Numerical Study of Heat and Mass Transfer during Cryopreservation Process with Application of Directed Interval Arithmetic
Abstract
1. Introduction
2. Materials and Methods
2.1. Mathematical Model
2.2. Numerical Algorithm
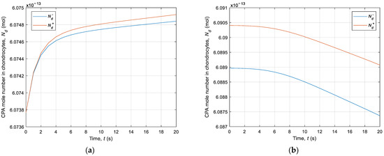
3. Results
4. Discussion
Author Contributions
Funding
Institutional Review Board Statement
Informed Consent Statement
Data Availability Statement
Acknowledgments
Conflicts of Interest
References
- Zhao, G.; Fu, J. Microfluidics for cryopreservation. Biotechnol. Adv. 2017, 35, 323–336. [Google Scholar] [CrossRef] [PubMed]
- Xu, F.; Moon, S.; Zhang, X.; Shao, L.; Song, Y.S.; Demirci, U. Multi-scale heat and mass transfer modelling of cell and tissue cryopreservation. Philos. Trans. R. Soc. A Math. Phys. Eng. Sci. 2010, 368, 561–583. [Google Scholar] [CrossRef] [PubMed]
- Jang, T.H.; Park, S.C.; Yang, J.H.; Kim, J.Y.; Seok, J.H.; Park, U.S.; Choi, C.W.; Lee, S.R.; Han, J. Cryopreservation and its clinical applications. Integr. Med. Res. 2017, 6, 12–18. [Google Scholar] [CrossRef]
- Kay, A.G.; Hoyland, J.A.; Rooney, P.; Kearney, J.N.; Pegg, D.E. A liquidus tracking approach to the cryopreservation of human cartilage allografts. Cryobiology 2015, 71, 77–84. [Google Scholar] [CrossRef] [PubMed]
- Pegg, D.E.; Wang, L.; Vaughan, D. Cryopreservation of articular cartilage. Part 3: The liquidus-tracking method. Cryobiology 2006, 52, 360–368. [Google Scholar] [CrossRef]
- Wang, L.; Pegg, D.E.; Lorrison, J.; Vaughan, D.; Rooney, P. Further work on the cryopreservation of articular cartilage with particular reference to the liquidus tracking (LT) method. Cryobiology 2007, 55, 138–147. [Google Scholar] [CrossRef]
- Farrant, J. Mechanism of Cell Damage During Freezing and Thawing and its Prevention. Nature 1965, 205, 1284–1287. [Google Scholar] [CrossRef]
- Elford, B.C.; Walter, C.A. Effects of electrolyte composition and pH on the structure and function of smooth muscle cooled to −79 °C in unfrozen media. Cryobiology 1972, 9, 82–100. [Google Scholar] [CrossRef]
- Hayashi, Y.; Horiguchi, I.; Kino-oka, M.; Sugiyama, H. Slow freezing process design for human induced pluripotent stem cells by modeling intracontainer variation. Comput. Chem. Eng. 2020, 132, 106597. [Google Scholar] [CrossRef]
