Sign in to use this feature.

Years

Between: -

Subjects

remove_circle_outline
remove_circle_outline
remove_circle_outline
remove_circle_outline
remove_circle_outline

Journals

Article Types

Countries / Regions

Search Results (11)

Search Parameters:
Keywords = directed interval arithmetic

Order results
Result details
Results per page
Select all
Export citation of selected articles as:
22 pages, 2251 KB  
Article
Computational Homogenisation and Identification of Auxetic Structures with Interval Parameters
by Witold Beluch, Marcin Hatłas, Jacek Ptaszny and Anna Kloc-Ptaszna
Materials 2025, 18(19), 4554; https://doi.org/10.3390/ma18194554 - 30 Sep 2025
Abstract
The subject of this paper is the computational homogenisation and identification of heterogeneous materials in the form of auxetic structures made of materials with nonlinear characteristics. It is assumed that some of the material and topological parameters of the auxetic structures are uncertain [...] Read more.
The subject of this paper is the computational homogenisation and identification of heterogeneous materials in the form of auxetic structures made of materials with nonlinear characteristics. It is assumed that some of the material and topological parameters of the auxetic structures are uncertain and are modelled as interval numbers. Directed interval arithmetic is used to minimise the width of the resulting intervals. The finite element method is employed to solve the boundary value problem, and artificial neural network response surfaces are utilised to reduce the computational effort. In order to solve the identification task, the Pareto approach is adopted, and a multi-objective evolutionary algorithm is used as the global optimisation method. The results obtained from computational homogenisation under uncertainty demonstrate the efficacy of the proposed methodology in capturing material behaviour, thereby underscoring the significance of incorporating uncertainty into material properties. The identification results demonstrate the successful identification of material parameters at the microscopic scale from macroscopic data involving the interval description of the process of deformation of auxetic structures in a nonlinear regime. Full article
(This article belongs to the Section Materials Simulation and Design)
28 pages, 10305 KB  
Article
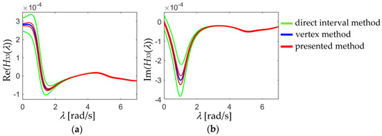
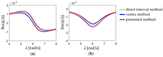
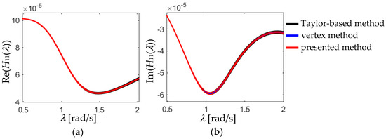
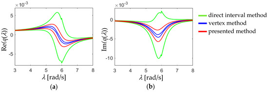
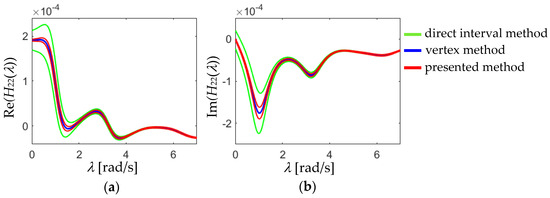
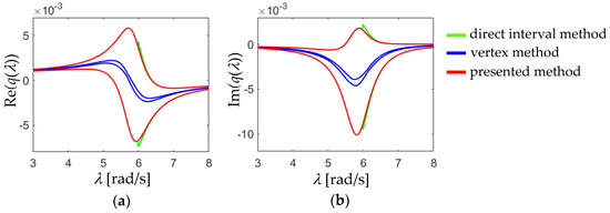
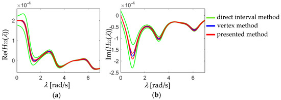
