.K. Galactic evolution of rapid neutron capture process abundances: The inhomogeneous approach. Mon. Not. R. Astron. Soc. 2015, 452, 1970–1981. [Google Scholar] [CrossRef]
- Wehmeyer, B.; Frohlich, C.; Côté, B.; Pignatari, M.; Thielemann, F.K. Using failed supernovae to constrain the Galactic r-process element production. Mon. Not. R. Astron. Soc. 2019, 487, 1745–1753. [Google Scholar] [CrossRef]
- Thielemann, F.K.; Farouqi, K.; Rosswog, S.; Kratz, K.L. r-Process Contributions to Low-Metallicity Stars. Eur. Phys. J. Web Conf. 2022, 260, 09002. [Google Scholar] [CrossRef]
- Côté, B.; Belczynski, K.; Fryer, C.L.; Ritter, C.; Paul, A.; Wehmeyer, B.; O’Shea, B.W. Advanced LIGO Constraints on Neutron Star Mergers and R-Process Sites. Astrophys. J. 2017, 836, 230. [Google Scholar] [CrossRef]
- Côté, B.; Eichler, M.; Arcones, A.; Hansen, C.J.; Simonetti, P.; Frebel, A.; Fryer, C.L.; Pignatari, M.; Reichert, M.; Belczynski, K.; et al. Neutron Star Mergers Might not be the Only Source of r-Process Elements in the Milky Way. Astrophys. J. 2019, 875, 106. [Google Scholar] [CrossRef]
- Kajantie, K.; Kurki-Suonio, H. Bubble Growth and Droplet Decay in the Quark Hadron Phase Transition in the Early Universe. Phys. Rev. D 1986, 34, 1719–1738. [Google Scholar] [CrossRef] [PubMed]
- Ignatius, J.; Kajantie, K.; Kurki-Suonio, H.; Laine, M. The growth of bubbles in cosmological phase transitions. Phys. Rev. D 1994, 49, 3854–3868. [Google Scholar] [CrossRef] [PubMed]
- Ignatius, J.; Kajantie, K.; Kurki-Suonio, H.; Laine, M. Large scale inhomogeneities from the QCD phase transition. Phys. Rev. D 1994, 50, 3738–3745. [Google Scholar] [CrossRef] [PubMed]





Disclaimer/Publisher’s Note: The statements, opinions and data contained in all publications are solely those of the individual author(s) and contributor(s) and not of MDPI and/or the editor(s). MDPI and/or the editor(s) disclaim responsibility for any injury to people or property resulting from any ideas, methods, instructions or products referred to in the content. |
© 2025 by the authors. Licensee MDPI, Basel, Switzerland. This article is an open access article distributed under the terms and conditions of the Creative Commons Attribution (CC BY) license (https://creativecommons.org/licenses/by/4.0/).
Share and Cite
Röpke, G.; Blaschke, D.; Röpke, F.K. Distribution of Heavy-Element Abundances Generated by Decay from a Quasi-Equilibrium State. Universe 2025, 11, 323. https://doi.org/10.3390/universe11100323
Röpke G, Blaschke D, Röpke FK. Distribution of Heavy-Element Abundances Generated by Decay from a Quasi-Equilibrium State. Universe. 2025; 11(10):323. https://doi.org/10.3390/universe11100323
Chicago/Turabian StyleRöpke, Gerd, David Blaschke, and Friedrich K. Röpke. 2025. "Distribution of Heavy-Element Abundances Generated by Decay from a Quasi-Equilibrium State" Universe 11, no. 10: 323. https://doi.org/10.3390/universe11100323
APA StyleRöpke, G., Blaschke, D., & Röpke, F. K. (2025). Distribution of Heavy-Element Abundances Generated by Decay from a Quasi-Equilibrium State. Universe, 11(10), 323. https://doi.org/10.3390/universe11100323