- Shi, M.; Feng, S.; Zhang, X.; Ji, C.; Xu, F.; Lu, T.J. Droplet based vitrification for cell aggregates: Numerical analysis. J. Mech. Behav. Biomed. Mater. 2018, 82, 383–393. [Google Scholar] [CrossRef]
- Zhang, Y.; Zhao, G.; Chapal Hossain, S.M.; He, X. Modeling and experimental studies of enhanced cooling by medical gauze for cell cryopreservation by vitrification. Int. J. Heat Mass Transf. 2017, 114, 1–7. [Google Scholar] [CrossRef] [PubMed]
- Shardt, N.; Al-Abbasi, K.K.; Yu, H.; Jomha, N.M.; McGann, L.E.; Elliott, J.A.W. Cryoprotectant kinetic analysis of a human articular cartilage vitrification protocol. Cryobiology 2016, 73, 80–92. [Google Scholar] [CrossRef] [PubMed][Green Version]
- Yu, X.; Zhang, S.; Chen, G. Modeling the addition/removal of dimethyl sulfoxide into/from articular cartilage treated with the liquidus-tracking method. Int. J. Heat Mass Transf. 2019, 141, 719–730. [Google Scholar] [CrossRef]
- Lawson, A.; Mukherjee, I.N.; Sambanis, A. Mathematical modeling of cryoprotectant addition and removal for the cryopreservation of engineered or natural tissues. Cryobiology 2012, 64, 1–11. [Google Scholar] [CrossRef]
- Zhang, S.Z.; Yu, X.Y.; Chen, G.M. Permeation of dimethyl sulfoxide into articular cartilage at subzero temperatures. J. Zhejiang Univ. Sci. B 2012, 13, 213–220. [Google Scholar] [CrossRef]
- Mukherjee, I.N.; Li, Y.; Song, Y.C.; Long, R.C.; Sambanis, A. Cryoprotectant transport through articular cartilage for long-term storage: Experimental and modeling studies. Osteoarthr. Cartil. 2008, 16, 1379–1386. [Google Scholar] [CrossRef]
- Casula, E.; Traversari, G.; Fadda, S.; Klymenko, O.V.; Kontoravdi, C.; Cincotti, A. Modelling the osmotic behaviour of human mesenchymal stem cells. Biochem. Eng. J. 2019, 151, 1–13. [Google Scholar] [CrossRef]
- Xu, Y.; Zhang, L.; Xu, J.; Wei, Y.; Xu, X. Membrane permeability of the human pluripotent stem cells to Me 2SO, glycerol and 1,2-propanediol. Arch. Biochem. Biophys. 2014, 550–551, 67–76. [Google Scholar] [CrossRef]
- Zhou, X.; Jiang, Z.; Liang, X.M.; Liu, J.; Fang, P.; Liu, Z.; Gao, D. Microfiltration-based sequential perfusion: A new approach for improved loading/unloading of cryoprotectants. Sens. Actuators B Chem. 2020, 312, 127957. [Google Scholar] [CrossRef]