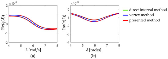
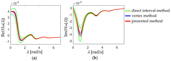
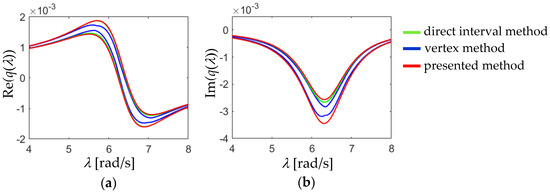
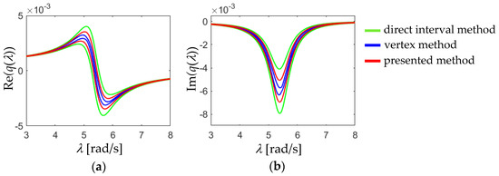
Fixed-Point Iteration Method for Uncertain Parameters in Dynamic Response of Systems with Viscoelastic Elements
by Magdalena Łasecka-Plura
Appl. Sci. 2024, 14(11), 4556; https://doi.org/10.3390/app14114556 - 25 May 2024
Viewed by 1654
Abstract
The paper presents a method for determining the dynamic response of systems containing viscoelastic damping elements with uncertain design parameters. A viscoelastic material is characterized using classical and fractional rheological models. The assumption is made that the lower and upper bounds of the [...] Read more.
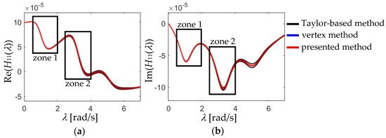
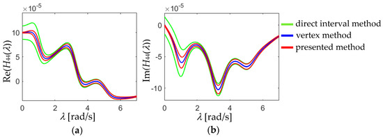
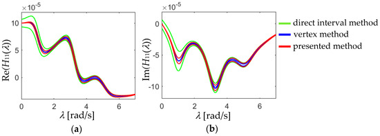
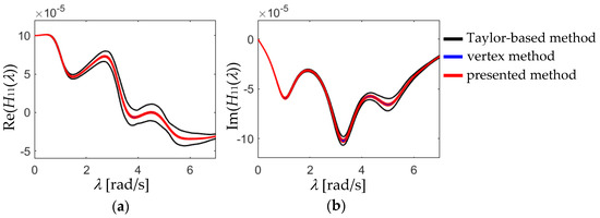
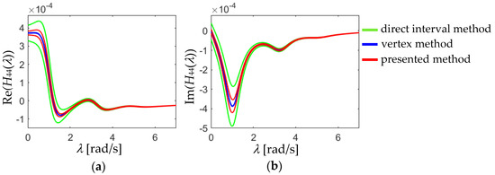
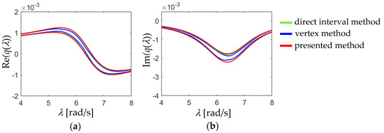
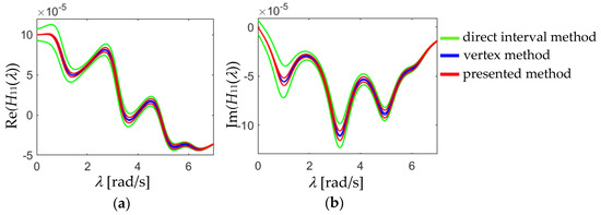
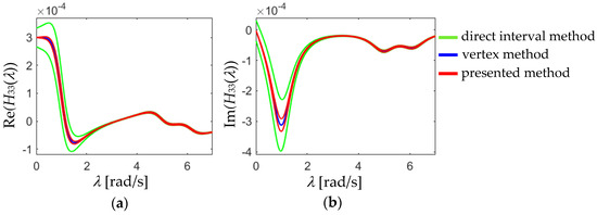
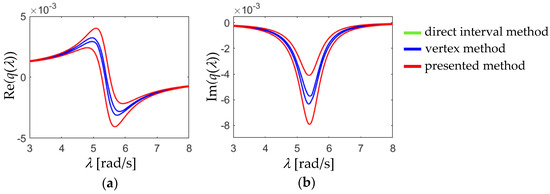
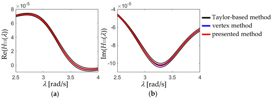
The paper presents a method for determining the dynamic response of systems containing viscoelastic damping elements with uncertain design parameters. A viscoelastic material is characterized using classical and fractional rheological models. The assumption is made that the lower and upper bounds of the uncertain parameters are known and represented as interval values, which are then subjected to interval arithmetic operations. The equations of motion are transformed into the frequency domain using Laplace transformation. To evaluate the uncertain dynamic response, the frequency response function is determined by transforming the equations of motion into a system of linear interval equations. Nevertheless, direct interval arithmetic often leads to significant overestimation. To address this issue, this paper employs the element-by-element technique along with a specific transformation to minimize redundancy. The system of interval equations obtained is solved iteratively using the fixed-point iteration method. As demonstrated in the examples, this method, which combines the iterative solving of interval equations with the proposed technique of equation formulation, enables a solution to be found rapidly and significantly reduces overestimation. Notably, this approach has been applied to systems containing viscoelastic elements for the first time. Additionally, the proposed notation accommodates both parallel and series configurations of damping elements and springs within rheological models. Full article
Show Figures