- Zhou, X.; Liang, X.M.; Wang, J.; Du, P.; Gao, D. Theoretical and experimental study of a membrane-based microfluidics for loading and unloading of cryoprotective agents. Int. J. Heat Mass Transf. 2018, 127, 637–644. [Google Scholar] [CrossRef]
- Zheng, Y.; Zhao, G.; Zhang, Y.; Gao, R. On-chip loading and unloading of cryoprotectants facilitate cell cryopreservation by rapid freezing. Sens. Actuators B Chem. 2018, 225, 647–656. [Google Scholar] [CrossRef]
- Xu, X.; Cui, Z.; Urban, J.P. Measurement of the chondrocyte membrane permeability to Me2SO, glycerol and 1,2-propanediol. Med. Eng. Phys. 2003, 25, 573–579. [Google Scholar] [CrossRef]
- Jacobs, M.H.; Stewart, D.R. A simple method for the quantitative measurement of cell permeability. J. Cell. Comp. Physiol. 1932, 1, 71–82. [Google Scholar] [CrossRef]
- Jacobs, M.H. The Simultaneous Measurement of Cell Permeability to Water and to Dissolved Substances. Am. J. Med. Sci. 1933, 185, 599. [Google Scholar] [CrossRef]
- Elmoazzen, H.Y.; Elliott, J.A.W.; McGann, L.E. Osmotic Transport across Cell Membranes in Nondilute Solutions: A New Nondilute Solute Transport Equation. Biophys. J. 2009, 96, 2559–2571. [Google Scholar] [CrossRef] [PubMed]
- Kedem, O.; Katchalsky, A. Thermodynamic analysis of the permeability of biological membranes to non-electrolytes. Biochim. Biophys. Acta 1958, 27, 229–246. [Google Scholar] [CrossRef]
- Xu, X.; Cui, Z.F.; Wilkins, R.J.; Urban, J.P.G. Intracellular pH changes in isolated bovine articular chondrocytes during the loading and removal of cryoprotective agents. Cryobiology 2003, 46, 161–173. [Google Scholar] [CrossRef]
- Devismita, D.; Kumar, A. Effect of cryoprotectant on optimal cooling rate during cryopreservation. Cryobiology 2015, 70, 53–59. [Google Scholar] [CrossRef]
- Thirumala, S.; Gimble, J.M.; Devireddy, R.V. Transport phenomena during freezing of adipose tissue derived adult stem cells. Biotechnol. Bioeng. 2005, 92, 372–383. [Google Scholar] [CrossRef]
- Wu, W.T.; Lyu, S.-R.; Hsieh, W.H. Cryopreservation and biophysical properties of articular cartilage chondrocytes. Cryobiology 2005, 51, 330–338. [Google Scholar] [CrossRef]
- Mazur, P. Kinetics of water loss from cells at subzero temperatures and the likelihood of intracellular freezing. J. Gen. Physiol. 1963, 47, 347–369. [Google Scholar] [CrossRef] [PubMed]