Figure 1

15 pages, 3932 KB  
Article
Crystallisation Degree Analysis during Cryopreservation of Biological Tissue Applying Interval Arithmetic
by Alicja Piasecka-Belkhayat and Anna Skorupa
Materials 2023, 16(6), 2186; https://doi.org/10.3390/ma16062186 - 9 Mar 2023
Cited by 1 | Viewed by 1426
Abstract
This paper presents the numerical modelling of heat transfer and changes proceeding in the homogeneous sample, caused by the crystallisation phenomenon during cryopreservation by vitrification. Heat transfer was simulated in a microfluidic system in which the working fluid flowed in micro-channels. The analysed [...] Read more.
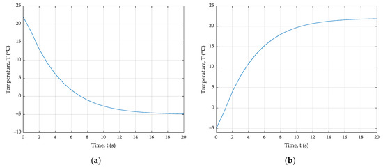
This paper presents the numerical modelling of heat transfer and changes proceeding in the homogeneous sample, caused by the crystallisation phenomenon during cryopreservation by vitrification. Heat transfer was simulated in a microfluidic system in which the working fluid flowed in micro-channels. The analysed process included single-phase flow during warming, and two-phase flow during cooling. In the model under consideration, interval parameters were assumed. The base of the mathematical model is given by the Fourier equation, with a heat source including the degree of ice crystallisation. The formulated problem has been solved using the interval version of the finite difference method, with the rules of the directed interval arithmetic. The fourth order Runge–Kutta algorithm has been applied to determine the degree of crystallisation. In the final part of this paper, examples of numerical computations are presented. Full article
Show Figures

Figure 1

34 pages, 690 KB  
Article
An Overview of Neural Network Methods for Predicting Uncertainty in Atmospheric Remote Sensing
by Adrian Doicu, Alexandru Doicu, Dmitry S. Efremenko, Diego Loyola and Thomas Trautmann
Remote Sens. 2021, 13(24), 5061; https://doi.org/10.3390/rs13245061 - 13 Dec 2021
Cited by 6 | Viewed by 3147
Abstract
In this paper, we present neural network methods for predicting uncertainty in atmospheric remote sensing. These include methods for solving the direct and the inverse problem in a Bayesian framework. In the first case, a method based on a neural network for simulating [...] Read more.
In this paper, we present neural network methods for predicting uncertainty in atmospheric remote sensing. These include methods for solving the direct and the inverse problem in a Bayesian framework. In the first case, a method based on a neural network for simulating the radiative transfer model and a Bayesian approach for solving the inverse problem is proposed. In the second case, (i) a neural network, in which the output is the convolution of the output for a noise-free input with the input noise distribution; and (ii) a Bayesian deep learning framework that predicts input aleatoric and model uncertainties, are designed. In addition, a neural network that uses assumed density filtering and interval arithmetic to compute uncertainty is employed for testing purposes. The accuracy and the precision of the methods are analyzed by considering the retrieval of cloud parameters from radiances measured by the Earth Polychromatic Imaging Camera (EPIC) onboard the Deep Space Climate Observatory (DSCOVR). Full article
(This article belongs to the Special Issue Recent Advances in Neural Network for Remote Sensing)
Show Figures