- Levin, R.L.; Cravalho, E.G.; Huggins, C.E. A membrane model describing the effect of temperature on the water conductivity of erythrocyte membranes at subzero temperatures. Cryobiology 1976, 13, 415–429. [Google Scholar] [CrossRef]
- Benson, J.D.; Higgins, A.Z.; Desai, K.; Eroglu, A. A toxicity cost function approach to optimal CPA equilibration in tissues. Cryobiology 2018, 80, 144–155. [Google Scholar] [CrossRef] [PubMed]
- Ge, M.Y.; Shu, C.; Yang, W.M.; Chua, K.J. Incorporating an immersed boundary method to study thermal effects of vascular systems during tissue cryo-freezing. J. Therm. Biol. 2017, 64, 92–99. [Google Scholar] [CrossRef]
- Mochnacki, B.; Majchrzak, E. Numerical model of thermal interactions between cylindrical cryoprobe and biological tissue using the dual-phase lag equation. Int. J. Heat Mass Transf. 2017, 108, 1–10. [Google Scholar] [CrossRef]
- Liu, Z.; Wan, R.; Muldrew, K.; Sawchuk, S.; Rewcastle, J. A level set variational formulation for coupled phase change/mass transfer problems: Application to freezing of biological systems. Finite Elem. Anal. Des. 2004, 40, 1641–1663. [Google Scholar] [CrossRef]
- Kundu, P.; Sukumar, S.; Kar, S.P. Numerical modeling for freezing and cryogenic preservation for viability of biological tissue. Mater. Today Proc. 2018, 5, 18823–18832. [Google Scholar] [CrossRef]
- Mochnacki, B.; Piasecka-Belkhayat, A. Numerical modeling of skin tissue heating using the interval finite difference method. MCB Mol. Cell. Biomech. 2013, 10, 233–244. [Google Scholar] [CrossRef]
- Piasecka-Belkhayat, A. Interval boundary element method for 2D transient diffusion problem using the directed interval arithmetic. Eng. Anal. Bound. Elem. 2011, 35, 259–263. [Google Scholar] [CrossRef]
- Liu, W.; Zhao, G.; Shu, Z.; Wang, T.; Zhu, K.; Gao, D. High-precision approach based on microfluidic perfusion chamber for quantitative analysis of biophysical properties of cell membrane. Int. J. Heat Mass Transf. 2015, 86, 869–879. [Google Scholar] [CrossRef]
- Skorupa, A.; Piasecka-Belkhayat, A. Numerical Modeling of Heat and Mass Transfer during Cryopreservation Using Interval Analysis. Appl. Sci. 2021, 11, 302. [Google Scholar] [CrossRef]
- Wang, J.; Hou, T. Application of molecular dynamics simulations in molecular property prediction II: Diffusion coefficient. J. Comput. Chem. 2011, 32, 3505–3519. [Google Scholar] [CrossRef] [PubMed]
- Mochnacki, B.; Suchy, J. Numerical Methods in Computations of Foundry Processes; Polish Scientific Publishers PWN: Cracow, Poland, 1993. [Google Scholar]
- Majchrzak, E.; Mochnacki, B. Numerical Methods. Theoretical Base, Practical Aspects, Algorithms; Publishing House of Silesian University of Technology: Gliwice, Poland, 2004. [Google Scholar]
- Schulze, B.M.; Watkins, D.L.; Zhang, J.; Ghiviriga, I.; Castellano, R.K. Estimating the shape and size of supramolecular assemblies by variable temperature diffusion ordered spectroscopy. Org. Biomol. Chem. Suppl. Mater. 2014, 12, S1–S27. [Google Scholar] [CrossRef] [PubMed]









| Thermophysical Tissue Parameters | ||||
|---|---|---|---|---|
| Parameter | Value | |||
| (W·m−1·K−1) | , where λ = 0.518 | |||
| (J·m−3·K−1) | , where c = 3.924 × 106 | |||
| α | (W·m−2·K−1) | 525 | ||
| CPA Chemical Properties | ||||
| Parameter | Values | |||
| DMSO | KCl | H2O | ||
| rs | (m) | 2.541 × 10−10 | - | - |
| η | (Pa·s) | 1.996 × 10−3 | - | - |
| ρ | (kg·m−3) | 1.1 × 103 | 1.98 × 103 | 997 |
| Mat. | (kg·mol−1) | 78.13 × 10−3 | 74.5513 × 10−3 | 18.015 × 10−3 |
| B | (kg·mol−1) | 0.108 | 0 | - |
| v | (L·mol−1) | 70.97 × 10−3 | 37.5 × 10−3 | 18.07 × 10−3 |
| kdiss | - | - | 1.772 | - |
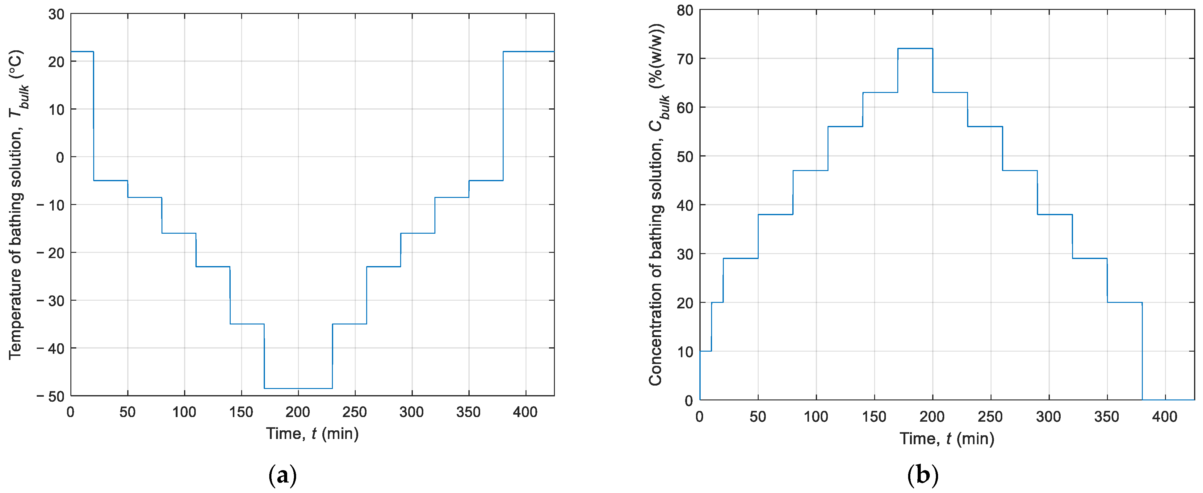
| Phase | Step | Time | Temperature of Bathing Solution | Concentration of Bathing Solution |
|---|---|---|---|---|
| t (min) | Tbulk (°C) | Cbulk (%(w/w)) | ||
| Cooling | 1 | 10 | 22 | 10 |
| 2 | 10 | 22 | 20 | |
| 3 | 30 | −5 | 29 | |
| 4 | 30 | −8.5 | 38 | |
| 5 | 30 | −16 | 47 | |
| 6 | 30 | −23 | 56 | |
| 7 | 30 | −35 | 63 | |
| 8 | 30 | −48.5 | 72 | |
| Heating | 1 | 30 | −48.5 | 63 |
| 2 | 30 | −35 | 56 | |
| 3 | 30 | −23 | 47 | |
| 4 | 30 | −16 | 38 | |
| 5 | 30 | −8.5 | 29 | |
| 6 | 30 | −5 | 20 | |
| 7 | 45 | 22 | 0 |
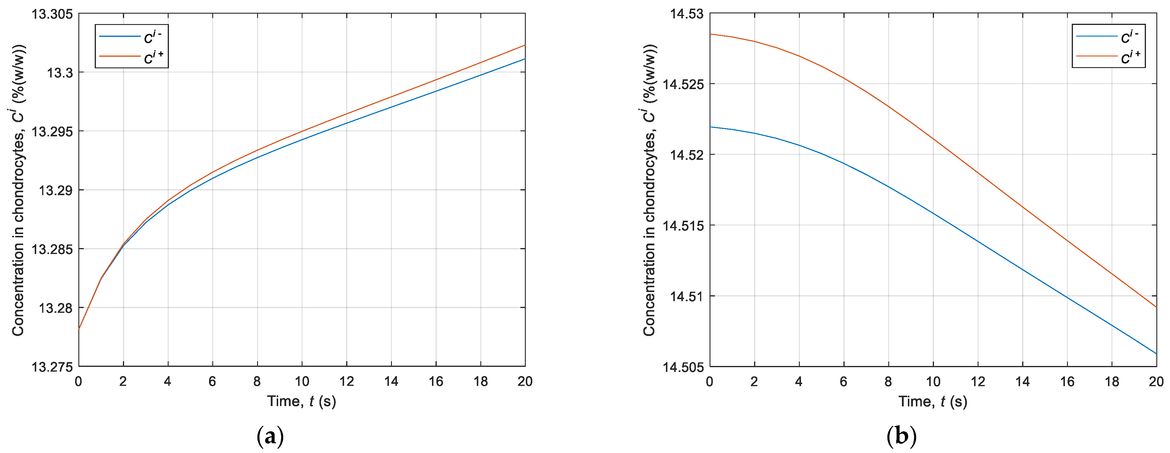
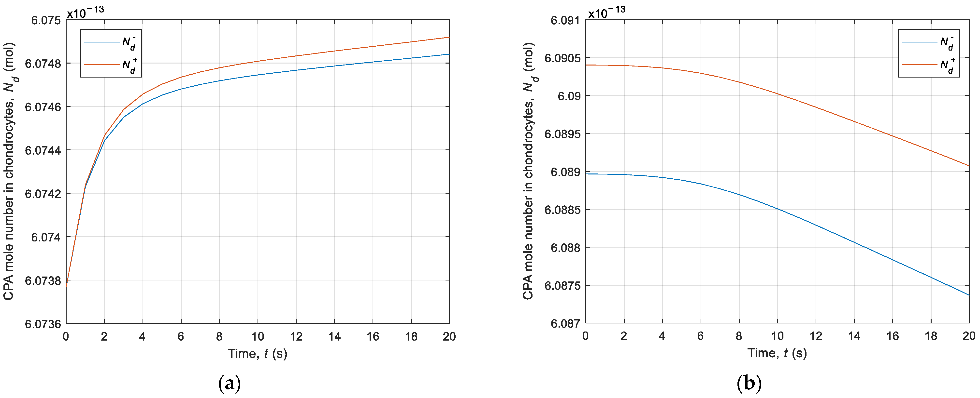
| Phase | Step | CPA Concentration | Yu et al.’s Simulation Data [13] | CPA Volume | CPA Moles Number | Water Volume | ||||
|---|---|---|---|---|---|---|---|---|---|---|
| Cd (%(w/w)) | ||||||||||
| Cooling | 1 | 4.330 | 4.330 | 6.70 | 2.816 | 2.816 | 3.967 | 3.967 | 15.297 | 15.297 |
| 2 | 13.278 | 13.278 | 15.68 | 4.311 | 4.311 | 6.074 | 6.074 | 12.038 | 12.038 | |
| 3 | 21.513 | 21.520 | 24.42 | 4.358 | 4.362 | 6.140 | 6.147 | 10.816 | 10.818 | |