Graphical abstract

15 pages, 3963 KB  
Article
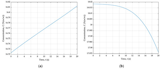
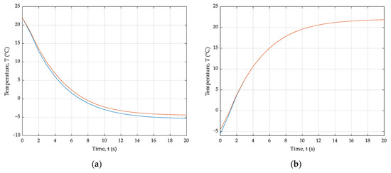
Numerical Study of Heat and Mass Transfer during Cryopreservation Process with Application of Directed Interval Arithmetic
by Alicja Piasecka-Belkhayat and Anna Skorupa
Materials 2021, 14(11), 2966; https://doi.org/10.3390/ma14112966 - 31 May 2021
Cited by 7 | Viewed by 2770
Abstract
In the present paper, numerical modelling of heat and mass transfer proceeding in a two-dimensional axially symmetrical articular cartilage sample subjected to a cryopreservation process is presented. In the model under consideration, interval parameters were assumed. The heat transfer process is described using [...] Read more.
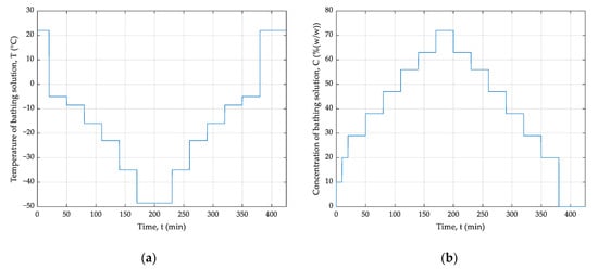
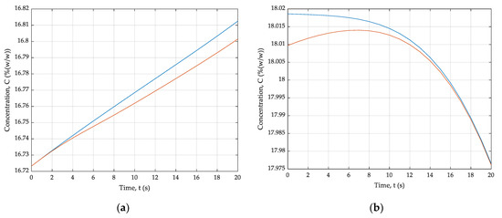
In the present paper, numerical modelling of heat and mass transfer proceeding in a two-dimensional axially symmetrical articular cartilage sample subjected to a cryopreservation process is presented. In the model under consideration, interval parameters were assumed. The heat transfer process is described using the Fourier interval equation, while the cryoprotectant transport (DMSO) across the cell membrane is analyzed using a two-parameter model taking into account the simulation of the water volume in the chondrocytes and the change in DMSO concentration over time. The liquidus tracking (LT) protocol introduced by Pegg et al. was used to model the cryopreservation process. This procedure divides the heating and cooling phases into eight and seven steps, respectively, allowing precise regulation of temperature and cryoprotectant (CPA) concentration of bathing solutions. This protocol protects chondrocytes from ice crystal, osmotic stress, and electrolyte damage. The obtained interval concentrations of cryoprotectant in chondrocytes were compared with previous simulations obtained using the deterministic model and they are mostly in agreement with the simulation data. Full article
Show Figures

Figure 1

22 pages, 2094 KB  
Article
Modified Fast Inverse Square Root and Square Root Approximation Algorithms: The Method of Switching Magic Constants
by Leonid V. Moroz, Volodymyr V. Samotyy and Oleh Y. Horyachyy
Computation 2021, 9(2), 21; https://doi.org/10.3390/computation9020021 - 17 Feb 2021
Cited by 11 | Viewed by 7664
Abstract
Many low-cost platforms that support floating-point arithmetic, such as microcontrollers and field-programmable gate arrays, do not include fast hardware or software methods for calculating the square root and/or reciprocal square root. Typically, such functions are implemented using direct lookup tables or polynomial approximations, [...] Read more.
Many low-cost platforms that support floating-point arithmetic, such as microcontrollers and field-programmable gate arrays, do not include fast hardware or software methods for calculating the square root and/or reciprocal square root. Typically, such functions are implemented using direct lookup tables or polynomial approximations, with a subsequent application of the Newton–Raphson method. Other, more complex solutions include high-radix digit-recurrence and bipartite or multipartite table-based methods. In contrast, this article proposes a simple modification of the fast inverse square root method that has high accuracy and relatively low latency. Algorithms are given in C/C++ for single- and double-precision numbers in the IEEE 754 format for both square root and reciprocal square root functions. These are based on the switching of magic constants in the initial approximation, depending on the input interval of the normalized floating-point numbers, in order to minimize the maximum relative error on each subinterval after the first iteration—giving 13 correct bits of the result. Our experimental results show that the proposed algorithms provide a fairly good trade-off between accuracy and latency after two iterations for numbers of type float, and after three iterations for numbers of type double when using fused multiply–add instructions—giving almost complete accuracy. Full article
(This article belongs to the Section Computational Engineering)
Show Figures