| 4 | 29.172 | 29.182 | 31.86 | 4.371 | 4.379 | 6.160 | 6.170 | 10.288 | 10.290 | |
| 5 | 37.371 | 37.385 | 38.33 | 4.375 | 4.383 | 6.164 | 6.176 | 9.960 | 9.962 | |
| 6 | 46.059 | 46.076 | 44.02 | 4.376 | 4.385 | 6.166 | 6.179 | 9.740 | 9.741 | |
| 7 | 53.079 | 53.107 | 47.26 | 4.376 | 4.385 | 6.166 | 6.179 | 9.614 | 9.615 | |
| 8 | 62.071 | 62.338 | 48.63 | 4.376 | 4.385 | 6.166 | 6.179 | 9.494 | 9.493 | |
| Heating | 1 | 53.272 | 53.921 | 50.32 | 4.376 | 4.385 | 6.166 | 6.179 | 9.600 | 9.613 |
| 2 | 46.155 | 46.185 | 50.72 | 4.376 | 4.385 | 6.166 | 6.179 | 9.737 | 9.740 | |
| 3 | 37.452 | 37.453 | 44.99 | 4.375 | 4.383 | 6.164 | 6.176 | 9.958 | 9.960 | |
| 4 | 29.238 | 29.236 | 36.27 | 4.371 | 4.379 | 6.160 | 6.170 | 10.285 | 10.287 | |
| 5 | 21.575 | 21.573 | 27.05 | 4.358 | 4.363 | 6.140 | 6.147 | 10.810 | 10.812 | |
| 6 | 14.522 | 14.529 | 18.86 | 4.321 | 4.3212 | 6.089 | 6.090 | 11.765 | 11.768 | |
| 7 | 0.033 | 0.033 | 0.03 | 0.040 | 0.041 | 0.057 | 0.058 | 21.100 | 21.103 | |
Publisher’s Note: MDPI stays neutral with regard to jurisdictional claims in published maps and institutional affiliations. |
© 2021 by the authors. Licensee MDPI, Basel, Switzerland. This article is an open access article distributed under the terms and conditions of the Creative Commons Attribution (CC BY) license (https://creativecommons.org/licenses/by/4.0/).
Share and Cite
Piasecka-Belkhayat, A.; Skorupa, A. Numerical Study of Heat and Mass Transfer during Cryopreservation Process with Application of Directed Interval Arithmetic. Materials 2021, 14, 2966. https://doi.org/10.3390/ma14112966
Piasecka-Belkhayat A, Skorupa A. Numerical Study of Heat and Mass Transfer during Cryopreservation Process with Application of Directed Interval Arithmetic. Materials. 2021; 14(11):2966. https://doi.org/10.3390/ma14112966
Chicago/Turabian StylePiasecka-Belkhayat, Alicja, and Anna Skorupa. 2021. "Numerical Study of Heat and Mass Transfer during Cryopreservation Process with Application of Directed Interval Arithmetic" Materials 14, no. 11: 2966. https://doi.org/10.3390/ma14112966
APA StylePiasecka-Belkhayat, A., & Skorupa, A. (2021). Numerical Study of Heat and Mass Transfer during Cryopreservation Process with Application of Directed Interval Arithmetic. Materials, 14(11), 2966. https://doi.org/10.3390/ma14112966