Figure 1

25 pages, 2075 KB  
Article
PID++: A Computationally Lightweight Humanoid Motion Control Algorithm
by Thomas F. Arciuolo and Miad Faezipour
Sensors 2021, 21(2), 456; https://doi.org/10.3390/s21020456 - 11 Jan 2021
Cited by 11 | Viewed by 4898
Abstract
Currently robotic motion control algorithms are tedious at best to implement, are lacking in automatic situational adaptability, and tend to be static in nature. Humanoid (human-like) control is little more than a dream, for all, but the fastest computers. The main idea of [...] Read more.
Currently robotic motion control algorithms are tedious at best to implement, are lacking in automatic situational adaptability, and tend to be static in nature. Humanoid (human-like) control is little more than a dream, for all, but the fastest computers. The main idea of the work presented in this paper is to define a radically new, simple, and computationally lightweight approach to humanoid motion control. A new Proportional-Integral-Derivative (PID) controller algorithm called PID++ is proposed in this work that uses minor adjustments with basic arithmetic, based on the real-time encoder position input, to achieve a stable, precise, controlled, dynamic, adaptive control system, for linear motion control, in any direction regardless of load. With no PID coefficients initially specified, the proposed PID++ algorithm dynamically adjusts and updates the PID coefficients Kp, Ki and Kd periodically. No database of values is required to be stored as only the current and previous values of the sensed position with an accurate time base are used in the computations and overwritten in each read interval, eliminating the need of deploying much memory for storing and using vectors or matrices. Complete in its implementation, and truly dynamic and adaptive by design, engineers will be able to use this algorithm in commercial, industrial, biomedical, and space applications alike. With characteristics that are unmistakably human, motion control can be feasibly implemented on even the smallest microcontrollers (MCU) using a single command and without the need of reprogramming or reconfiguration. Full article
(This article belongs to the Collection Smart Robotics for Automation)
Show Figures

Figure 1

16 pages, 3182 KB  
Article
Numerical Modeling of Heat and Mass Transfer during Cryopreservation Using Interval Analysis
by Anna Skorupa and Alicja Piasecka-Belkhayat
Appl. Sci. 2021, 11(1), 302; https://doi.org/10.3390/app11010302 - 30 Dec 2020
Cited by 8 | Viewed by 2812
Abstract
In the paper, the numerical analysis of heat and mass transfer proceeding in an axially symmetrical articular cartilage sample subjected to the cryopreservation process is presented. In particular, a two-dimensional (axially symmetrical) model with imprecisely defined parameters is considered. The base of the [...] Read more.
In the paper, the numerical analysis of heat and mass transfer proceeding in an axially symmetrical articular cartilage sample subjected to the cryopreservation process is presented. In particular, a two-dimensional (axially symmetrical) model with imprecisely defined parameters is considered. The base of the heat transfer model is given by the interval Fourier equation and supplemented by initial boundary conditions. The phenomenon of cryoprotectant transport (Me2SO) through the extracellular matrix is described by the interval mass transfer equation. The liquidus-tracking (LT) method is used to control the temperature, which avoids the formation of ice regardless of the cooling and warming rates. In the LT process, the temperature decreases/increases gradually during addition/removal of the cryoprotectant, and the articular cartilage remains on or above the liquidus line so that no ice forms, independent of the cooling/warming rate. The discussed problem is solved using the interval finite difference method with the rules of directed interval arithmetic. Examples of numerical computations are presented in the final part of the paper. The obtained results of the numerical simulation are compared with the experimental results, realized for deterministically defined parameters. Full article
Show Figures

Figure 1

19 pages, 2145 KB  
Article
Information Dynamics of the Brain, Cardiovascular and Respiratory Network during Different Levels of Mental Stress
by Matteo Zanetti, Luca Faes, Giandomenico Nollo, Mariolino De Cecco, Riccardo Pernice, Luca Maule, Marco Pertile and Alberto Fornaser
Entropy 2019, 21(3), 275; https://doi.org/10.3390/e21030275 - 13 Mar 2019
Cited by 35 | Viewed by 5606
Abstract
In this study, an analysis of brain, cardiovascular and respiratory dynamics was conducted combining information-theoretic measures with the Network Physiology paradigm during different levels of mental stress. Starting from low invasive recordings of electroencephalographic, electrocardiographic, respiratory, and blood volume pulse signals, the dynamical [...] Read more.
In this study, an analysis of brain, cardiovascular and respiratory dynamics was conducted combining information-theoretic measures with the Network Physiology paradigm during different levels of mental stress. Starting from low invasive recordings of electroencephalographic, electrocardiographic, respiratory, and blood volume pulse signals, the dynamical activity of seven physiological systems was probed with one-second time resolution measuring the time series of the δ , θ , α and β brain wave amplitudes, the cardiac period (RR interval), the respiratory amplitude, and the duration of blood pressure wave propagation (pulse arrival time, PAT). Synchronous 5-min windows of these time series, obtained from 18 subjects during resting wakefulness (REST), mental stress induced by mental arithmetic (MA) and sustained attention induced by serious game (SG), were taken to describe the dynamics of the nodes composing the observed physiological network. Network activity and connectivity were then assessed in the framework of information dynamics computing the new information generated by each node, the information dynamically stored in it, and the information transferred to it from the other network nodes. Moreover, the network topology was investigated using directed measures of conditional information transfer and assessing their statistical significance. We found that all network nodes dynamically produce and store significant amounts of information, with the new information being prevalent in the brain systems and the information storage being prevalent in the peripheral systems. The transition from REST to MA was associated with an increase of the new information produced by the respiratory signal time series (RESP), and that from MA to SG with a decrease of the new information produced by PAT. Each network node received a significant amount of information from the other nodes, with the highest amount transferred to RR and the lowest transferred to δ , θ , α and β . The topology of the physiological network underlying such information transfer was node- and state-dependent, with the peripheral subnetwork showing interactions from RR to PAT and between RESP and RR, PAT consistently across states, the brain subnetwork resulting more connected during MA, and the subnetwork of brain–peripheral interactions involving different brain rhythms in the three states and resulting primarily activated during MA. These results have both physiological relevance as regards the interpretation of central and autonomic effects on cardiovascular and respiratory variability, and practical relevance as regards the identification of features useful for the automatic distinction of different mental states. Full article
(This article belongs to the Special Issue Information Dynamics in Brain and Physiological Networks)
Show Figures

Figure 1

16 pages, 1830 KB  
Concept Paper
Comprehensive Numerical Analysis of Finite Difference Time Domain Methods for Improving Optical Waveguide Sensor Accuracy
by M. Mosleh E. Abu Samak, A. Ashrif A. Bakar, Muhammad Kashif and Mohd Saiful Dzulkifly Zan
Sensors 2016, 16(4), 506; https://doi.org/10.3390/s16040506 - 9 Apr 2016
Cited by 3 | Viewed by 5526
Abstract
This paper discusses numerical analysis methods for different geometrical features that have limited interval values for typically used sensor wavelengths. Compared with existing Finite Difference Time Domain (FDTD) methods, the alternating direction implicit (ADI)-FDTD method reduces the number of sub-steps by a factor [...] Read more.
This paper discusses numerical analysis methods for different geometrical features that have limited interval values for typically used sensor wavelengths. Compared with existing Finite Difference Time Domain (FDTD) methods, the alternating direction implicit (ADI)-FDTD method reduces the number of sub-steps by a factor of two to three, which represents a 33% time savings in each single run. The local one-dimensional (LOD)-FDTD method has similar numerical equation properties, which should be calculated as in the previous method. Generally, a small number of arithmetic processes, which result in a shorter simulation time, are desired. The alternating direction implicit technique can be considered a significant step forward for improving the efficiency of unconditionally stable FDTD schemes. This comparative study shows that the local one-dimensional method had minimum relative error ranges of less than 40% for analytical frequencies above 42.85 GHz, and the same accuracy was generated by both methods. Full article
Show Figures

Figure 1

10 pages, 1055 KB  
Article
Entropy Analysis of RR and QT Interval Variability during Orthostatic and Mental Stress in Healthy Subjects
by Mathias Baumert, Barbora Czippelova, Anand Ganesan, Martin Schmidt, Sebastian Zaunseder and Michal Javorka
Entropy 2014, 16(12), 6384-6393; https://doi.org/10.3390/e16126384 - 3 Dec 2014
Cited by 21 | Viewed by 7800
Abstract
Autonomic activity affects beat-to-beat variability of heart rate and QT interval. The aim of this study was to explore whether entropy measures are suitable to detect changes in neural outflow to the heart elicited by two different stress paradigms. We recorded short-term ECG [...] Read more.
Autonomic activity affects beat-to-beat variability of heart rate and QT interval. The aim of this study was to explore whether entropy measures are suitable to detect changes in neural outflow to the heart elicited by two different stress paradigms. We recorded short-term ECG in 11 normal subjects during an experimental protocol that involved head-up tilt and mental arithmetic stress and computed sample entropy, cross-sample entropy and causal interactions based on conditional entropy from RR and QT interval time series. Head-up tilt resulted in a significant reduction in sample entropy of RR intervals and cross-sample entropy, while mental arithmetic stress resulted in a significant reduction in coupling directed from RR to QT. In conclusion, measures of entropy are suitable to detect changes in neural outflow to the heart and decoupling of repolarisation variability from heart rate variability elicited by orthostatic or mental arithmetic stress. Full article
(This article belongs to the Special Issue Entropy and Cardiac Physics)
Show Figures

Back to TopTop